氯沙坦钾
-
中文名氯沙坦钾
-
英文名Losartan potassium
-
中文别名2-丁基-4-氯-1-([2'-(1H-四唑-5)(1,1''-联苯)-4-基]甲基)-1H-咪唑-5-甲醇单钾盐 | 科素亚钾盐 | 氯沙坦钾盐 | 洛沙坦钾 | 2-丁基-4-氯-5-(羟甲基)-[[2'-(1H-四氮唑-5-基)联苯-4-基]甲基]咪唑钾
-
英文别名
MK 954 potassium salt {2-Butyl-5-chloro-3-[2'-(1H-tetrazol-5-yl)-biphenyl-4-ylmethyl]-3H-imidazol-4-yl}-methanol {2-BUTYL-5-CHLORO-3-[2'-(1H-TETRAZOL-5-YL)-BIPHENYL-4-YLMETHYL]-3H-IMIDAZOL-4-YL}-METHANOL POTASSIUM SALT 5-(4'-{[2-butyl-4-chloro-5-(hydroxyméthyl)-1H-imidazol-1-yl]méthyl}biphényl-2-yl)tétrazol-1-ide de potassium Lortaan Losartan potassium 2-BUTYL-4-CHLORO-1-[[2'-(1H-TETRAZOL-5-YL)[1,1'-BIPHENYL]-4-YL]METHYL]-1H-IMIDAZOLE-5-METHANOL MONOPOTASSIUM SALT Losaprex COZAAR Losartan potassium salt EINECS 200-287-4 Losartanpatassium mk-0954 Du Pont 753 Losartan (potassium salt) 1H-imidazole-5-methanol, 2-butyl-4-chloro-1-[[2'-(1H-tetrazol-5-yl)[1,1'-biphenyl]-4-yl]methyl]-, monopotassium salt Losartan Potassium (DuP 753) Potassium 5-(4'-{[2-butyl-4-chloro-5-(hydroxymethyl)-1H-imidazol-1-yl]methyl}biphenyl-2-yl)tetrazol-1-ide LOSARTAN, POTASSIUM SALT Potassium 5-(4'-{[2-butyl-4-chloro-5-(hydroxymethyl)-1H-imidazol-1-yl]methyl}-2-biphenylyl)tetrazol-1-ide Aradois Potassium (2-butyl-4-chloro-1-{[2'-(1H-tetrazol-5-yl)biphenyl-4-yl]methyl}-1H-imidazol-5-yl)methanolate thanolpotassium Potassium (2-butyl-4-chloro-1-{[2'-(1H-tetrazol-5-yl)-4-biphenylyl]methyl}-1H-imidazol-5-yl)methanolate LOSARTAN MONOPOTASSIUM SALT 1H-Imidazole-5-methanol, 2-butyl-4-chloro-1-[[2'-(1H-tetrazol-5-yl)[1,1'-biphenyl]-4-yl]methyl]-, potassium salt (1:1) LOSARTANPOTASSIUM Losartan (potassium) dupont753 MK-95 potassium (2-butyl-4-chloro-1-{[2'-(2H-tetrazol-5-yl)biphenyl-4-yl]methyl}-1H-imidazol-5-yl)methanolate LOSARTAN POTASSIUM, EP STAANDARD LOSARTAN POTASSIUM(SUBJECT TO PATENT FREE) DUP 753 MFCD02092704 -
常用名氯沙坦钾
-
C A S号124750-99-8
-
密度0.986 g/mL at 25 °C(lit.)
-
沸点134 °C(lit.)
-
熔点−69 °C(lit.)
