喷昔洛韦
-
中文名9-[4-羟基-3-(羟甲基)-丁基]-鸟嘌呤
-
英文名Penciclovir
-
中文别名喷昔洛韦 | 哌昔洛韦 | 2-氨基-9-[4-羟基-3-(羟甲基)丁基]-1H-嘌呤-6-酮 | 9-[4-羟基-3-(羟甲基)丁基]鸟嘌呤
-
英文别名
Fenistil Vectavir peniciclovir Penciclovirum 9-[4-Hydroxy-3-(hydroxymethyl)butyl]guanine 2-Amino-1,9-dihydro-9-[4-hydroxy-3-(hydroxymethyl)butyl]-6H-purin-6-one 2-Amino-9-[4-hydroxy-3-(hydroxymethyl)butyl]-1,9-dihydro-6H-purin-6-one Penciclovir Adenovir 6H-Purin-6-one, 2-amino-3,9-dihydro-9-[4-hydroxy-3-(hydroxymethyl)butyl]- UNII-359HUE8FJC Denavir 2-Amino-1,9-dihydro-9-[4-hydroxy-3-(hydroxymethyl)butyl]-6H-purin-6-one,BRL-39123 2-Amino-9-[4-hydroxy-3-(hydroxymethyl)butyl]-1H-purin-6-one 2-AMINO-9-[4-HYDROXY-3-(HYDROXYMETHYL)BUTYL]-3,9-DIHYDROPURIN-6-ONE,CERTIFIED REFERENCE MATERIAL MFCD00866931 2-amino-9-[4-hydroxy-3-(hydroxymethyl)butyl]-3H-purin-6-one Pencyclovir 9-[4-hydroxy-3-(hydroxymethyl)but-1-yl]guanine 2-Amino-9-[4-hydroxy-3-(hydroxymethyl)butyl]-3,9-dihydropurin-6-one Famciclovir Impurity 4 -
常用名喷昔洛韦
-
C A S号39809-25-1
-
密度1.7±0.1 g/cm3
-
沸点636.7±65.0 °C at 760 mmHg
-
熔点275-277°C
-
化学式C10H15N5O3
-
结构式
1、 摩尔折射率:82.96
2、 摩尔体积(cm3/mol):259.0
3、 等张比容(90.2K):680.7
4、 表面张力(dyne/cm):47.7
5、 极化率(10-24cm3):32.89
-
闪点338.9±34.3 °C
-
分子量253.258
-
精确质量253.117493
-
P S A130.05000
-
外观形状白色结晶固体
-
储存条件-20°C Freezer
-
稳定性
-
水溶解性
-
形态
-
H L B值
-
粘度
-
PH值
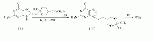
方法一:2,2-二甲基-5-(2-溴乙基)-,3-二氧杂环己烷溶于二甲基甲酰胺,在室温下依次加入2-氨基-6-氯嘌呤和碳酸钾,并在40℃下反应一定时间,得到的烷基化产物再于一定温度下和盐酸进行水解反应,即得喷昔洛韦。
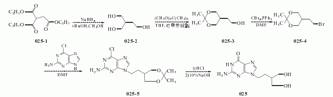
方法二:
推荐文献[3]的合成路线的合成路线和方法进行制备和合成。
(1)。2-(羟甲基)丁(烷)-1,4-二醇(025-2)的制备
在反应瓶中加入1,1,2-乙烷三羧酸三乙酯(025-2)46ml(200mmol)和NaBH420g溶于叔丁醇400ml的溶液,0.5h内搅拌回流下,向该混合溶液中分三次(等分量)加入甲醇25ml,加毕继续搅拌回流0.5h.冷却后小心加5mol/L盐酸调反应液至中性,过滤,滤液用乙醇(100ml*2)提取,将溶液合并并蒸除溶剂,剩余物用乙醇120ml提取,过滤,滤液蒸除溶剂得清澈的无色液体(025-2)24g,收率100%.
(2).5-(2-羟乙基)-2,2-二甲基-1,3-二噁烷(025-3)的制备
在反应瓶中加入025-2 12g(100mmol)和THF25ml,搅拌溶解,再加入2,2-二甲氧基丙烷13.5g(110mmol), 搅拌混合下向该溶液中加入对甲苯磺酸0.57g(3mmol),加毕在室温搅拌反应0.5h.加入三乙胺中和,蒸除溶剂,剩余物通过硅胶柱色谱纯化,用氯仿/甲醇混合溶剂洗脱,经处理,得清澈的无色液体025-3 6.5g,收率41%。
(3)。5-(2-溴乙基)-2,2-二甲基-1,3-二噁烷(025-4)的制备
在反应瓶中加入025-3 6.08g(38mmol)和四溴化碳18.90g(57mmol)溶于DMF 110ml溶液,在冰浴冷却和搅拌下加入三苯基膦14.95g(57mmol),加毕,在同温度下搅拌反应0.5h.往该溶液加入饱和的NaHCO3水溶液55ml,接着加水55ml,混合物用己烷(150ml*2)提取,合并有机层,无水MgSO4干燥,过滤,滤液蒸除溶剂,剩余物置于真空干燥器2h.加入己烷分散,将溶液过滤,把滤液溶剂蒸除,得到清澈液体025-4,冷却固化结晶,得025-4 7.40g,收率87%,mp18 ºC .
