异恶草酮
-
中文名异噁草酮
-
英文名Clomazone
-
中文别名广灭灵:2-(2-氯苄基)-4,4-二甲基异恶唑-3-酮 | 异恶草松 | 异噁草松 | 广灭灵 | 异恶草酮 | 2-(2-氯苄基)-4,4-二甲基异恶唑-3-酮
-
英文别名
2-[(2-chlorophenyl)methyl]-4,4-dimethyl-1,2-oxazolidin-3-one gamit Dimethazon COMMAND,100MG,NEAT Clomazone MFCD00072457 2-(2-Chlorobenzyl)-4,4-dimethyl-1,2-oxazolidin-3-one Dimethazone fenoxan Command 2-(2-Chlorobenzyl)-4,4-dimethyl-3-isoxazolidinone 2-[(2-Chlorophenyl)methyl]-4,4-dimethyl-3-isoxazolidinone Clomazon 2-(2-chlorobenzyl)-4,4-dimethylisoxazolidin-3-one Isooxadiazon 3-Isoxazolidinone, 2-[(2-chlorophenyl)methyl]-4,4-dimethyl- Comazone -
常用名异恶草酮
-
C A S号81777-89-1
-
密度1.2±0.1 g/cm3
-
沸点317.6±44.0 °C at 760 mmHg
-
熔点25°C
-
化学式C12H14ClNO2
-
结构式
1、 摩尔折射率:62.52
2、 摩尔体积(cm3/mol):195.9
3、 等张比容(90.2K):499.7
4、 表面张力(dyne/cm):42.2
5、 极化率(10-24cm3):24.78
-
闪点145.9±28.4 °C
-
分子量239.698
-
精确质量239.071304
-
P S A29.54000
-
外观形状
-
储存条件
室温下贮存一年或热贮存3个月(50℃)原药无损失。
-
稳定性
-
水溶解性
-
形态
-
H L B值
-
粘度
-
PH值
制备方法一
3-乙酰氧基-2,2-二甲基丙酸的制备 以苯为溶剂,加入3-羟基-2,2-二甲基丙醛和醋酸,脱水酯化7h,蒸出苯及少量乙酸,再减压蒸馏得3-乙酰氧基-2,2-二甲基丙醛,产率83%。上述产品溶于丙酮中,通氧反应2h,蒸出丙酮,粗品用丙酮重结晶得3-乙酰氧基-2,2-二甲基丙酸,m.p.60~61℃(文献值61℃),产率75%。
3-溴-2,2-二甲基丙酰氯的制备 将上步产物加适量氢溴酸,加热回流10h,用石油醚萃取,蒸出石油醚,得3-溴-2,2-二甲基丙酸。m.p.48℃,收率80%。再与氯化亚砜作用得3-溴-2,2-二甲基丙酰氯,收率98%。
N-羟基-3-溴-2,2-二甲基丙酰羟胺的制备 把羟胺盐酸溶于水中,滴加NaOH,滴加3-溴-2,2-二甲基丙酰氯。搅拌反应16h,经过滤、水洗、干燥等后处理,得N-羟基-3-溴-2,2-二甲基丙酰羟胺。m.p.153~155℃,收率60%。
4,4-二甲基-3-异噁唑酮的制备 将N-羟基-3-溴-2,2-二甲基丙酰羟胺溶于甲醇中,滴加氢氧化钠甲醇溶液,搅拌过滤,加水稀释,用二氯甲烷萃取,蒸出萃取剂得4,4-二甲基-3-异噁唑酮,收率75%,m.p.64~67℃。
异噁草酮的合成 将等摩尔的4,4-二甲基-3-异噁唑酮与邻氯氯苄反应,以二甲基甲酰胺为溶剂,K2CO3为缚酸剂,在室温下搅拌反应18h,减压蒸去溶剂,用二氯甲烷萃取,蒸去萃取剂,得油状产物异噁草酮,收率40%。
制备方法二
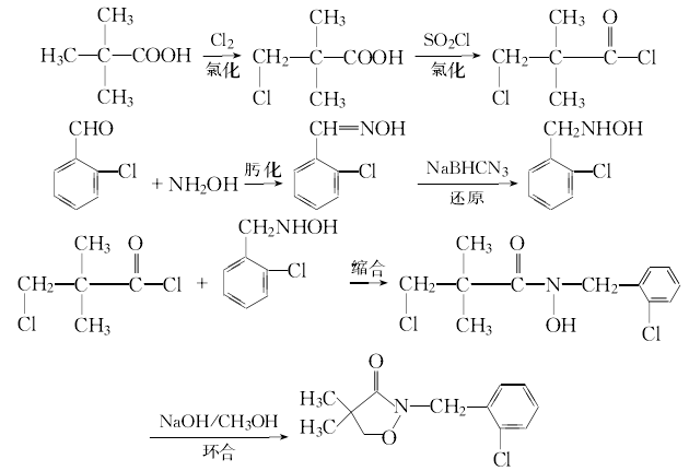
以三甲基乙酸为起始原料,经氯化、氯化、肟化、还原、缩合、环化等六步合成。
|
1.1 产品标识符
: 异恶草酮 产品名称 1.2 鉴别的其他方法 无数据资料 1.3 有关的确定了的物质或混合物的用途和建议不适合的用途 仅供科研用途,不作为药物、家庭备用药或其它用途。
