吗氯贝胺
-
中文名4-氯-N-2-(4-吗啉基)乙基苯甲酰胺
-
英文名Moclobemide
-
中文别名吗氯贝胺,4-氯-N-2-(4-吗啉基)乙基丁苯甲酰胺 | 氯硝柳胺 | 4-氯-N-2-(4-吗啉基)乙基丁苯甲酰胺 | 吗氯贝胺 | 马氯贝胺
-
英文别名
4-chloro-N-[2-(morpholin-4-yl)ethyl]benzamide Moclamide moclbemide Manefix Moclobemide aurorix 4-Chloro-N-(2-(4-morpholinyl)ethyl)benzamide 4-Chloro-N-[2-(4-morpholinyl)ethyl]benzamide MFCD00865388 Moclobemidum MODOBEMDE ro11-1163 Moclaime Benzamide, 4-Chloro-N-(2-(4-morpholinyl)ethyl)- p-Chloro-N-(2-morpholinoethyl)benzamide UNII-PJ0Y7AZB63 manerix Benzamide, 4-chloro-N-[2-(4-morpholinyl)ethyl]- Moclamine -
常用名吗氯贝胺
-
C A S号71320-77-9
-
密度1.2±0.1 g/cm3
-
沸点447.7±40.0 °C at 760 mmHg
-
熔点137°C
-
化学式C13H17ClN2O2
-
结构式
1、 摩尔折射率:71.03
2、 摩尔体积(cm3/mol):222.8
3、 等张比容(90.2K):571.8
4、 表面张力(dyne/cm):43.3
5、 极化率(10-24cm3):28.16
-
闪点224.6±27.3 °C
-
分子量268.739
-
精确质量268.097870
-
P S A41.57000
-
外观形状白色至灰白色固体
-
储存条件Room temp
-
稳定性
-
水溶解性
-
形态
-
H L B值
-
粘度
-
PH值
方法1:溴乙胺氢溴酸盐溶于水中和苯中,滴加5%氢氧化钠,分去水层,加入吡啶,在25℃滴加对氯苯甲酰氯。回流后放冷,抽滤,水洗,干燥,用苯重结晶,得酰胺产物,收率91.8%。该酰胺和吗啉及乙酸乙酯一起搅拌,加入水,用盐酸调至Ph值1~2。分去酯层,用乙酸乙酯提取2次,水层用10%氢氧化钠中和至Ph值8~9。滤集固体,用异丙醇重结晶,得白色针状结晶的吗氯贝胺,收率80.2%,熔点136~137℃。总收率可达73.6%。
也可如下操作。溴乙胺氢溴酸盐溶于水中,在0~5℃和剧烈搅拌下,同时滴加对氯苯甲酰氯及氢氧化钠溶液。加毕继续反应,可得酰胺产物,收率98.7%。该酰胺和吗啉搅拌回流,即可简单地得到吗氯贝胺,粗品经异丙醇重结晶,收率75.3%,熔点136~137℃。总收率可达74.3%。
方法2:丙烯酰胺溶于水中,低温下和吗啉进行加成反应。生成的吗啉基丙酰胺溶液,不用经过处理,直接加入次氯酸钠的碱性溶液进行Hofmann降解,经后处理可得吗啉基乙胺,收率42.3%,沸点99~100℃/3.2kPa,nD201.4739。
对氯苯甲酸和氯甲酸乙酯在丙酮溶液中,三乙胺存在下,反应生成对氯苯甲酰氧基甲酸乙酯,该混合酸酐有很强的反应活性,和上述得到的吗啉乙胺反应即得吗氯贝胺,收率58.9%,熔点136~137℃。该法反应步骤虽较长,但所用原料较简单。
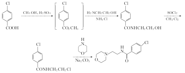
2. N-(2-羟乙基)对氯苯甲酰胺的制备
在反应瓶中加入对氯苯甲酸125g(0.8mol)、甲醇300ml和浓H2SO48.5g(0.16mol),搅拌回流4h.减压蒸除甲醇,加入冰水,搅拌,过滤,冷水洗滤饼,抽干,得白色固体.将该固体加到反应瓶,加入乙醇胺76ml(1.3mol)和适量氯化铵,搅拌回流3h.冷却,倒入冰水中,过滤,滤饼用5%氢氧化钠水溶液洗,无水乙醇洗,抽干,干燥得白色晶体N-(2-羟乙基)对氯苯甲酰胺129.6g,收率78.1%,mp110~115ºC.
