对氯甲苯
用作染料中间体和溶剂,也用于有机合成
主要用于生产对氯次苄基三氟,也用于制造对氯苄基氯、对氯苯甲醛、对氯苯甲酰氯、对氯苯甲酸等,也用于医药
【用途三】
对氯甲苯是制造氰戊菊酯、多效唑、烯效唑和氟乐灵、禾草丹、杀草隆等农药的中间体;也可以制造对氯苯甲醛,用作染料和医药中间体;制造对氯苯甲酰氯,是医药消炎通的中间体;制造对氯苯甲酸,为染料和纺织整理剂的原料。
【用途四】
有机合成原料。合成医药、农药和染料的中间体,如合成乙胺嘧啶,芬那露的中间体,也用作溶剂。
【用途五】
溶剂。有机合成。 用于农药、医药、染料等,如作医药“消炎痛”的中间体,农药“氰戊菊酯”、“氟氯灵”、“杀草丹”等原料,也作橡胶、合成树脂的溶剂。
-
中文名对氯甲苯
-
英文名4-Chlorotoluene
-
中文别名1-氯-4-甲苯 | 4-氯-1-甲基苯 | 4-氯甲苯
-
英文别名
P-CHLOROTOLUENE 4-methyl-chlorobenzene 1-chloro-4-methylbenzeene 4-Chlorotoluene EINECS 203-397-0 1-Chloro-4-methyl-benzene 4-chloro-1-methyl-anthraquinone 1-chloro-4-methyl-9,10-dihydro-9,10-anthracenedione 4-Methylchlorobenzene 1-Methyl-4-chlor-anthrachinon 1-chloro-4-methyl-9,10-anthraquinone 4-Chlor-1-methyl-anthrachinon P-TOLYL CHLORIDE 9,1-chloro-4-methyl para-chlorotoluene toluene, 4-chloro- 9,10-Anthracenedione,1-chloro-4-methyl 1-Chloro-4-methylbenzene Benzene, 1-chloro-4-methyl- 1-chloro-4-methylanthraquinone 4-tolyl chloride MFCD00000631 -
常用名对氯甲苯
-
C A S号106-43-4
-
密度1.1±0.1 g/cm3
-
沸点158.5±9.0 °C at 760 mmHg
-
熔点6-8 °C(lit.)
-
化学式C7H7Cl
-
结构式
1、摩尔折射率:35.97
2、摩尔体积(cm3/mol):117.6
3、等张比容(90.2K):280.7
4、表面张力(dyne/cm):32.4
5、极化率:14.26
-
闪点49.4±0.0 °C
-
分子量126.584
-
精确质量126.023628
-
P S A
-
外观形状透明液体
-
储存条件
储存注意事项储存于阴凉、通风的库房。远离火种、热源。库温不宜超过37℃。保持容器密封。应与氧化剂分开存放,切忌混储。采用防爆型照明、通风设施。禁止使用易产生火花的机械设备和工具。储区应备有泄漏应急处理设备和合适的收容材料。
-
稳定性
-
水溶解性
-
形态
-
H L B值
-
粘度
-
PH值
用作染料中间体和溶剂,也用于有机合成
主要用于生产对氯次苄基三氟,也用于制造对氯苄基氯、对氯苯甲醛、对氯苯甲酰氯、对氯苯甲酸等,也用于医药
【用途三】
对氯甲苯是制造氰戊菊酯、多效唑、烯效唑和氟乐灵、禾草丹、杀草隆等农药的中间体;也可以制造对氯苯甲醛,用作染料和医药中间体;制造对氯苯甲酰氯,是医药消炎通的中间体;制造对氯苯甲酸,为染料和纺织整理剂的原料。
【用途四】
有机合成原料。合成医药、农药和染料的中间体,如合成乙胺嘧啶,芬那露的中间体,也用作溶剂。
【用途五】
溶剂。有机合成。 用于农药、医药、染料等,如作医药“消炎痛”的中间体,农药“氰戊菊酯”、“氟氯灵”、“杀草丹”等原料,也作橡胶、合成树脂的溶剂。
其制备方法有以下几种。
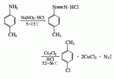
1.重氮化法
在反应釜中加入工业用盐酸和对甲基苯胺,釜内温度降至0℃,使对甲基苯胺生成盐酸盐,搅拌,加入亚硝酸钠溶液,使其发生重氮化反应,温度维持在0~5℃,时间约30min,重氮化反应完成后,将其加入到搅拌的氯化亚铜溶液中,逐渐升温到室温,在室温下搅拌2.5~3h,再加热到60℃,该反应物逐步分解成为氮气和对氯甲苯,然后用水蒸气蒸馏,收集对氯甲苯与水的混合液,进行分层,有机层用酸洗涤,再用水洗涤,干燥,进行蒸馏,收集158~162℃馏分为对氯甲苯,收率约70%~79%。
2.直接氯化法
经食盐干燥脱水的甲苯经计量槽计量后进入甲苯氯化反应器,计量后的氯气由反应器的底部通入,甲苯与氯气在一定温度下,以三氯化铁为催化剂进行苯环氯化,生成一氯甲苯氯化液,该氯化液用氮气赶去余气和氯化氢,再进行粗蒸,得到对氯甲苯和邻氯甲苯的混合物,其对、邻比随着催化剂和反应条件不同而不同,一般对、邻比为55∶45。
对氯甲苯和邻氯甲苯的分离可用精馏法、分子筛吸附法、精馏结晶联合法等。精馏结晶联合法,能耗较低,得到的对氯甲苯和邻氯甲苯含量均较高,如采用降膜冷冻结晶法,对氯甲苯的含量可达99%以上。
|
|||||||||||||||||||||||||||||||||||||||||||||||||||||||||||||||||||||||||||||||||||||||||||||||||||||||||||||||||||||||||||||||||||||||||||||||||||||||||||||||||||||||||||||||||||||||||||||||||||||||||||||||||||||||
对氯甲苯毒性和生态
|
对氯甲苯毒理学数据: 1、急性毒性:大鼠经口LD50:2100mg/kg;大鼠LD50:4mg/kg;小鼠经口LD50:1900mg/kg;小鼠经吸入LC50:34mg/m3/2H;小鼠LD50:4mg/kg;豚鼠LD50:3750mg/kg; 2、其他多剂量毒性:大鼠经口TDLo:182mg/kg/26W-I;大鼠经静脉TDLo:25200mg/kg/2W-I;大鼠经口TDLo:72mg/kg/90D-I; 3.急性毒性 LD50:3600mg/kg(大鼠经口) LC50:34000mg/m3(小鼠吸入,2h) 原料简介
应用范围
毒性和生态
安全信息
是否危险品
危险性
危险类别码
危险等级
触发危险方式
安全技术说明书
环境影响程度
包装与储运
相关供应商
|

搜索








