角鲨胺
Squalamine(MSI-1256)是具有广谱抗病毒活性化的化合物。
产品名称
-
中文名(3Β,5Alpha,7Alpha)-3-[[3-((4-氨基丁基)氨基)丙基]氨基]胆甾烷-7,24-二醇24-氢硫酸酯
-
英文名Squalamine
-
中文别名角鲨胺 | (3Β,5Α,7Α)-3-[[3-((4-氨基丁基)氨基)丙基]氨基]胆甾烷-7,24-二醇24-氢硫酸酯
-
英文别名
-
常用名角鲨胺
-
C A S号148717-90-2
物理性质
-
密度1.13g/cm3
-
沸点N/A
-
熔点N/A
-
化学式C34H65N3O5S
-
结构式
1、 摩尔折射率:175.66
2、 摩尔体积(cm3/mol):553.0
3、 等张比容(90.2K):1466.7
4、 表面张力(dyne/cm):49.4
5、 极化率(10-24cm3):69.64
-
闪点N/A
-
分子量627.96200
-
精确质量627.46400
-
P S A142.29000
-
外观形状
-
储存条件
-
稳定性
-
水溶解性
-
形态
-
H L B值
-
粘度
-
PH值
作用/用途
Squalamine(MSI-1256)是具有广谱抗病毒活性化的化合物。
制备方法
方法1:从多刺的角鲨鱼、海绿角鲨的胃中分离得到。
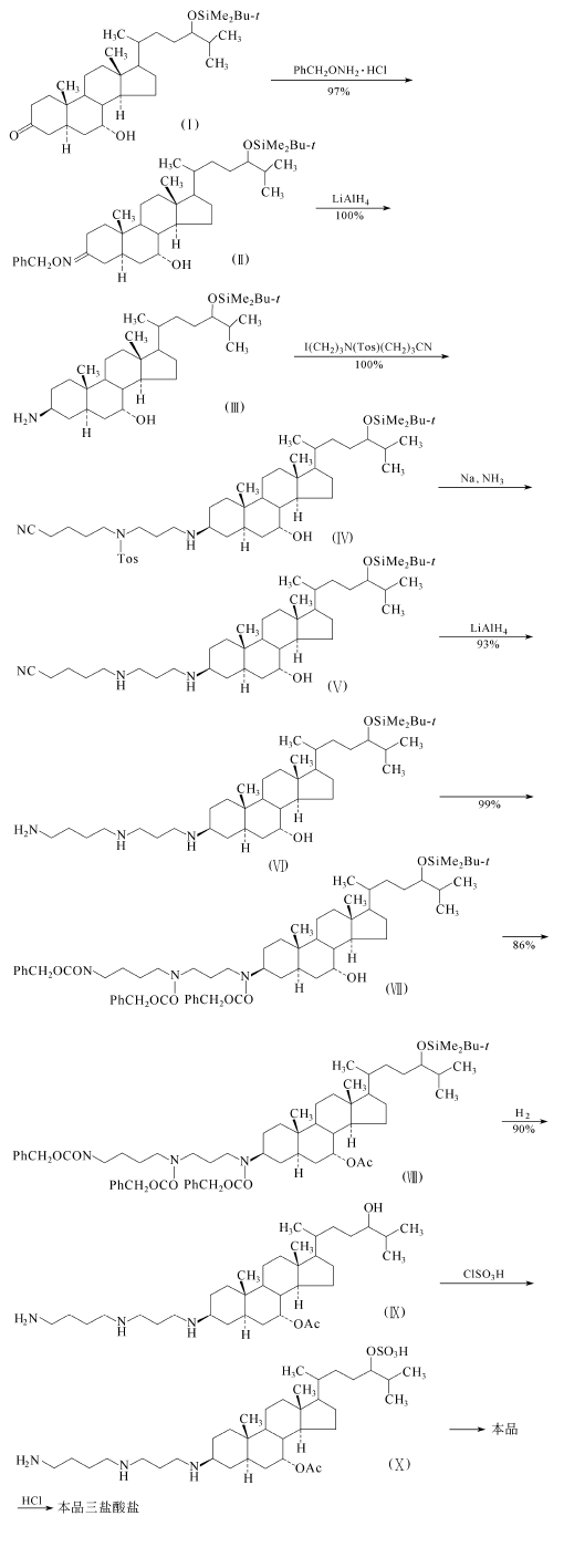
方法2:合成可以3伊羟基-5-胆烯酸(3β-Hydroxy-5-cholenic acid)、鹅去氧胆酸(Chenodeoxycholic acid)、岩藻甾醇(Fucostero1)、脱氢表雄酮(Dehydroepiandrosterone)或醋酸娠烯醇酮(Pregnenolone Acetate)为原料来制备。如以3β-羟基-5-胆烯酸为原料,经12步反应可得化合物(Ⅰ),再通过下列反应得到产物。盐酸酸化可得角鲨胺的三盐酸盐。
安全提醒
MSDS
原料简介
应用范围
毒性和生态
安全信息
是否危险品
危险性
危险类别码
危险等级
触发危险方式
安全技术说明书
环境影响程度
包装与储运
相关供应商