3. N-(2-氯乙基)对氯苯甲酰胺的制备
在反应瓶中加入N-(2-羟乙基)对氯苯甲酰胺85g(0.43mol)、二氯甲烷250ml,室温及搅拌下慢慢滴加氯化亚砜93ml(1.28mol),滴加过程控制内温不超过25ºC,滴毕,于40~50ºC搅拌反应1h.反应毕,减压蒸除溶剂和过量的SOCl2.向剩余物中加入冰水,搅拌,过滤,滤饼水洗至中性,干燥,甲苯重结晶,得类白色晶体N-(2-氯乙基)对氯苯甲酰胺83.2g,收率89.8%,mp104~106ºC.
4. 吗氯贝胺的合成
在反应瓶中加入N-(2-氯乙基)对氯苯甲酰胺54.5g(0.5mol)、吗啉43.5g(0.5mol)、无水Na2CO3 26.5g(0.25mol) 和甲苯250ml.搅拌回流5h.冷却,过滤,滤饼水洗至中性,用50%异丙醇水溶液重结晶,过滤,干燥,得白色晶体吗氯贝胺40.7g,收率60.7%,mp136~139ºC.含量≥99.0%(HPLC归一法).
|
1.1 产品标识符
: Moclobemide 产品名称 1.2 鉴别的其他方法 4-Chloro-N-[2-(4-morpholinyl)ethyl]benzamide Moclamine Aurorix
1.3 有关的确定了的物质或混合物的用途和建议不适合的用途 仅供科研用途,不作为药物、家庭备用药或其它用途。 模块2. 危险性概述 2.1 GHS分类 急性毒性, 经口 (类别4) 皮肤刺激 (类别2) 严重的眼损伤 (类别1) 特异性靶器官系统毒性(一次接触) (类别3) 2.2 GHS 标记要素,包括预防性的陈述 象形图 警示词危险 危险申明 H302吞咽有害。 H315造成皮肤刺激。 H318造成严重眼损伤。 H335可能引起呼吸道刺激。 警告申明 预防 P261避免吸入粉尘/烟/气体/烟雾/蒸气/喷雾. P264操作后彻底清洁皮肤。 P270使用本产品时不要进食、饮水或吸烟。 P271只能在室外或通风良好之处使用。 P280穿戴防护手套/ 眼保护罩/ 面部保护罩。 措施 P301 + P312如果吞下去了: 如感觉不适,呼救解毒中心或看医生。 P302 + P352如与皮肤接触,用大量肥皂和水冲洗受感染部位. P304 + P340如吸入,将患者移至新鲜空气处并保持呼吸顺畅的姿势休息. P305 + P351 + P338如与眼睛接触,用水缓慢温和地冲洗几分钟。如戴隐形眼镜并可方便地取 出,取出隐形眼镜,然后继续冲洗. P310立即呼叫中毒控制中心或医生. P321具体治疗(见本标签上提供的急救指导)。 P330漱口。 P332 + P313如发生皮肤刺激:求医/ 就诊。 P362脱掉沾染的衣服,清洗后方可重新使用。 储存 P403 + P233存放于通风良的地方。 保持容器密闭。 P405存放处须加锁。 处理 P501将内容物/ 容器处理到得到批准的废物处理厂。 2.3 其它危害物 - 无 模块3. 成分/组成信息 3.1 物 质 : 4-Chloro-N-[2-(4-morpholinyl)ethyl]benzamide 别名 Moclamine Aurorix : C13H17ClN2O2 分子式 : 268.74 g/mol 分子量 组分浓度或浓度范围 4-Chloro-N-(2-(4-morpholinyl)ethyl)-benzamide - CAS 号71320-77-9 模块4. 急救措施 4.1 必要的急救措施描述 一般的建议 请教医生。 