-
化学式C22H22ClKN6O
-
结构式
1、摩尔折射率:无可用的
2、摩尔体积(cm3/mol):无可用的
3、等张比容(90.2K):无可用的
4、表面张力(dyne/cm):无可用的
5、介电常数:无可用的
6、极化率(10-24cm3):无可用的
7、单一同位素质量:460.118069 Da
8、标称质量:460 Da
9、平均质量:461.001 Da
-
闪点76 °F
-
分子量461.001
-
精确质量460.118073
-
P S A89.61000
-
外观形状白色至灰白色结晶粉末
-
储存条件Desiccate at RT
-
稳定性
-
水溶解性
-
形态亮黄色固体。
-
H L B值
-
粘度
-
PH值
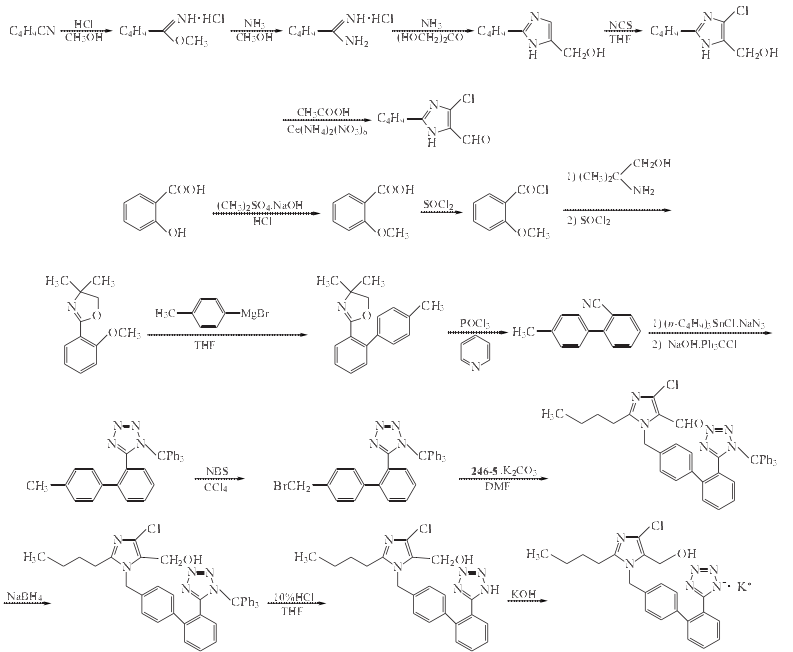
1. 戊脒盐酸盐的制备
在反应瓶中加入戊腈30g(0.361mol)和无水甲醇12g(0.375mol),搅拌溶解,在冰盐浴冷却下,通入干燥的HCl气体至增加质量18g,加盖瓶塞,侧瓶颈接无水CaCl2干燥管,放置5天,得白色结晶亚氨酯.将亚氨酯用无水甲醇溶解,加入用氨饱和的无水甲醇溶液(NH4浓度不低于9%),室温搅拌6h.抽滤,滤饼为生成的NH4Cl,弃去,滤液蒸除溶剂后得戊脒盐酸盐15g,收率30.4%(从戊腈计两步收率).该品冷却时结晶#常温时融化.戊脒盐酸盐冷却时结晶成苦味酸盐,在乙酸乙酯中重结晶#得黄色针状结晶,mp192~193ºC.
2. 2-丁基-5-羟甲基咪唑的制备
在反应瓶中加入戊脒盐酸盐5.2g(38mmol)和无水甲醇25ml,搅拌下通入NH3,使其反应液增重6g,加入二羟丙酮3.8g(42mmol)的无水甲醇20ml溶液.将其加进高压釜,室温搅拌1h.升温至40ºC,在该温度搅拌45min,升温至70ºC,在70ºC搅拌反应6h.冷却,减压蒸除溶剂,剩余物中加入适量乙腈,加热至沸,然后倾倒出乙腈溶液,重复操作几次,将残留的氯化铵弃去,合并乙腈溶液,浓缩至干,剩余物用乙酸乙酯溶解后,用硅胶柱色谱纯化,乙酸乙酯洗脱,目的物组分流出液经浓缩后,得黄色油状物,用乙酸乙酯/石油醚(bp60~90ºC)结晶,得2-丁基-5-羟甲基咪唑3.8g,为浅黄色固体,mp86~88 ºC,收率70%.
