雷米普利
- 
                                   中文名雷米普利
 - 
                                   英文名Ramipril
 - 
                                   中文别名氘代雷米普利-d5 | [2S-[1[R^^ (R^^)],2Α,3ΑΒ,6ΑΒ]]-1-[2-[[1-(乙氧羰基)-3-苯基丙基]氨基]-1-氧丙基]八氢环戊烷并[B]吡咯-2-羧酸 | N-[1(S)-乙氧羰基-3-苯丙基]-(S)-丙氨酰基-顺桥-2-氮杂二环[3,3,0]辛烷-3(S)-羧酸 | (S)-2-[N-(1-乙氧羰基-3-苯基-丙基)丙氨酰基]-2-氮杂二环[3.3.0]辛烷-3-羧酸 | 5-氟胞嘧啶 | N-[1(S)-乙氧羰基-3-苯丙基]-(S)-丙氨酰基-顺桥-2-氮杂二环[3,3,0]辛烷-3(S)-羧酸
 - 
                                   英文别名
RAMACE UNIPRIL PRAMACE vesdil DELIX (2S,3aS,6aS)-1-{2-[(1-ethoxy-1-oxo-4-phenylbutan-2-yl)amino]propanoyl}octahydrocyclopenta[b]pyrrole-2-carboxylic acid (non-preferred name) N-(1S-Carboethoxy-3-phenylpropyl)-S-alanyl-cis,endo-2-azabicyclo[3.3.0]octane-3S-carboxylic Acid Ramipril Trimce (2S,3aS,6aS)-1-[(2S)-2-{[(1S)-1-(ethoxycarbonyl)-3-phenylpropyl]amino}propanoyl]octahydrocyclopenta[b]pyrrole-2-carboxylic acid (2S,3aS,6aS)-1-[(2S)-2-{[(2S)-1-ethoxy-1-oxo-4-phenylbutan-2-yl]amino}propanoyl]octahydrocyclopenta[b]pyrrole-2-carboxylic acid (non-preferred name) [2S-[1[R*(R*)],2a,3ab,6ab]]-1-[2-[[1-(Ethoxycarbonyl)-3-phenylpropyl]amino]-1-oxopropyl]octahydrocyclopenta[b]pyrrole-2-carboxylic Acid HOE-498 (2S,3aS,6aS)-1-[(2S)-2-{[(2S)-1-Ethoxy-1-oxo-4-phenyl-2-butanyl]amino}propanoyl]octahydrocyclopenta[b]pyrrole-2-carboxylic acid (2S,3aS,6aS)-1-[(S)-N-[(S)-1-Carboxy-3-phenylpropyl]alanyl]octahydrocyclopenta[b]pyrrole-2-carboxylic Acid 1-Ethyl Ester MFCD00865775 (2S,3aS,6aS)-1-[(2S)-2-{[(1S)-1-(ethoxycarbonyl)-3-phenylpropyl]amino}propanoyl]octahydrocyclopenta[b]pyrrole-2-carboxylic acid (non-preferred name) ALTACE CARDACE TRITACE  - 
                                   常用名雷米普利
 - 
                                   C A S号87333-19-5
 
- 
                                    密度1.2±0.1 g/cm3
 - 
                                    沸点616.2±55.0 °C at 760 mmHg
 - 
                                    熔点106-108°C