(4)2-氨基-6-氯-9-[2-(2,2-二甲基-1,3-二噁烷-5-基)-乙基]嘌呤(025-5)的制备
在反应瓶中加入干燥的025-4 0.75g(3.7mmol)溶于干燥DMF 12ml溶液,搅拌下加入2-氨基-6-氯嘌呤0.68g(6.0mmol),加毕于室温下搅拌反应5h.放入冰箱(4 ºC)静置过夜.将溶液过滤,滤液蒸除溶剂,剩余物经硅胶柱色谱纯化,用氯仿/甲醇(80:1和60:1)混合液洗脱,经后处理得025-5 0.74g,收率64%,mp125~126 ºC .
(5).喷昔洛韦(025)的合成
在反应瓶中加入025-5 3.74g(12mmol)和2mol/L盐酸12ml,搅拌加热回流75min,回流毕,加入10%NaOH水溶液中和反应液,然后冷却至室温,将其过滤,固体用水洗净,得025 2.18g,收率72%,mp275~277 ºC .
|
模块1. 化学品 1.1 产品标识符 : PENCICLOVIR 产品名称 1.2 鉴别的其他方法 无数据资料
1.3 有关的确定了的物质或混合物的用途和建议不适合的用途
仅用于研发。不作为药品、家庭或其它用途。 模块2. 危险性概述 2.1 GHS-分类 眼睛刺激 (类别 2A) 2.2 GHS 标记要素,包括预防性的陈述 象形图 警示词警告 危险申明 H319造成严重眼刺激。 警告申明 预防措施 P264操作后彻底清洁皮肤。 P280穿戴防护手套/ 眼保护罩/ 面部保护罩。 事故响应 P305 + P351 + P338如与眼睛接触,用水缓慢温和地冲洗几分钟。如戴隐形眼镜并可方便地取 出,取出隐形眼镜,然后继续冲洗. P337 + P313如仍觉眼睛刺激:求医/就诊。 2.3 其它危害物 - 无 模块3. 成分/组成信息 3.1 物 质 : C10H15N5O3 分子式 : 253.26 g/mol 分子量 组分浓度或浓度范围 PENCICLOVIR <=100% 化学文摘登记号(CAS39809-25-1 No.) 模块4. 急救措施 4.1 必要的急救措施描述 一般的建议 请教医生。 向到现场的医生出示此安全技术说明书。 吸入 如果吸入,请将患者移到新鲜空气处。 如呼吸停止,进行人工呼吸。 请教医生。 皮肤接触 用肥皂和大量的水冲洗。 请教医生。 眼睛接触 用大量水彻底冲洗至少15分钟并请教医生。 食入 切勿给失去知觉者通过口喂任何东西。 用水漱口。 请教医生。 4.2 主要症状和影响,急性和迟发效应 据我们所知,此化学,物理和毒性性质尚未经完整的研究。 4.3 及时的医疗处理和所需的特殊处理的说明和指示 无数据资料 模块5. 消防措施 5.1 灭火介质 灭火方法及灭火剂 用水雾,抗乙醇泡沫,干粉或二氧化碳灭火。 5.2 源于此物质或混合物的特别的危害 碳氧化物, 氮氧化物 5.3 给消防员的建议 如必要的话,戴自给式呼吸器去救火。 5.4 进一步信息 无数据资料 模块6. 泄露应急处理 6.1 作业人员防护措施、防护装备和应急处置程序 使用个人防护用品。 避免粉尘生成。 避免吸入蒸气、烟雾或气体。 保证充分的通风。 避免吸入粉尘。 6.2 环境保护措施 不要让产品进入下水道。 6.3 泄漏化学品的收容、清除方法及所使用的处置材料 收集和处置时不要产生粉尘。 扫掉和铲掉。 放入合适的封闭的容器中待处理。 6.4 参考其他部分 丢弃处理请参阅第13节。 模块7. 操作处置与储存 7.1 安全操作的注意事项 避免接触皮肤和眼睛。 避免形成粉尘和气溶胶。 在有粉尘生成的地方,提供合适的排风设备。一般性的防火保护措施。 7.2 安全储存的条件,包括任何不兼容性 贮存在阴凉处。 使容器保持密闭,储存在干燥通风处。 7.3 特定用途 无数据资料 模块8. 接触控制和个体防护 8.1 容许浓度 最高容许浓度 没有已知的国家规定的暴露极限。 8.2 暴露控制 适当的技术控制 根据良好的工业卫生和安全规范进行操作。 休息前和工作结束时洗手。 个体防护设备 眼/面保护 带有防护边罩的安全眼镜符合 EN166要求请使用经官方标准如NIOSH (美国) 或 EN 166(欧盟) 检测与批准的设备防护眼部。 皮肤保护 戴手套取 手套在使用前必须受检查。 请使用合适的方法脱除手套(不要接触手套外部表面),避免任何皮肤部位接触此产品. 