3. 2-丁基-4-氯-5-羟甲基咪唑的制备
在反应瓶中加入2-丁基-5-羟甲基咪唑1g(7mmol)、无水THF10ml,搅拌溶解#再加入N-氯代丁二酰亚胺(NCS)1g(7mmol),在40 ºC搅拌反应1h.蒸除溶剂#加入乙酸乙酯和水混合液(1:1,质量比),充分振摇,静置分层,分出乙酸乙酯层,无水NaSO4干燥,过滤,滤液减压蒸除溶剂,剩余物用石油醚(bp60~90)研磨,得白色固体2-丁基-4-氯-5-羟甲基咪唑0.7g,收率57%,mp138~140 ºC.
4. 2-丁基-4-氯-5-甲酰基咪唑的制备
在反应瓶中加入2-丁基-4-氯-5-羟甲基咪唑50g(265mmol)和冰乙酸150ml,搅拌溶解,于25º搅拌滴加1mol/L硝酸铈铵水溶液595ml(595mmol),滴加时控制反应液温度25~30ºC,滴毕,在25ºC搅拌反应3h.将反应混合物冷至0ºC,加入50%NaOH水溶液210ml,产生沉淀,调至Ph6,静置后过滤,干燥得2-丁基-4-氯-5-甲酰基咪唑38.1g,收率77%,mp92.5~93.5ºC.
5. 4,4-二甲基-2-(2-甲氧基苯基)恶唑啉的制备
在反应瓶中加入2-甲氧基苯甲酸(按文献[8~10]的方法制备)30g(0.20mol)和氯化亚砜50ml(81.9g,0.69mol),在20ºC搅拌反应18h.在真空下蒸除过量的氯化亚砜,粗品2-甲氧基苯甲酰氯,其真空蒸馏,集81~83ºC/93.33Pa馏分,2-甲氧基苯甲酰氯32g,收率95%,为无色液体,于下步反应.
在反应瓶中加入2-氨基-2-甲基-1-丙醇20g(0.224mol)和二氯甲烷100ml,搅拌下冷至0 ºC,滴加2-甲氧基苯甲酰氯17g(0.100mol)溶于二氯甲烷50ml的溶液,滴毕,升至20ºC搅拌反应2h.减压蒸除溶剂,剩余物加水稀释,析出固体,过滤,滤饼用水洗,干燥,得白色固体20.5g,该产品为粗制酰胺中间体.
在反应瓶加入上述酰胺中间体20.5g(0.092mol)和氯化亚砜22ml(36g,0.302mol),于25ºC搅拌反应1h.将反应液倒入乙醚中,析出的固体过滤收集,用乙醚洗涤,干燥.然后将其溶于水中,用1mol/LNaOH水溶液调至pH10, 用乙醚提取数次,合并有机相,无水Na2SO4干燥,过滤,滤液真空下浓缩,得4,4-二甲基-2-(2-甲氧基苯基)恶唑啉18.0g,收率88%[从2-甲氧基苯甲酰氯计]mp70~72ºC].
6. 4,4-二甲基-2-(4’-甲基联苯-2-基)恶唑啉的制备
在无水干燥反应瓶中加入无水THF200ml和镁屑2.50g(0.103mol),在N2保护下,于20ºC搅拌下滴加4-溴甲苯13ml(0.106mol) ,滴毕,搅拌反应直至镁屑全部溶解(约1h),得对甲苯基溴化镁溶液.
在反应瓶中加入4,4-二甲基-2-(2-甲氧基苯基)恶唑啉10.0g(48.7mmol)和无水THF100ml,搅拌溶解,于20ºC滴加上述对甲苯基溴化镁溶液,加毕,在20ºC搅拌反应2h.将反应混合物倒入饱和的NH4Cl水溶液中,形成的乳浊液用乙酸乙酯提取,有机相用无水Na2SO4干燥,过滤,滤液减压浓缩,得油状物粗品,经硅胶柱色谱纯化,用35%的乙酸乙酯/己烷洗脱,经后处理得4,4-二甲基-2-(4’-甲基联苯-2-基)恶唑啉11.8g,收率91%,为无色液体.
