烯啶虫胺
Nitenpyram 是一类新烟碱和昆虫烟碱型乙酰胆碱受体 (nAChR) 激动剂,IC50 为 14 nM。Nitenpyram 是一种口服速效杀虫剂,用于抑制猫狗等动物身上的吮吸昆虫。
产品名称
-
中文名烯啶虫胺
-
英文名Nitenpyram
-
中文别名
-
英文别名
MFCD01631161 Capstar (E)-N-[(6-Chloropyridin-3-yl)methyl]-N-ethyl-N'-methyl-2-nitroethene-1,1-diamine (E)-N-(6-chloro-3-pyridylmethyl)-N-ethyl-N’-methyl-2-nitrovinylidenediamine (E)-N-(6-Chloro-3-pyridylmethyl)-N-ethyl-N'-methyl-2-nitrovinylidenediamine (E)-N-[(6-Chlorpyridin-3-yl)methyl]-N-ethyl-N'-methyl-2-nitroethen-1,1-diamin (1E)-N-[(6-chloro-3-pyridinyl)methyl]-N-ethyl-N’-methyl-2-nitro-1,1-ethenediamine 1,1-Ethenediamine, N-[(6-chloro-3-pyridinyl)methyl]-N-ethyl-N'-methyl-2-nitro-, (E)- Nitenpyram (1E)-N-[(6-chloropyridin-3-yl)methyl]-N-ethyl-N’-methyl-2-nitroethene-1,1-diamine (E)-N-[(6-Chloro-3-pyridinyl)methyl]-N-ethyl-N'-methyl-2-nitro-1,1-ethenediamine (E)-N-((6-Chloropyridin-3-yl)methyl)-N-ethyl-N'-methyl-2-nitroethene-1,1-diamine (E)-1-N'-[(6-chloropyridin-3-yl)methyl]-1-N'-ethyl-1-N-methyl-2-nitroethene-1,1-diamine -
常用名烯啶虫胺
-
C A S号150824-47-8
物理性质
-
密度1.3±0.1 g/cm3
-
沸点417.2±45.0 °C at 760 mmHg
-
熔点72ºC
-
化学式C11H15ClN4O2
-
结构式
1、 摩尔折射率:70.55
2、 摩尔体积(cm3/mol):215.7
3、 等张比容(90.2K):568.6
4、 表面张力(dyne/cm):48.2
5、 极化率(10-24cm3):27.97
-
闪点206.1±28.7 °C
-
分子量270.715
-
精确质量270.088348
-
P S A73.98000
-
外观形状淡黄色晶体
-
储存条件0-6°C
-
稳定性
-
水溶解性
-
形态
-
H L B值
-
粘度
-
PH值
作用/用途
Nitenpyram 是一类新烟碱和昆虫烟碱型乙酰胆碱受体 (nAChR) 激动剂,IC50 为 14 nM。Nitenpyram 是一种口服速效杀虫剂,用于抑制猫狗等动物身上的吮吸昆虫。
制备方法
1N-乙基-2-氯-5-吡啶甲基胺的制备将2-氯-5-氯甲基吡啶滴加到乙胺水溶液中,搅拌1.5h。浓缩反应混合液,残留物用Na2CO3溶液中和,用乙醚萃取,无水MgSO4干燥,蒸出乙醚后,得黄色液体,即得N-乙基-2-氯-5-吡啶甲基胺,收率45%。
21,1-二甲硫基-2-硝基乙烯的制备硝基甲烷和二硫化碳混合物加热至30~35℃,搅拌下分批加入KOH粉末,搅拌3~4h。用冰冷却后,析出黄色固体,固体用水溶解,再加入乙醇,放置过夜,有大量固体析出。将上述固体加水溶解,搅拌下滴加硫酸二甲酯,控温15℃,反应4h,析出固体,过滤得棕色固体为粗产品,收率95%。用丙酮重结晶得黄色晶体,即1,1-二甲硫基-2-硝基乙烯,m.p.131~132℃。
31,1,1-三氯-2-硝基乙烷的制备在浓盐酸和浓硝酸的混合物中,滴加1,1-二氯乙烯,控温14~17℃,搅拌1h后,升温至20~22℃,搅拌1.5h。用乙醚萃取反应混合物下层,无水MgSO4干燥后浓缩,得1,1,1-三氯-2-硝基乙烷,收率78%。
4烯啶虫胺的合成将N-乙基-2-氯-S-吡啶甲基胺的乙醇溶液滴加到1,1-二甲硫基-2-硝基乙烯和乙醇的混合液中,回流3h,冷却至室温,减压浓缩,得相应的中间产物,然后再将此中间产物、甲胺水溶液和乙醇的混合物加热,搅拌,回流1h后,将混合物冷却至室温,减压浓缩,得粗产品。用乙醇重结晶,得烯啶虫胺黄色结晶.
