泛昔洛韦
-
中文名法昔洛韦
-
英文名Famciclovir
-
中文别名泛昔洛韦 | 法昔洛为 | 2-[2-(2-氨基-9H-嘌呤-9-基)乙基]-1,3-丙二醇-二乙酯
-
英文别名
2-(2-(2-Amino-9H-purin-9-yl)ethyl)propane-1,3-diyl diacetate acétate de 2-[(acétyloxy)méthyl]-4-(2-amino-9H-purin-9-yl)butyle 2-(2-(2-Amino-9H-purin-9-yl)ethyl)-1,3-propanediol diacetate ester 2-(Acetoxymethyl)-4-(2-amino-9H-purin-9-yl)butyl acetate 2-[2-(2-Amino-9H-purin-9-yl)ethyl]-1,3-propanediol Diacetate Famciclovir Amciclovir Famciclover 2-[(acetyloxy)methyl]-4-(2-amino-9H-purin-9-yl)butyl acetate (non-preferred name) 2-[(Acetyloxy)methyl]-4-(2-amino-9H-purin-9-yl)butylacetat FaMtrex Famvir FaMciclovir API famcyclovir FCV MFCD00866964 1,3-Propanediol, 2-[2-(2-amino-9H-purin-9-yl)ethyl]-, diacetate (ester) 2-[2-(2-Amino-9H-purin-9-yl)ethyl]-1,3-propanediol Diacetate (Ester) 9-[4-Acetoxy-3-(acetoxymethyl)but-1-yl]-2-aminopurine FaMcivir -
常用名泛昔洛韦
-
C A S号104227-87-4
-
密度1.4±0.1 g/cm3
-
沸点550.2±60.0 °C at 760 mmHg
-
熔点102-104°C
-
化学式C14H19N5O4
-
结构式
1、 摩尔折射率:82.66
2、 摩尔体积(cm3/mol):239.8
3、 等张比容(90.2K):639.3
4、 表面张力(dyne/cm):50.4
5、 极化率(10-24cm3):32.77
-
闪点286.6±32.9 °C
-
分子量321.332
-
精确质量321.143707
-
P S A122.22000
-
外观形状灰白色粉末
-
储存条件-20°C Freezer
-
稳定性
-
水溶解性
-
形态
-
H L B值
-
粘度
-
PH值
1.将2-氨基-6-氯嘌呤溶于含氢氧化钠的水中,在钯-碳存在下,与一定温度和压力下氢化,得到2-氨基嘌呤。
将2-氨基嘌呤、2-(-碘乙基)丙二醇二乙酯和碳酸钾在二甲基甲酰胺中反应得泛昔洛韦。或者由鸟嘌呤、三乙基甲基氯化铵和氯化亚砜反应得到8-氯鸟嘌呤。将8-氯鸟嘌呤转化为盐酸盐,并在五氯化二磷存在下干燥。在该盐酸盐中加入三乙基甲基氯化铵的乙腈溶液,加入三氯氧磷,反应得到2-氨基-6,8-二氯嘌呤。该物质和2-(2-碘乙基)丙二醇二乙酸酯、碳酸钾在二甲基甲酰胺中反应,得到的化合物在钯-碳存在下氢化还原,得到泛昔洛韦。
2.
参考文献[8~27]推荐合成路线和方法如下.
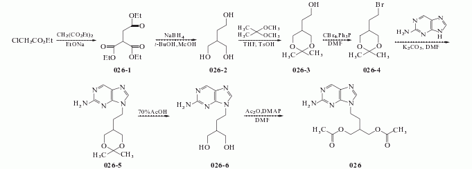
(1). 1,1,2-三乙氧羰基乙烷(026-1)的制备
在反应瓶中加入丙二酸二乙酯钠盐(由丙二酸二乙酯与乙醇钠反应而得)48g(0.3mol),搅拌下冰浴冷却下慢慢加入a-氯乙酸乙酯37g(0.302mol),加毕在同温搅拌25min.移去冰浴,用蒸汽浴加热反应2h.反应毕,将反应液减压蒸馏,收集165~175 ºC /1.923~2.261kPa馏分(或130~132 ºC /4torr馏分).得026-1 44.3g,收率60%.