7. 2-氰基-4’-甲基联苯的制备
在反应瓶中加入4,4-二甲基-2-(4’-甲基联苯-2-基)恶唑啉243.2g(0.917mol)和吡啶975ml,于10ºC搅拌下滴入POCl3 172ml(1.84mol),在滴加过程中控制内温不超过15ºC.滴毕,升温至100ºC,在该温度搅拌反应3h.冷至室温,加水终止反应,得到的乳浊液用乙酸乙酯提取,有机相合并,用水洗,用10%CuSO4水溶液洗和用饱和食盐水洗,无水MgSO4干燥,过滤,滤液减压浓缩,剩余物用庚烷重结晶,得无色针状结晶2-氰基-4’-甲基联苯169.6g,收率96%,mp48.0~49.5ºC.
8. N-(三苯基甲基)-5-(4’-甲基联苯-2-基)-四氮唑的制备
在反应瓶中加入2-氰基-4’-甲基联苯9.0g(46.6mmol)、三丁基氯化锡16.4g(50.4mmol)、叠氮化钠30g(46.2mmol)和甲苯35ml,搅拌回流70h.加入甲苯30ml稀释,并冷至20ºC.再加入10mol/LNaOH水溶液5.5ml(55mmol)和三苯基氯甲烷13.5g(48.4mmol),在20ºC搅拌反应3h.向反应液加入蒸馏水35ml和庚烷70ml,冷至0ºC搅拌1.5h.将浆状物过滤,固体用水洗和庚烷/甲苯(1:1)洗涤,抽干,得粗制品N-(三苯基甲基)-5-(4’-甲基联苯-2-基)-四氮唑,将其溶于二氯甲烷,然后依次用0.4mol/L NaOH水溶液、水和饱和食盐水洗涤,无水Na2SO4干燥,过滤,滤液减压浓缩,得N-(三苯基甲基)-5-(4’-甲基联苯-2-基)-四氮唑15.1g,收率68%,mp163~166ºC.
9. N-(三苯基甲基)-5-[4’-(溴甲基)联苯-2-基]-四氮唑的制备
在反应瓶中加入N-(三苯基甲基)-5-(4’-甲基联苯-2-基)-四氮唑31.0g(65mmol)、N-溴代丁二酰亚胺(NBS)11.50g(65mmol)和四氯化碳390ml,搅拌回流3h.冷至40ºC,过滤,滤液真空浓缩回收溶剂,得到N-(三苯基甲基)-5-[4’-(溴甲基)联苯-2-基]-四氮唑粗品,粗品不需进一步纯化,可用于下步反应.将粗品加入二异丙醚捣碎研磨,得到N-(三苯基甲基)-5-[4’-(溴甲基)联苯-2-基]-四氮唑纯品33.10g,收率92%,为类白色固体,mp135~138 ºC.
10. 2-丁基-4-氯-5-甲酰基-1-[[[2’-(三苯甲基)四氮唑-5-基]联苯-4-基]甲基]咪唑的制备
在反应瓶中加入2-丁基-4-氯-5-甲酰基咪唑3.27g(17.5mmol)、N-(三苯基甲基)-5-[4’-(溴甲基)联苯-2-基]-四氮唑10.73g(19.3mmol)、K2CO3 4.83g(35mmol)和DMF100ml,在25 ºC搅拌反应24h.过滤,滤液减压浓缩,
剩余物加水稀释,用乙酸乙酯提取,合并有机相,用水洗)饱和盐水洗,无水MgSO4干燥,过滤,滤液浓缩,浓缩液经硅胶柱色谱纯化,用乙酸乙酯/甲苯洗脱,经后处理得2-丁基-4-氯-5-甲酰基-1-[[[2’-(三苯甲基)四氮唑-5-基]联苯-4-基]甲基]咪唑5.69g,收率49%.