 - 
                                    化学式C23H32N2O5
 - 
                                    结构式
1、 摩尔折射率:111.41
2、 摩尔体积(cm3/mol):346.8
3、 等张比容(90.2K):923.1
4、 表面张力(dyne/cm):50.1
5、 极化率(10-24cm3):44.16
 - 
                                    闪点326.4±31.5 °C
 - 
                                    分子量416.511
 - 
                                    精确质量416.231110
 - 
                                    P S A95.94000
 - 
                                    外观形状白色固体
 - 
                                    储存条件2-8°C
 - 
                                    稳定性
 - 
                                    水溶解性
 - 
                                    形态
 - 
                                    H L B值
 - 
                                    粘度
 - 
                                    PH值
 
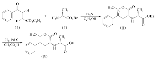
 130g L-丙氨酸苄酯的对甲苯磺酸盐在2.7L 2mol/L氢氧化钠和2.7 L二氯甲烷的溶液进行分配。分出的有机层用无水硫酸钠干燥后,减压蒸去溶剂。剩余的油状物为L-丙氨酸苄酯[化合物(Ⅱ)],将其溶于700ml乙醇待用。另外将51g3-苯甲酰基丙烯酸乙酯[化合物(I)]和7g三乙胺溶于1.9 L乙醇,缓慢加入上面得到的化合物(I)的乙醇溶液。在室温搅拌至少2h,然后冷至0℃。过滤收集结晶,用冷乙醇和石油醚洗,得一份产品。将滤液浓缩后,在50℃下加热1h,再冷至0℃,过滤结晶,可得另一份产品。合计得到的化合物(Ⅲ)的收率为76%,熔点74℃,[α]D20-17.8°(C=1,甲醇)。
20g化合物(Ⅲ)溶于200ml冰乙酸,加入10%钯-炭催化剂,在室温和4MPa的氢压下氢化7h。过滤,滤液浓缩,剩余物溶于小量乙酸乙酯,并用环己烷重结晶,得化合物(Ⅳ),收率90%,熔点148~150℃,[α]D20+28.2°(C=1,甲醇)。
在氮气保持下,将269g 3-氯-2-乙酰胺基丙酸甲酯和257g新蒸馏过的环戊烯基四氢吡咯溶于1.5 L二甲基甲酰胺。在氮气保护下室温反应24h后,减压蒸去溶剂。剩余物溶于小量水,用浓盐酸调Ph值至2。用4L乙酸乙酯提取2次,提取液合并后浓缩,得到淡黄色的油状物,即化合物(V),产量290g。
270g化合物(V)在1.5L 2mol/L盐酸中回流1h。蒸去水,加入乙酸作溶剂,在5g 10%钯-炭催化下,于0.5MPa的氢压下氢化。过滤,浓缩,剩余物用氯仿-异丙醚重结晶,得消旋的化合物(Ⅵ),产量190g。
化合物(Ⅵ)和氯化亚砜反应后,再和苄醇作用,得消旋的化合物(Ⅶ)。
166g消旋的化合物(Ⅶ)溶于250ml10%氢氧化钠水溶液,用500ml和100ml二氯甲烷提取游离出的碱。提取液合并后,减压浓缩。剩余物油状物溶于100ml乙酸乙酯,加入117g N-苄氧羰基-L-苯丙氨酸溶于200ml乙酸乙酯和1.6L环己烷的溶液。析出的沉淀为133g,均为S-构型的化合物(Ⅶ)的游离碱和N-苄氧羰基-L-苯丙氨酸所成的盐,熔点103~104℃,[α]D27-6.1°(C=1,甲醇)。将该盐溶于600ml二氯甲烷,加入9.5g氢氧化钠溶于300ml水的溶液进行处理。分出有机层,无水硫酸钠干燥后,浓缩至200ml。加入200ml异丙醚和50ml 6mol/L氯化氢的乙醚溶液,收集沉淀,即为光学活性的化合物(Ⅶ),产量67.8g,熔点180~182℃,[α]D30-38.4°(C=1,水)。