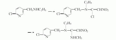
烯啶虫胺也可通过下述途径合成。
安全提醒
MSDS
|
模块1. 化学品 1.1 产品标识符 : 烯啶虫胺 产品名称 1.2 鉴别的其他方法 无数据资料
1.3 有关的确定了的物质或混合物的用途和建议不适合的用途
仅用于研发。不作为药品、家庭或其它用途。 模块2. 危险性概述 2.1 GHS-分类 急性毒性, 经口 (类别 4) 急性毒性, 经皮 (类别 5) 皮肤刺激 (类别 2) 眼睛刺激 (类别 2A) 特异性靶器官系统毒性(一次接触) (类别 3) 2.2 GHS 标记要素,包括预防性的陈述 象形图 警示词警告 危险申明 H302吞咽有害。 H313接触皮肤可能有害。 H315造成皮肤刺激。 H319造成严重眼刺激。 H335可能引起呼吸道刺激。 警告申明 预防措施 P261避免吸入粉尘/烟/气体/烟雾/蒸气/喷雾. P264操作后彻底清洁皮肤。 P270使用本产品时不要进食、饮水或吸烟。 P271只能在室外或通风良好之处使用。 P280穿戴防护手套/ 眼保护罩/ 面部保护罩。 事故响应 P301 + P312如果吞咽并觉不适: 立即呼叫解毒中心或就医。 P302 + P352如果皮肤接触:用大量肥皂和水清洗。 P304 + P340如吸入: 将患者移到新鲜空气处休息,并保持呼吸舒畅的姿势。 P305 + P351 + P338如与眼睛接触,用水缓慢温和地冲洗几分钟。如戴隐形眼镜并可方便地取 出,取出隐形眼镜,然后继续冲洗. P312如感觉不适,呼救中毒控制中心或医生. P321具体处置(见本标签上提供的急救指导)。 P330漱口。 P332 + P313如觉皮肤刺激:求医/就诊。 P337 + P313如仍觉眼睛刺激:求医/就诊。 P362脱掉沾污的衣服,清洗后方可再用。 安全储存 P403 + P233存放于通风良的地方。 保持容器密闭。 P405存放处须加锁。 废弃处置 P501将内容物/ 容器处理到得到批准的废物处理厂。 当心 - 物质尚未完全测试。 2.3 其它危害物 - 无 模块3. 成分/组成信息 3.1 物 质 : C11H15ClN4O2 分子式 : 270.72 g/mol 分子量 组分浓度或浓度范围 Nitenpyram <=100% 化学文摘登记号(CAS150824-47-8 No.) 模块4. 急救措施 4.1 必要的急救措施描述 一般的建议 请教医生。 向到现场的医生出示此安全技术说明书。 吸入 如果吸入,请将患者移到新鲜空气处。 如呼吸停止,进行人工呼吸。 请教医生。 皮肤接触 用肥皂和大量的水冲洗。 请教医生。 眼睛接触 用大量水彻底冲洗至少15分钟并请教医生。 食入 切勿给失去知觉者通过口喂任何东西。 用水漱口。 请教医生。 4.2 主要症状和影响,急性和迟发效应 4.3 及时的医疗处理和所需的特殊处理的说明和指示 无数据资料 模块5. 消防措施 5.1 灭火介质 灭火方法及灭火剂 用水雾,抗乙醇泡沫,干粉或二氧化碳灭火。 5.2 源于此物质或混合物的特别的危害 碳氧化物, 氮氧化物, 氯化氢气体 碳氧化物, 氮氧化物, 氯化氢气体 5.3 给消防员的建议 如必要的话,戴自给式呼吸器去救火。 5.4 进一步信息 无数据资料 模块6. 泄露应急处理 6.1 作业人员防护措施、防护装备和应急处置程序 使用个人防护用品。 避免粉尘生成。 