11. 2-丁基-4-氯-5-(羟甲基)-1-[[2’-(三苯甲基)四氮唑-5-基]联苯-4-基]甲基]咪唑的制备
在反应瓶中加入2-丁基-4-氯-5-甲酰基咪唑3.57g(21mmol)、四丁基溴化磷0.71g(21mmol)、10mol/LNaOH水溶液4.2ml(42mmol)、水15ml和二氯甲烷70ml,搅拌下加入N-(三苯基甲基)-5-[4’-(溴甲基)联苯-2-基]-四氮唑11.65g(21mmol)溶于二氯甲烷100ml的溶液,于25ºC搅拌反应24h.向反应混合物加入硼氢化钠(NaBH4)0.79g(21mmol),再继续搅拌反应24h.加水200ml,静置分层,分出有机相,用水(200ml×2)洗,无水MgSO4干燥,过滤,滤液减压蒸除溶剂,得黄色玻璃状固体2-丁基-4-氯-5-(羟甲基)-1-[[2’-(三苯甲基)四氮唑-5-基]联苯-4-基]甲基]咪唑13.3g,用硝基甲烷重结晶,得2-丁基-4-氯-5-(羟甲基)-1-[[2’-(三苯甲基)四氮唑-5-基]联苯-4-基]甲基]咪唑精品类白色粉末7.52g,收率54%,mp167~169ºC.
12. 氯沙坦钾的合成
在反应瓶中加入化合物2-丁基-4-氯-5-(羟甲基)-1-[[2’-(三苯甲基)四氮唑-5-基]联苯-4-基]甲基]咪唑9.20g(13.8mmol)、10%盐酸100ml和THF200ml,于25ºC搅拌反应4h.加入过量的10%NaOH水溶液(约100ml)减压蒸除溶剂,剩余物用水溶解,过滤除去副产物三苯甲醇,滤液用盐酸调至Ph3,析出沉淀,过滤收集沉淀,得氯沙坦粗制品,重结晶后得氯沙坦氯沙坦钾5.18g,收率89%,mp183.5~184.5ºC.
|
氯沙坦钾
修改号码:5
模块1. 化学品 产品名称: Losartan Potassium 修改号码: 5 模块2. 危险性概述 GHS分类 物理性危害未分类
健康危害未分类 环境危害未分类 GHS标签元素 图标或危害标志无 信号词无信号词 危险描述无 防范说明无 模块3. 成分/组成信息 单一物质/混和物单一物质 化学名(中文名):氯沙坦钾 百分比: >98.0%(LC)(T) CAS编码: 124750-99-8 俗名: 2-Butyl-4-chloro-1-[[2'-(1H-tetrazol-5-yl)-1,1'-biphenyl-4- yl]methyl]imidazole-5-methanol Potassium Salt 分子式: C22H22ClKN6O 模块4. 急救措施 吸入: 将受害者移到新鲜空气处,保持呼吸通畅,休息。若感不适请求医/就诊。 皮肤接触: 立即去除/脱掉所有被污染的衣物。用水清洗皮肤/淋浴。 若皮肤刺激或发生皮疹:求医/就诊。 眼睛接触:用水小心清洗几分钟。如果方便,易操作,摘除隐形眼镜。继续清洗。 如果眼睛刺激:求医/就诊。 食入: 若感不适,求医/就诊。漱口。 紧急救助者的防护:救援者需要穿戴个人防护用品,比如橡胶手套和气密性护目镜。 模块5. 消防措施 合适的灭火剂:干粉,泡沫,雾状水,二氧化碳 氯沙坦钾 修改号码:5 模块5. 消防措施 特殊危险性:小心,燃烧或高温下可能分解产生毒烟。 特定方法:从上风处灭火,根据周围环境选择合适的灭火方法。 非相关人员应该撤离至安全地方。 周围一旦着火:如果安全,移去可移动容器。 消防员的特殊防护用具:灭火时,一定要穿戴个人防护用品。 模块6. 泄漏应急处理 个人防护措施,防护用具, 使用个人防护用品。