出示此安全技术说明书给到现场的医生看。 吸入 如果吸入,请将患者移到新鲜空气处。 如果停止了呼吸,给于人工呼吸。 请教医生。 皮肤接触 用肥皂和大量的水冲洗。 请教医生。 眼睛接触 用大量水彻底冲洗至少15分钟并请教医生。 食入 切勿给失去知觉者从嘴里喂食任何东西。 用水漱口。 请教医生。 4.2 主要症状和影响,急性和迟发效应 据我们所知,此化学,物理和毒性性质尚未经完整的研究。 4.3 及时的医疗处理和所需的特殊处理的说明和指示 无数据资料 模块5. 消防措施 5.1 灭火介质 灭火方法及灭火剂 用水雾,耐醇泡沫,干粉或二氧化碳灭火。 5.2 源于此物质或混合物的特别的危害 碳氧化物, 氮氧化物, 氯化氢气体 5.3 给消防员的建议 如必要的话,戴自给式呼吸器去救火。 5.4 进一步信息 无数据资料 模块6. 泄露应急处理 6.1 人员的预防,防护设备和紧急处理程序 使用个人防护设备。 防止粉尘的生成。 防止吸入蒸汽、气雾或气体。 保证充分的通风。 将人员撤离到安全区域。 避免吸入粉尘。 6.2 环境保护措施 不要让产物进入下水道。 6.3 抑制和清除溢出物的方法和材料 收集、处理泄漏物,不要产生灰尘。 扫掉和铲掉。 存放进适当的闭口容器中待处理。 6.4 参考其他部分 丢弃处理请参阅第13节。 模块7. 操作处置与储存 7.1 安全操作的注意事项 避免接触皮肤和眼睛。 防止粉尘和气溶胶生成。 在有粉尘生成的地方,提供合适的排风设备。一般性的防火保护措施。 7.2 安全储存的条件,包括任何不兼容性 贮存在阴凉处。 容器保持紧闭,储存在干燥通风处。 7.3 特定用途 无数据资料 模块8. 接触控制和个体防护 8.1 容许浓度 最高容许浓度 没有已知的国家规定的暴露极限。 8.2 暴露控制 适当的技术控制 按照良好工业和安全规范操作。 休息前和工作结束时洗手。 个体防护设备 眼/面保护 面罩與安全眼鏡请使用经官方标准如NIOSH (美国) 或 EN 166(欧盟) 检测与批准的设备防护眼部。 皮肤保护 戴手套取 手套在使用前必须受检查。 请使用合适的方法脱除手套(不要接触手套外部表面),避免任何皮肤部位接触此产品. 使用后请将被污染过的手套根据相关法律法规和有效的实验室规章程序谨慎处理. 请清洗并吹干双手 所选择的保护手套必须符合EU的89/686/EEC规定和从它衍生出来的EN 376标准。 身体保护 全套防化学试剂工作服, 防护设备的类型必须根据特定工作场所中的危险物的浓度和含量来选择。 呼吸系统防护 如危险性评测显示需要使用空气净化的防毒面具,请使用全面罩式多功能微粒防毒面具N100型(US )或P3型(EN 143)防毒面具筒作为工程控制的候补。如果防毒面具是保护的唯一方式,则使用全面罩式送风防毒 面具。 呼吸器使用经过测试并通过政府标准如NIOSH(US)或CEN(EU)的呼吸器和零件。 模块9. 理化特性 9.1 基本的理化特性的信息 a) 外观与性状 形状: 固体 b) 气味 无数据资料 c) 气味阈值 无数据资料 d) pH值 无数据资料 e) 熔点/凝固点 无数据资料 f) 起始沸点和沸程 无数据资料 g) 闪点 无数据资料 h) 蒸发速率 无数据资料 i) 易燃性(固体,气体) 无数据资料 j) 高的/低的燃烧性或爆炸性限度 无数据资料 k) 蒸汽压 无数据资料 l) 蒸汽密度 无数据资料 m) 相对密度 无数据资料 n) 水溶性 无数据资料 o) n-辛醇/水分配系数 辛醇--水的分配系数的对数值: 1.55 p) 自燃温度 无数据资料 q) 分解温度 无数据资料 r) 粘度 无数据资料 模块10. 