56.4g光学活性的化合物(Ⅶ)和59g化合物(Ⅳ)溶于300ml水和200ml二氯甲烷,在剧烈搅拌下加入140g碳酸钾溶于300ml水的溶液,并同时加入150ml磷酸单甲单乙酯,使反应液的Ph值维持在9~10。反应2~3h后,用层析检测化合物(Ⅶ)有无消失,如必要可再加些试剂和无机碱。反应完全后,加入500ml二氯甲烷。分出有机层,用200ml 5%硫酸氢钾和10%硫酸钾所成的水溶液提取,然后再用200ml 5%碳酸氢钠/碳酸钠水溶液提取。提取液废弃,二氯甲烷层干燥后减压浓缩,得无色的油状物,为化合物(Ⅷ),收率85%~95%。
上面得到的所有的化合物(Ⅷ)溶于500ml甲醇,加入2g 10%钯-炭催化剂,在室温和0.1~0.5MPa的氢压下,氢化30min。过滤去催化剂后,滤液减压浓缩。剩余物黏稠油状物溶于1L乙醚,接入雷米普利晶种,可得针状的雷米普利结晶,熔点109℃,[α]D24+33.2°(C=1,0.1 mol/L氯化氢的乙醇溶液)。
| 
			  	 模块1. 化学品 1.1 产品标识符 : Ramipril 产品名称 1.2 鉴别的其他方法 [2S,3aS,6aS]-1-[(2S)-2-[[(1S)-1-(Ethoxycarbonyl)-3-phenylpropyl]amino]-1-  oxopropyl]octahydrocyclopenta[b]pyrrole-2-carboxylic acid
 
			  	
				Tritace 1.3 有关的确定了的物质或混合物的用途和建议不适合的用途 仅用于研发。不作为药品、家庭或其它用途。 模块2. 危险性概述 2.1 GHS-分类 根据全球协调系统(GHS)的规定,不是危险物质或混合物。 2.3 其它危害物 - 无 模块3. 成分/组成信息 3.1 物 质 : [2S,3aS,6aS]-1-[(2S)-2-[[(1S)-1-(Ethoxycarbonyl)-3-phenylpropyl]amino]- 别名 1-oxopropyl]octahydrocyclopenta[b]pyrrole-2-carboxylic acid Tritace : C23H32N2O5 分子式 : 416.51 g/mol 分子量 无 模块4. 急救措施 4.1 必要的急救措施描述 吸入 如果吸入,请将患者移到新鲜空气处。 如呼吸停止,进行人工呼吸。 皮肤接触 用肥皂和大量的水冲洗。 眼睛接触 用水冲洗眼睛作为预防措施。 食入 切勿给失去知觉者通过口喂任何东西。 用水漱口。 4.2 主要症状和影响,急性和迟发效应 据我们所知,此化学,物理和毒性性质尚未经完整的研究。 4.3 及时的医疗处理和所需的特殊处理的说明和指示 无数据资料 模块5. 消防措施 5.1 灭火介质 灭火方法及灭火剂 用水雾,抗乙醇泡沫,干粉或二氧化碳灭火。 5.2 源于此物质或混合物的特别的危害 碳氧化物, 氮氧化物 5.3 给消防员的建议 如必要的话,戴自给式呼吸器去救火。 5.4 进一步信息 无数据资料 模块6. 泄露应急处理 6.1 作业人员防护措施、防护装备和应急处置程序 避免粉尘生成。 避免吸入蒸气、烟雾或气体。 6.2 环境保护措施 不要让产品进入下水道。 6.3 泄漏化学品的收容、清除方法及所使用的处置材料 扫掉和铲掉。 放入合适的封闭的容器中待处理。 6.4 参考其他部分 丢弃处理请参阅第13节。 模块7. 操作处置与储存 7.1 安全操作的注意事项 在有粉尘生成的地方,提供合适的排风设备。 7.2 安全储存的条件,包括任何不兼容性 贮存在阴凉处。 使容器保持密闭,储存在干燥通风处。 建议的贮存温度: 2 - 8 °C 7.3 特定用途 无数据资料 模块8. 接触控制和个体防护 8.1 容许浓度 最高容许浓度 没有已知的国家规定的暴露极限。 8.2 暴露控制 适当的技术控制 常规的工业卫生操作。 个体防护设备 眼/面保护 请使用经官方标准如NIOSH (美国) 或 EN 166(欧盟) 检测与批准的设备防护眼部。 皮肤保护 所选择的保护手套必须符合EU的89/686/EEC规定和从它衍生出来的EN 376标准。 戴手套取 手套在使用前必须受检查。 请使用合适的方法脱除手套(不要接触手套外部表面),避免任何皮肤部位接触此产品. 使用后请将被污染过的手套根据相关法律法规和有效的实验室规章程序谨慎处理. 