(2).2-(羟甲基)-丁(烷)-1,4-二醇(026-2)的制备
在反应瓶中加入叔丁醇400ml(4.24mol)、026-146ml(0.2mol)和硼氢化钠20g(0.53mol),搅拌加热至回流,在回流下0.5h内分三次共加入甲醇25ml(0.62mol),加毕,继续搅拌回流反应0.5h.将反应液冷却至室温,小心加入5mol/L盐酸至反应液达中性.将溶液过滤,滤液用乙醇(100ml*2)提取,将提取液合并,减蒸除溶剂,剩余物再用乙醇120ml提取,过滤,滤液蒸除溶剂,得清澈无色液体026-2 24g,收率100%.
(3).5-(2-羟乙基)-2,2-二甲基-1,3-二噁烷(026-3)的制备
在反应瓶中加入026-2 36g(300mmol)和THF75ml,搅拌溶解,再加入2,2-二甲氧基丙烷40.5g(330mmol),搅拌混合下向该溶液中加入对甲苯磺酸(TsOH)单水合物1.7g(9.8mmol),加毕,在室温搅拌反应0.5~1h.加入三乙胺中和,蒸除溶剂,剩余物经硅胶柱色谱纯化[洗脱剂:氯仿/甲醇混合溶剂,或用乙酸乙酯/石油醚(体积比5:1)],含目的物的流出液进行处理后,得清澈的无色液体026-3 21g,收率44%.
(4) 5-(2-溴乙基)-2,2-二甲基-1,3-二噁烷(026-4)的制备
在反应瓶中加入026-3 6.08g(38mmol)和四溴化碳18.90g(57mmol)溶于DMF110ml溶液,在冰浴冷却下搅拌下加入三苯基膦(Ph3P)14.95g(57mmol).加毕,在同温度下搅拌反应30min.向该溶液中加入饱和的NaHCO3水溶液55ml,随后加水55ml,混合物用己烷(150ml*2)提取.
合并有机层,无水MgSO4干燥,过滤,滤液蒸除溶剂,剩余物置于真空干燥器干燥2h.加入己烷分散,将溶液过滤,把滤液中溶剂蒸除,得清澈液体026-4,冷却固化结晶,得026-4 7.4g,收率87%,mp18 ºC.
(5) 2-氨基-9[2-(2,2-二甲基-1,3-二噁烷-5-基)-乙基]嘌呤(026-5)的制备
在反应瓶中加入干燥的026-4 1.1g(4.93mmol)和DMF 14ml(干燥的)和无水K2CO3 0.81g(5.86mmol),搅拌悬浮,然后加入2-氨基嘌呤0.53g(3.92mmol),加毕,于室温搅拌反应5~6h.过滤少量DMF(干燥的)洗滤饼,合并洗液和滤液,减压蒸除溶剂.剩余物经硅胶柱色谱纯化[洗脱剂:氯仿/甲醇(体积比10:1)],得026-5 0.9g,收率83%,mp118~119 ºC .
(6) 2-氨基-9-[4-羟基-3-(羟甲基)丁-1-基]嘌呤(026-6)的制备
在反应瓶中加入026-5 0.2g(0.72mmol)和70%乙酸(AcOH)12ml,在室温下搅拌反应1~2h.反应毕,将反应液减压蒸除溶剂至干,剩余物为026-6粗制品,得0.17g,收率99%,该粗品不需纯化可直接用于下步反应.
