氟吗西尼
Flumazenil 是一种有竞争性的 GABAA receptor 拮抗剂,用于治疗苯二氮类药物过量问题。
产品名称
-
中文名氟马西尼
-
英文名Flumazenil
-
中文别名氟吗西尼 | 氟马泽尼
-
英文别名
Romazicon Lanexat Anexate Ethyl 8-fluoro-5-methyl-6-oxo-5,6-dihydro-4H-benzo[f]imidazo[1,5-a][1,4]diazepine-3-carboxylate Ro-15-1788 Ro 15-1788 YM-684 Ro 1722 Ethyl 8-fluoro-5-methyl-6-oxo-5,6-dihydro-4H-imidazo[1,5-a][1,4]benzodiazepine-3-carboxylate 4H-Imidazo[1,5-a][1,4]benzodiazepine-3-carboxylic acid, 8-fluoro-5,6-dihydro-5-methyl-6-oxo-, ethyl ester Mazicon Flumazenil FMZ Flumazepil 8-Fluoro-5,6-dihydro-5-methyl-6-oxo-4H-imidazo[1,5-a][1,4]benzodiazepine-3-carboxylic acid ethyl ester Ethyl-8-fluoro-5,6-dihydro-5-methyl-6-oxo-4H-imidazo[1,5-a][1,4]benzodiazepine-3-carboxylate 4H-Imidazo(1,5-a)(1,4)benzodiazepine-3-carboxylic acid, 8-fluoro-5,6-dihydro-5-methyl-6-oxo-, ethyl ester MFCD00242764 -
常用名氟吗西尼
-
C A S号78755-81-4
物理性质
-
密度1.4±0.1 g/cm3
-
沸点528.0±50.0 °C at 760 mmHg
-
熔点201-203°C
-
化学式C15H14FN3O3
-
结构式
1、 摩尔折射率:77.58
2、 摩尔体积(cm3/mol):217.0
3、 等张比容(90.2K):572.7
4、 表面张力(dyne/cm):48.4
5、 极化率(10-24cm3):30.75
-
闪点273.1±30.1 °C
-
分子量303.288
-
精确质量303.101929
-
P S A64.43000
-
外观形状solid | white
-
储存条件2-8°C
-
稳定性
-
水溶解性
-
形态
-
H L B值
-
粘度
-
PH值
作用/用途
Flumazenil 是一种有竞争性的 GABAA receptor 拮抗剂,用于治疗苯二氮类药物过量问题。
制备方法
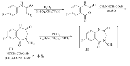
方法1:5-氟靛红在冰醋酸和浓硫酸中,用30%过氧化氢氧化,得黄色固体的6-氟靛红酸酐,收率82%。然后和肌氨酸(即N-甲基甘氨酸)在二甲亚砜中,于100℃反应,得化合物(Ⅰ),收率80%。再在氯仿中,N,N-二甲基苯胺存在下,和三氯氧磷回流。氯化所得化合物(Ⅱ)经处理后,在二甲基甲酰胺中,叔丁醇钠存在下,和氰基醋酸乙酯反应,得氟马西尼,收率40%,熔点200~203℃。
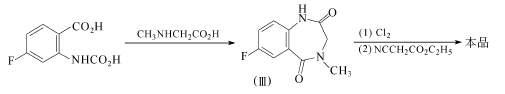
方法2:4-氟-2-(N-羧基氨基)苯甲酸和N-甲基甘氨酸环合,生成化合物(Ⅲ),再和2-氰基乙酸乙酯环合,得到氟马西尼。
安全提醒
MSDS
原料简介
应用范围
毒性和生态
安全信息
| 个人防护装备 | Eyeshields;Gloves;type N95 (US);type P1 (EN143) respirator filter |
|---|---|
| 危害码 (欧洲) | Xi |
| 风险声明 (欧洲) | R36/37/38:Irritating to eyes, respiratory system and skin . |
| 安全声明 (欧洲) | S26:In case of contact with eyes, rinse immediately with plenty of water and seek medical advice . S27:Take off immediately all contaminated clothing . S36/37/39:Wear suitable protective clothing, gloves and eye/face protection . |
| 危险品运输编码 | NONH for all modes of transport |
| WGK德国 | 2 |
| RTECS号 | NI2922170 |
| 海关编码 | 2933990090 |
是否危险品
危险性
危险类别码
危险等级
触发危险方式
安全技术说明书
环境影响程度
包装与储运
相关供应商

搜索