请清洗并吹干双手 身体保护 根据危险物质的类型,浓度和量,以及特定的工作场所选择身体保护措施。, 防护设备的类型必须根据特定工作场所中的危险物的浓度和数量来选择。 呼吸系统防护 不需要保护呼吸。如需防护粉尘损害,请使用N95型(US)或P1型(EN 143)防尘面具。 呼吸器使用经过测试并通过政府标准如NIOSH(US)或CEN(EU)的呼吸器和零件。 模块9. 理化特性 9.1 基本的理化特性的信息 a) 外观与性状 形状: 固体 b) 气味 无数据资料 c) 气味阈值 无数据资料 d) pH值 无数据资料 e) 熔点/凝固点 无数据资料 f) 沸点、初沸点和沸程 无数据资料 g) 闪点 无数据资料 h) 蒸发速率 无数据资料 i) 易燃性(固体,气体) 无数据资料 j) 高的/低的燃烧性或爆炸性限度 无数据资料 k) 蒸气压 无数据资料 l) 蒸汽密度 无数据资料 m) 密度/相对密度 无数据资料 n) 水溶性 无数据资料 o) n-辛醇/水分配系数 无数据资料 p) 自燃温度 无数据资料 q) 分解温度 无数据资料 r) 粘度 无数据资料 模块10. 稳定性和反应活性 10.1 反应性 无数据资料 10.2 稳定性 无数据资料 10.3 危险反应 无数据资料 10.4 应避免的条件 无数据资料 10.5 不相容的物质 强氧化剂 10.6 危险的分解产物 其它分解产物 - 无数据资料 模块11. 毒理学资料 11.1 毒理学影响的信息 急性毒性 半数致死剂量 (LD50) 经口 - 大鼠 - > 10,000 mg/kg 备注: 行为的:嗜睡(全面活力抑制)。 皮肤刺激或腐蚀 无数据资料 眼睛刺激或腐蚀 无数据资料 呼吸道或皮肤过敏 无数据资料 生殖细胞致突变性 无数据资料 致癌性 IARC: 此产品中没有大于或等于 0。1%含量的组分被 IARC鉴别为可能的或肯定的人类致癌物。 生殖毒性 无数据资料 特异性靶器官系统毒性(一次接触) 无数据资料 特异性靶器官系统毒性(反复接触) 无数据资料 吸入危险 无数据资料 潜在的健康影响 吸入吸入可能有害。 可能引起呼吸道刺激。 摄入如服入是有害的。 皮肤通过皮肤吸收可能有害。 可能引起皮肤刺激。 眼睛可能引起眼睛刺激。 接触后的征兆和症状 据我们所知,此化学,物理和毒性性质尚未经完整的研究。 附加说明 化学物质毒性作用登记: GY5879600 模块12. 生态学资料 12.1 生态毒性 无数据资料 12.2 持久性和降解性 无数据资料 12.3 潜在的生物累积性 无数据资料 12.4 土壤中的迁移性 无数据资料 12.5 PBT 和 vPvB的结果评价 无数据资料 12.6 其它不良影响 无数据资料 模块13. 废弃处置 13.1 废物处理方法 产品 将剩余的和不可回收的溶液交给有许可证的公司处理。 受污染的容器和包装 按未用产品处置。 模块14. 运输信息 14.1 联合国危险货物编号 欧洲陆运危规: -国际海运危规: -国际空运危规: - 14.2 联合国运输名称 欧洲陆运危规: 非危险货物 国际海运危规: 非危险货物 国际空运危规: 非危险货物 14.3 运输危险类别 欧洲陆运危规: -国际海运危规: -国际空运危规: - 14.4 包裹组 欧洲陆运危规: -国际海运危规: -国际空运危规: - 14.5 环境危险 欧洲陆运危规: 否国际海运危规国际空运危规: 否 海洋污染物(是/否): 否 14.6 对使用者的特别提醒 无数据资料 参见发票或包装条的反面。 模块 15 - 法规信息 N/A 模块16 - 其他信息 N/A  | 
				
| 个人防护装备 | Eyeshields;Gloves;type N95 (US);type P1 (EN143) respirator filter | 
|---|---|
| 危害码 (欧洲) | Xi | 
| 风险声明 (欧洲) | R36/38 | 
| 安全声明 (欧洲) | S26-S37/39 | 
| 危险品运输编码 | NONH for all modes of transport | 
| RTECS号 | GY5879600 | 
| 海关编码 | 3004909090 | 
        
                                    
                    
                
            