(7)泛昔洛韦(026)的合成
在反应瓶中加入026-6 0.17g(0.72mmol)、DMF 10ml、二甲基氨基吡啶(DMAP)7.9mg(0.065mmol),搅拌溶解,降温至0 ºC ,滴加乙酸酐0.37ml(3.91mmol)20min:滴完.滴毕,室温下搅拌反应1h.反应毕,加二氯甲烷5ml稀释,用2mol/L盐酸(4ml*2)洗涤,再用饱和NaHCO3溶液4ml洗涤,最后用盐水5ml洗,用无水MgSO4干燥,过滤,滤液蒸除溶剂,剩余物经硅胶柱色谱纯化[洗脱剂:氯仿/甲醇(体积比10:1)],得026 0.21g,收率91%,mp102~103 ºC .
|
1.1 产品标识符
: Famciclovir 产品名称 1.2 鉴别的其他方法 2-(2-(2-Amino-9H-purin-9-yl)ethyl)-1,3-propanediol diacetate ester 1.3 有关的确定了的物质或混合物的用途和建议不适合的用途 仅供科研用途,不作为药物、家庭备用药或其它用途。
模块2. 危险性概述 2.1 GHS分类 根据化学品全球统一分类与标签制度(GHS)的规定,不是危险物质或混合物。 2.3 其它危害物 可能敏 模块3. 成分/组成信息 3.1 物 质 : 2-(2-(2-Amino-9H-purin-9-yl)ethyl)-1,3-propanediol diacetate ester 别名 : C14H19N5O4 分子式 : 321.33 g/mol 分子量 无 模块4. 急救措施 4.1 必要的急救措施描述 吸入 如果吸入,请将患者移到新鲜空气处。 如果停止了呼吸,给于人工呼吸。 皮肤接触 用肥皂和大量的水冲洗。 眼睛接触 用水冲洗眼睛作为预防措施。 食入 切勿给失去知觉者从嘴里喂食任何东西。 用水漱口。 4.2 主要症状和影响,急性和迟发效应 据我们所知,此化学,物理和毒性性质尚未经完整的研究。 4.3 及时的医疗处理和所需的特殊处理的说明和指示 无数据资料 模块5. 消防措施 5.1 灭火介质 灭火方法及灭火剂 用水雾,耐醇泡沫,干粉或二氧化碳灭火。 5.2 源于此物质或混合物的特别的危害 碳氧化物, 氮氧化物 5.3 给消防员的建议 如必要的话,戴自给式呼吸器去救火。 5.4 进一步信息 无数据资料 模块6. 泄露应急处理 6.1 人员的预防,防护设备和紧急处理程序 防止粉尘的生成。 防止吸入蒸汽、气雾或气体。 6.2 环境保护措施 不要让产物进入下水道。 6.3 抑制和清除溢出物的方法和材料 扫掉和铲掉。 存放进适当的闭口容器中待处理。 6.4 参考其他部分 丢弃处理请参阅第13节。 模块7. 操作处置与储存 7.1 安全操作的注意事项 在有粉尘生成的地方,提供合适的排风设备。 7.2 安全储存的条件,包括任何不兼容性 贮存在阴凉处。 容器保持紧闭,储存在干燥通风处。 建议的贮存温度: 2 - 8 °C 7.3 特定用途 无数据资料 模块8. 接触控制和个体防护 8.1 容许浓度 最高容许浓度 没有已知的国家规定的暴露极限。 8.2 暴露控制 适当的技术控制 常规的工业卫生操作。 个体防护设备 眼/面保护 请使用经官方标准如NIOSH (美国) 或 EN 166(欧盟) 检测与批准的设备防护眼部。 皮肤保护 戴手套取 手套在使用前必须受检查。 请使用合适的方法脱除手套(不要接触手套外部表面),避免任何皮肤部位接触此产品. 使用后请将被污染过的手套根据相关法律法规和有效的实验室规章程序谨慎处理. 请清洗并吹干双手 所选择的保护手套必须符合EU的89/686/EEC规定和从它衍生出来的EN 376标准。 身体保护 根据危险物质的类型,浓度和量,以及特定的工作场所来选择人体保护措施。, 防护设备的类型必须根据特定工作场所中的危险物的浓度和含量来选择。 