米酵菌酸
Bongkrekic acid 是一种由假单胞菌分泌的线粒体毒素 (mitochondrial toxin)。Bongkrekic acid 是线粒体腺嘌呤核苷酸 (ADP/ATP) 转位酶 (ANT) 的特异性配体而不是电子传递链的。Bongkrekic acid 必须通过线粒体内膜产生抑制 ADP/ATP 转运的作用。
产品名称
-
中文名米酵菌酸
-
英文名bongkrekic acid
-
中文别名
-
英文别名
Bongkrekic Acid, Triammonium Salt BONGKREKIC ACID Bongkrekic acid solution -
常用名米酵菌酸
-
C A S号11076-19-0
物理性质
-
密度1.114g/cm3
-
沸点715.1ºC at 760mmHg
-
熔点N/A
-
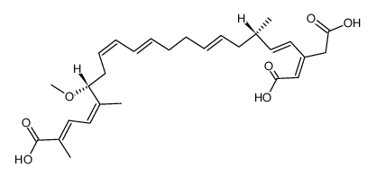
化学式C28H38O7
-
结构式
-
闪点231ºC
-
分子量486.59700
-
精确质量486.26200
-
P S A121.13000
-
外观形状
-
储存条件
-
稳定性
-
水溶解性
-
形态
-
H L B值
-
粘度
-
PH值
作用/用途
Bongkrekic acid 是一种由假单胞菌分泌的线粒体毒素 (mitochondrial toxin)。Bongkrekic acid 是线粒体腺嘌呤核苷酸 (ADP/ATP) 转位酶 (ANT) 的特异性配体而不是电子传递链的。Bongkrekic acid 必须通过线粒体内膜产生抑制 ADP/ATP 转运的作用。
制备方法
安全提醒
MSDS
原料简介
应用范围
毒性和生态
安全信息
| 个人防护装备 | Eyeshields;Gloves;half-mask respirator (US);multi-purpose combination respirator cartridge (US) |
|---|---|
| 危险品运输编码 | NONH for all modes of transport |
是否危险品
危险性
危险类别码
危险等级
触发危险方式
安全技术说明书
环境影响程度
包装与储运
相关供应商

搜索