使用后请将被污染过的手套根据相关法律法规和有效的实验室规章程序谨慎处理. 请清洗并吹干双手 所选择的保护手套必须符合EU的89/686/EEC规定和从它衍生出来的EN 376标准。 身体保护 防渗透的衣服, 防护设备的类型必须根据特定工作场所中的危险物的浓度和数量来选择。 呼吸系统防护 如须暴露于有害环境中,请使用P95型(美国)或P1型(欧盟 英国 143)防微粒呼吸器。如需更高级别防护,请使用OV/AG/P99型(美国)或ABEK-P2型 (欧盟 英国 143) 防毒罐。 呼吸器使用经过测试并通过政府标准如NIOSH(US)或CEN(EU)的呼吸器和零件。 模块9. 理化特性 9.1 基本的理化特性的信息 a) 外观与性状 形状: 固体 b) 气味 无数据资料 c) 气味阈值 无数据资料 d) pH值 无数据资料 e) 熔点/凝固点 无数据资料 f) 沸点、初沸点和沸程 无数据资料 g) 闪点 不适用 h) 蒸发速率 无数据资料 i) 易燃性(固体,气体) 无数据资料 j) 高的/低的燃烧性或爆炸性限度 无数据资料 k) 蒸气压 无数据资料 l) 蒸汽密度 无数据资料 m) 密度/相对密度 无数据资料 n) 水溶性 无数据资料 o) n-辛醇/水分配系数 无数据资料 p) 自燃温度 无数据资料 q) 分解温度 无数据资料 r) 粘度 无数据资料 模块10. 稳定性和反应活性 10.1 反应性 无数据资料 10.2 稳定性 无数据资料 10.3 危险反应 无数据资料 10.4 应避免的条件 无数据资料 10.5 不相容的物质 强氧化剂 10.6 危险的分解产物 其它分解产物 - 无数据资料 模块11. 毒理学资料 11.1 毒理学影响的信息 急性毒性 无数据资料 皮肤刺激或腐蚀 无数据资料 眼睛刺激或腐蚀 无数据资料 呼吸道或皮肤过敏 无数据资料 生殖细胞致突变性 致癌性 IARC: 此产品中没有大于或等于 0。1%含量的组分被 IARC鉴别为可能的或肯定的人类致癌物。 生殖毒性 无数据资料 特异性靶器官系统毒性(一次接触) 无数据资料 特异性靶器官系统毒性(反复接触) 无数据资料 吸入危险 无数据资料 潜在的健康影响 吸入吸入可能有害。 可能引起呼吸道刺激。 摄入如服入是有害的。 皮肤通过皮肤吸收可能有害。 可能引起皮肤刺激。 眼睛造成严重眼刺激。 接触后的征兆和症状 据我们所知,此化学,物理和毒性性质尚未经完整的研究。 附加说明 化学物质毒性作用登记: 无数据资料 模块12. 生态学资料 12.1 生态毒性 无数据资料 对水蚤和其他水生无脊备注: 无数据资料 椎动物的毒性 12.2 持久性和降解性 无数据资料 12.3 潜在的生物累积性 无数据资料 12.4 土壤中的迁移性 无数据资料 12.5 PBT 和 vPvB的结果评价 无数据资料 12.6 其它不良影响 无数据资料 模块13. 废弃处置 13.1 废物处理方法 产品 将剩余的和不可回收的溶液交给有许可证的公司处理。 联系专业的拥有废弃物处理执照的机构来处理此物质。 与易燃溶剂相溶或者相混合,在备有燃烧后处理和洗刷作用的化学焚化炉中燃烧 受污染的容器和包装 按未用产品处置。 模块14. 运输信息 14.1 联合国危险货物编号 欧洲陆运危规: -国际海运危规: -国际空运危规: - 14.2 联合国运输名称 欧洲陆运危规: 非危险货物 国际海运危规: 非危险货物 国际空运危规: 非危险货物 14.3 运输危险类别 欧洲陆运危规: -国际海运危规: -国际空运危规: - 14.4 包裹组 欧洲陆运危规: -国际海运危规: -国际空运危规: - 14.5 环境危险 欧洲陆运危规: 否国际海运危规国际空运危规: 否 海洋污染物(是/否): 否 14.6 对使用者的特别提醒 无数据资料 模块 15 - 法规信息 N/A 模块16 - 其他信息 N/A |
| 危害码 (欧洲) | Xi |
|---|---|
| 风险声明 (欧洲) | R10:Flammable. |
| 安全声明 (欧洲) | S16 |
| 危险品运输编码 | UN 1993 3/PG 3 |
| WGK德国 | 3 |
| 包装等级 | III |
| 危险类别 | 3.2 |

搜索