呼吸系统防护 不需要保护呼吸。如需防护粉尘损害,请使用N95型(US)或P1型(EN 143)防尘面具。 呼吸器使用经过测试并通过政府标准如NIOSH(US)或CEN(EU)的呼吸器和零件。 模块9. 理化特性 9.1 基本的理化特性的信息 a) 外观与性状 形状: 固体 b) 气味 无数据资料 c) 气味阈值 无数据资料 d) pH值 无数据资料 e) 熔点/凝固点 无数据资料 f) 起始沸点和沸程 无数据资料 g) 闪点 无数据资料 h) 蒸发速率 无数据资料 i) 易燃性(固体,气体) 无数据资料 j) 高的/低的燃烧性或爆炸性限度 无数据资料 k) 蒸汽压 无数据资料 l) 蒸汽密度 无数据资料 m) 相对密度 无数据资料 n) 水溶性 无数据资料 o) n-辛醇/水分配系数 辛醇--水的分配系数的对数值: 0.739 p) 自燃温度 无数据资料 q) 分解温度 无数据资料 r) 粘度 无数据资料 模块10. 稳定性和反应活性 10.1 反应性 无数据资料 10.2 稳定性 无数据资料 10.3 危险反应的可能性 无数据资料 10.4 应避免的条件 无数据资料 10.5 不兼容的材料 无数据资料 10.6 危险的分解产物 其它分解产物 - 无数据资料 模块11. 毒理学资料 11.1 毒理学影响的信息 急性毒性 无数据资料 皮肤刺激或腐蚀 无数据资料 眼睛刺激或腐蚀 无数据资料 呼吸道或皮肤过敏 无数据资料 生殖细胞突变性 无数据资料 致癌性 IARC: 此产品中没有大于或等于 0。1%含量的组分被 IARC鉴别为可能的或肯定的人类致癌物。 生殖毒性 无数据资料 特异性靶器官系统毒性(一次接触) 无数据资料 特异性靶器官系统毒性(反复接触) 无数据资料 吸入危险 无数据资料 潜在的健康影响 吸入吸入可能有害。 可能引起呼吸道刺激。 摄入如服入是有害的。 皮肤如果通过皮肤吸收可能是有害的。 可能引起皮肤刺激。 眼睛可能引起眼睛刺激。 接触后的征兆和症状 据我们所知,此化学,物理和毒性性质尚未经完整的研究。 附加说明 化学物质毒性作用登记: TY3164000 模块12. 生态学资料 12.1 生态毒性 无数据资料 12.2 持久存留性和降解性 无数据资料 12.3 潜在的生物蓄积性 无数据资料 12.4 土壤中的迁移性 无数据资料 12.5 PBT 和 vPvB的结果评价 无数据资料 12.6 其它不利的影响 无数据资料 模块13. 废弃处置 13.1 废物处理方法 产品 将剩余的和未回收的溶液交给处理公司。 受污染的容器和包装 作为未用过的产品弃置。 模块14. 运输信息 14.1 联合国危险货物编号 欧洲陆运危规: -国际海运危规: -国际空运危规: - 14.2 联合国(UN)规定的名称 欧洲陆运危规: 非危险货物 国际海运危规: 非危险货物 国际空运危规: 非危险货物 14.3 运输危险类别 欧洲陆运危规: -国际海运危规: -国际空运危规: - 14.4 包裹组 欧洲陆运危规: -国际海运危规: -国际空运危规: - 14.5 环境危险 欧洲陆运危规: 否国际海运危规 海运污染物: 否国际空运危规: 否 14.6 对使用者的特别提醒 无数据资料 模块 15 - 法规信息 N/A 模块16 - 其他信息 N/A |
| 危害码 (欧洲) | T: Toxic; |
|---|---|
| 风险声明 (欧洲) | R20/21/22 |
| 安全声明 (欧洲) | 36/37/39-45-53 |
| 危险品运输编码 | NONH for all modes of transport |
| WGK德国 | 2 |
| RTECS号 | UB8070000 |
| 海关编码 | 2942000000 |

搜索