避免吸入蒸气、烟雾或气体。 保证充分的通风。 人员疏散到安全区域。 避免吸入粉尘。 6.2 环境保护措施 不要让产品进入下水道。 6.3 泄漏化学品的收容、清除方法及所使用的处置材料 收集和处置时不要产生粉尘。 扫掉和铲掉。 放入合适的封闭的容器中待处理。 6.4 参考其他部分 丢弃处理请参阅第13节。 模块7. 操作处置与储存 7.1 安全操作的注意事项 避免接触皮肤和眼睛。 避免形成粉尘和气溶胶。 在有粉尘生成的地方,提供合适的排风设备。一般性的防火保护措施。 7.2 安全储存的条件,包括任何不兼容性 贮存在阴凉处。 使容器保持密闭,储存在干燥通风处。 对湿度敏感 7.3 特定用途 无数据资料 模块8. 接触控制和个体防护 8.1 容许浓度 最高容许浓度 没有已知的国家规定的暴露极限。 8.2 暴露控制 适当的技术控制 根据良好的工业卫生和安全规范进行操作。 休息前和工作结束时洗手。 个体防护设备 眼/面保护 带有防护边罩的安全眼镜符合 EN166要求请使用经官方标准如NIOSH (美国) 或 EN 166(欧盟) 检测与批准的设备防护眼部。 皮肤保护 戴手套取 手套在使用前必须受检查。 请使用合适的方法脱除手套(不要接触手套外部表面),避免任何皮肤部位接触此产品. 使用后请将被污染过的手套根据相关法律法规和有效的实验室规章程序谨慎处理. 请清洗并吹干双手 所选择的保护手套必须符合EU的89/686/EEC规定和从它衍生出来的EN 376标准。 身体保护 全套防化学试剂工作服, 防护设备的类型必须根据特定工作场所中的危险物的浓度和数量来选择。 呼吸系统防护 如须暴露于有害环境中,请使用P95型(美国)或P1型(欧盟 英国 143)防微粒呼吸器。如需更高级别防护,请使用OV/AG/P99型(美国)或ABEK-P2型 (欧盟 英国 143) 防毒罐。 呼吸器使用经过测试并通过政府标准如NIOSH(US)或CEN(EU)的呼吸器和零件。 模块9. 理化特性 9.1 基本的理化特性的信息 a) 外观与性状 形状: 结晶 颜色: 淡黄 b) 气味 无数据资料 c) 气味阈值 无数据资料 d) pH值 7 在 840 g/l 在 20 °C e) 熔点/凝固点 无数据资料 f) 沸点、初沸点和沸程 无数据资料 g) 闪点 > 70.00 °C h) 蒸发速率 无数据资料 i) 易燃性(固体,气体) 无数据资料 j) 高的/低的燃烧性或爆炸性限度 无数据资料 k) 蒸气压 无数据资料 l) 蒸汽密度 无数据资料 m) 密度/相对密度 无数据资料 n) 水溶性 可溶的 o) n-辛醇/水分配系数 辛醇--水的分配系数的对数值: -0.64 在 25 °C p) 自燃温度 无数据资料 q) 分解温度 无数据资料 r) 粘度 无数据资料 模块10. 稳定性和反应活性 10.1 反应性 无数据资料 10.2 稳定性 无数据资料 10.3 危险反应 无数据资料 10.4 应避免的条件 无数据资料 10.5 不相容的物质 强氧化剂 10.6 危险的分解产物 其它分解产物 - 无数据资料 模块11. 毒理学资料 11.1 毒理学影响的信息 急性毒性 半数致死剂量 (LD50) 经口 - 大鼠 - 1,575 mg/kg 备注: 行为的:嗜睡(全面活力抑制)。 行为的:抽搐或对癫痫阈值的影响。 