远离溢出物/泄露处并处在上风处。 紧急措施:泄露区应该用安全带等圈起来,控制非相关人员进入。 环保措施:防止进入下水道。 控制和清洗的方法和材料:清扫收集粉尘,封入密闭容器。注意切勿分散。附着物或收集物应该立即根据合适的 法律法规处置。 模块7. 操作处置与储存 处理 技术措施:在通风良好处进行处理。穿戴合适的防护用具。防止粉尘扩散。处理后彻底清洗双手 和脸。 注意事项:如果粉尘或浮质产生,使用局部排气。 操作处置注意事项:避免接触皮肤、眼睛和衣物。 贮存 储存条件:保持容器密闭。存放于凉爽、阴暗处。 远离不相容的材料比如氧化剂存放。 包装材料:依据法律。 模块8. 接触控制和个体防护 工程控制:尽可能安装封闭体系或局部排风系统,操作人员切勿直接接触。同时安装淋浴器和洗 眼器。 个人防护用品 呼吸系统防护:防尘面具。依据当地和政府法规。 手部防护:防护手套。 眼睛防护:安全防护镜。如果情况需要,佩戴面具。 皮肤和身体防护:防护服。如果情况需要,穿戴防护靴。 模块9. 理化特性 固体 外形(20°C): 外观: 晶体-粉末 颜色: 白色-极淡的黄色 气味:无资料 pH:无数据资料 熔点:无资料 沸点/沸程无资料 闪点:无资料 爆炸特性 爆炸下限:无资料 爆炸上限:无资料 密度:无资料 溶解度: [水]无资料 [其他溶剂]无资料 氯沙坦钾 修改号码:5 模块10. 稳定性和反应性 化学稳定性:一般情况下稳定。 危险反应的可能性:未报道特殊反应性。 须避免接触的物质氧化剂 危险的分解产物: 一氧化碳, 二氧化碳, 氮氧化物 (NOx), 氯化氢 模块11. 毒理学信息 急性毒性: orl-rat LDLo:2 g/kg ipr-rat LDLo:200 mg/kg 对皮肤腐蚀或刺激:无资料 对眼睛严重损害或刺激:无资料 生殖细胞变异原性:无资料 致癌性: IARC =无资料 NTP =无资料 生殖毒性:无资料 RTECS 号码: NI6755100 模块12. 生态学信息 生态毒性: 鱼类:无资料 甲壳类:无资料 藻类:无资料 残留性 / 降解性:无资料 潜在生物累积 (BCF):无资料 土壤中移动性 log水分配系数:无资料 土壤吸收系数 (Koc):无资料 亨利定律无资料 constant(PaM3/mol): 模块13. 废弃处置 如果可能,回收处理。请咨询当地管理部门。建议在可燃溶剂中溶解混合,在装有后燃和洗涤装置的化学焚烧炉中 焚烧。废弃处置时请遵守国家、地区和当地的所有法规。 模块14. 运输信息 联合国分类:与联合国分类标准不一致 UN编号:未列明 模块15. 法规信息 《危险化学品安全管理条例》(2002年1月26日国务院发布,2011年2月16日修订): 针对危险化学品的安全使用、 生产、储存、运输、装卸等方面均作了相应的规定。 氯沙坦钾 修改号码:5 模块16 - 其他信息 N/A |
| 个人防护装备 | Eyeshields;Gloves;type N95 (US);type P1 (EN143) respirator filter |
|---|---|
| 危害码 (欧洲) | Xi: Irritant; |
| 风险声明 (欧洲) | R36/37/38 |
| 安全声明 (欧洲) | 26-36/37/39 |
| 危险品运输编码 | NONH for all modes of transport |
| RTECS号 | NI6755100 |
| 海关编码 | 2933290090 |

搜索