稳定性和反应活性 10.1 反应性 无数据资料 10.2 稳定性 无数据资料 10.3 危险反应的可能性 无数据资料 10.4 应避免的条件 无数据资料 10.5 不兼容的材料 氧化剂 10.6 危险的分解产物 其它分解产物 - 无数据资料 模块11. 毒理学资料 11.1 毒理学影响的信息 急性毒性 半数致死剂量 (LD50) 经口 - 大鼠 - 707 mg/kg 皮肤刺激或腐蚀 无数据资料 眼睛刺激或腐蚀 无数据资料 呼吸道或皮肤过敏 无数据资料 生殖细胞突变性 无数据资料 致癌性 IARC: 此产品中没有大于或等于 0。1%含量的组分被 IARC鉴别为可能的或肯定的人类致癌物。 生殖毒性 无数据资料 特异性靶器官系统毒性(一次接触) 吸入 - 可能引起呼吸道刺激。 特异性靶器官系统毒性(反复接触) 无数据资料 吸入危险 无数据资料 潜在的健康影响 吸入吸入可能有害。 引起呼吸道刺激。 摄入误吞对人体有害。 皮肤如果通过皮肤吸收可能是有害的。 造成皮肤刺激。 眼睛引起眼睛烧伤。 接触后的征兆和症状 据我们所知,此化学,物理和毒性性质尚未经完整的研究。 附加说明 化学物质毒性作用登记: CV2462000 模块12. 生态学资料 12.1 生态毒性 无数据资料 12.2 持久存留性和降解性 无数据资料 12.3 潜在的生物蓄积性 无数据资料 12.4 土壤中的迁移性 无数据资料 12.5 PBT 和 vPvB的结果评价 无数据资料 12.6 其它不利的影响 无数据资料 模块13. 废弃处置 13.1 废物处理方法 产品 将剩余的和未回收的溶液交给处理公司。 联系专业的拥有废弃物处理执照的机构来处理此物质。 与易燃溶剂相溶或者相混合,在备有燃烧后处理和洗刷作用的化学焚化炉中燃烧 受污染的容器和包装 作为未用过的产品弃置。 模块14. 运输信息 14.1 联合国危险货物编号 欧洲陆运危规: -国际海运危规: -国际空运危规: - 14.2 联合国(UN)规定的名称 欧洲陆运危规: 非危险货物 国际海运危规: 非危险货物 国际空运危规: 非危险货物 14.3 运输危险类别 欧洲陆运危规: -国际海运危规: -国际空运危规: - 14.4 包裹组 欧洲陆运危规: -国际海运危规: -国际空运危规: - 14.5 环境危险 欧洲陆运危规: 否国际海运危规 海运污染物: 否国际空运危规: 否 14.6 对使用者的特别提醒 无数据资料 参见发票或包装条的反面。 模块 15 - 法规信息 N/A 模块16 - 其他信息 N/A |
| 符号 |
GHS05, GHS07 |
|---|---|
| 信号词 | Danger |
| 危害声明 | H302-H315-H318-H335 |
| 警示性声明 | P261-P280-P305 + P351 + P338 |
| 个人防护装备 | dust mask type N95 (US);Eyeshields;Gloves |
| 危害码 (欧洲) | Xn: Harmful; |
| 风险声明 (欧洲) | R22 |
| 安全声明 (欧洲) | S26-S39 |
| 危险品运输编码 | 3249 |
| RTECS号 | CV2462000 |
| 包装等级 | III |
| 危险类别 | 6.1(b) |

搜索