行为的:运动失调症 半数致死剂量 (LD50) 经皮 - 大鼠 - > 2,000 mg/kg 皮肤刺激或腐蚀 眼睛刺激或腐蚀 眼睛 - 兔子 - 轻度的眼睛刺激 呼吸道或皮肤过敏 无数据资料 生殖细胞致突变性 无数据资料 致癌性 IARC: 此产品中没有大于或等于 0。1%含量的组分被 IARC鉴别为可能的或肯定的人类致癌物。 生殖毒性 生殖毒性 - 兔子 - 经口 母体效应:其他影响。 生殖毒性 - 大鼠 - 经口 母体效应:其他影响。 特异性靶器官系统毒性(一次接触) 吸入 - 可能引起呼吸道刺激。 特异性靶器官系统毒性(反复接触) 无数据资料 吸入危险 无数据资料 潜在的健康影响 吸入吸入可能有害。 引起呼吸道刺激。 摄入误吞对人体有害。 皮肤通过皮肤吸收可能有害。 造成皮肤刺激。 眼睛造成严重眼刺激。 附加说明 化学物质毒性作用登记: KH8589450 模块12. 生态学资料 12.1 生态毒性 无数据资料 12.2 持久性和降解性 无数据资料 12.3 潜在的生物累积性 无数据资料 12.4 土壤中的迁移性 无数据资料 12.5 PBT 和 vPvB的结果评价 无数据资料 12.6 其它不良影响 无数据资料 模块13. 废弃处置 13.1 废物处理方法 产品 将剩余的和不可回收的溶液交给有许可证的公司处理。 联系专业的拥有废弃物处理执照的机构来处理此物质。 与易燃溶剂相溶或者相混合,在备有燃烧后处理和洗刷作用的化学焚化炉中燃烧 受污染的容器和包装 按未用产品处置。 模块14. 运输信息 14.1 联合国危险货物编号 欧洲陆运危规: -国际海运危规: -国际空运危规: - 14.2 联合国运输名称 欧洲陆运危规: 非危险货物 国际海运危规: 非危险货物 国际空运危规: 非危险货物 14.3 运输危险类别 欧洲陆运危规: -国际海运危规: -国际空运危规: - 14.4 包裹组 欧洲陆运危规: -国际海运危规: -国际空运危规: - 14.5 环境危险 欧洲陆运危规: 否国际海运危规国际空运危规: 否 海洋污染物(是/否): 否 14.6 对使用者的特别提醒 无数据资料 模块16. 其他信息 进一步信息 版权所有:2013 Co. LLC. 公司。许可无限制纸张拷贝,仅限于内部使用。 上述信息视为正确,但不包含所有的信息,仅作为指引使用。本文件中的信息是基于我们目前所知,就正 确的安全提示来说适用于本品。该信息不代表对此产品性质的保证。 参见发票或包装条的反面。 模块 15 - 法规信息 N/A |
原料简介
应用范围
毒性和生态
安全信息
| 符号 |
GHS07 |
|---|---|
| 信号词 | Warning |
| 危害声明 | H302-H315-H319-H335 |
| 警示性声明 | P261-P305 + P351 + P338 |
| 个人防护装备 | dust mask type N95 (US);Eyeshields;Gloves |
| 危害码 (欧洲) | Xn: Harmful; |
| 风险声明 (欧洲) | R22;R36/37/38 |
| 安全声明 (欧洲) | S26-S36 |
| 危险品运输编码 | NONH for all modes of transport |
| RTECS号 | KH8589450 |
| 海关编码 | 2933399027 |
是否危险品
危险性
危险类别码
危险等级
触发危险方式
安全技术说明书
环境影响程度
包装与储运
相关供应商

搜索