模块2. 危险性概述 2.1 GHS分类 急性毒性, 经口 (类别4) 急性毒性, 吸入 (类别3) 急性毒性, 经皮 (类别5) 皮肤刺激 (类别2) 眼刺激 (类别2A) 急性水生毒性 (类别2) 2.2 GHS 标记要素,包括预防性的陈述 象形图 警示词危险 危险申明 H302吞咽有害。 H313接触皮肤可能有害。 H315造成皮肤刺激。 H319造成严重眼刺激。 H331吸入会中毒。 H401对水生生物有毒。 警告申明 预防 P261避免吸入粉尘/烟/气体/烟雾/蒸气/喷雾. P264操作后彻底清洁皮肤。 P270使用本产品时不要进食、饮水或吸烟。 P271只能在室外或通风良好之处使用。 P273避免释放到环境中。 P280穿戴防护手套/ 眼保护罩/ 面部保护罩。 措施 P302 + P352如与皮肤接触,用大量肥皂和水冲洗受感染部位. P304 + P340如吸入,将患者移至新鲜空气处并保持呼吸顺畅的姿势休息. P305 + P351 + P338如与眼睛接触,用水缓慢温和地冲洗几分钟。如戴隐形眼镜并可方便地取 出,取出隐形眼镜,然后继续冲洗. P311呼救解毒中心或医生。 P321具体治疗(见本标签上提供的急救指导)。 P330漱口。 P332 + P313如发生皮肤刺激:求医/ 就诊。 P337 + P313如仍觉眼睛刺激:求医/就诊。 如仍觉眼睛刺激:求医/就诊. P362脱掉沾染的衣服,清洗后方可重新使用。 储存 P403 + P233存放于通风良的地方。 保持容器密闭。 P405存放处须加锁。 处理 P501将内容物/ 容器处理到得到批准的废物处理厂。 当心 - 物质尚未完全测试。 2.3 其它危害物 - 无 模块3. 成分/组成信息 3.1 物 质 : C12H14ClNO2 分子式 : 239.7 g/mol 分子量 组分浓度或浓度范围 Clomazone - CAS 号81777-89-1 模块4. 急救措施 4.1 必要的急救措施描述 一般的建议 请教医生。 出示此安全技术说明书给到现场的医生看。 吸入 如果吸入,请将患者移到新鲜空气处。 如果停止了呼吸,给于人工呼吸。 请教医生。 皮肤接触 用肥皂和大量的水冲洗。 立即将患者送往医院。 请教医生。 眼睛接触 用大量水彻底冲洗至少15分钟并请教医生。 食入 切勿给失去知觉者从嘴里喂食任何东西。 用水漱口。 请教医生。 4.2 主要症状和影响,急性和迟发效应 4.3 及时的医疗处理和所需的特殊处理的说明和指示 无数据资料 模块5. 消防措施 5.1 灭火介质 灭火方法及灭火剂 用水雾,耐醇泡沫,干粉或二氧化碳灭火。 5.2 源于此物质或混合物的特别的危害 碳氧化物, 氮氧化物, 氯化氢气体 碳氧化物, 氮氧化物, 氯化氢气体 5.3 给消防员的建议 如必要的话,戴自给式呼吸器去救火。 5.4 进一步信息 无数据资料 模块6. 泄露应急处理 6.1 人员的预防,防护设备和紧急处理程序 戴呼吸罩。 防止吸入蒸汽、气雾或气体。 保证充分的通风。 将人员撤离到安全区域。 6.2 环境保护措施 在确保安全的前提下,采取措施防止进一步的泄漏或溢出。 不要让产物进入下水道。 防止排放到周围环境中。 6.3 抑制和清除溢出物的方法和材料 用惰性吸附材料吸收并当作危险废品处理。 存放进适当的闭口容器中待处理。 6.4 参考其他部分 丢弃处理请参阅第13节。 模块7. 操作处置与储存 7.1 安全操作的注意事项 避免接触皮肤和眼睛。 防止吸入蒸汽和烟雾。 一般性的防火保护措施。 7.2 安全储存的条件,包括任何不兼容性 贮存在阴凉处。 容器保持紧闭,储存在干燥通风处。 打开了的容器必须仔细重新封口并保持竖放位置以防止泄漏。 7.3 特定用途 无数据资料 模块8. 接触控制和个体防护 8.1 容许浓度 最高容许浓度 没有已知的国家规定的暴露极限。 8.2 暴露控制 适当的技术控制 避免与皮肤、眼睛和衣服接触。 休息以前和操作过此产品之后立即洗手。 个体防护设备 眼/面保护 面罩與安全眼鏡请使用经官方标准如NIOSH (美国) 或 EN 166(欧盟) 检测与批准的设备防护眼部。 皮肤保护 戴手套取 手套在使用前必须受检查。 请使用合适的方法脱除手套(不要接触手套外部表面),避免任何皮肤部位接触此产品. 使用后请将被污染过的手套根据相关法律法规和有效的实验室规章程序谨慎处理. 请清洗并吹干双手 所选择的保护手套必须符合EU的89/686/EEC规定和从它衍生出来的EN 376标准。 身体保护 全套防化学试剂工作服, 防护设备的类型必须根据特定工作场所中的危险物的浓度和含量来选择。 呼吸系统防护 如危险性评测显示需要使用空气净化的防毒面具,请使用全面罩式多功能防毒面具(US)或ABEK型 (EN 14387)防毒面具筒作为工程控制的候补。如果防毒面具是保护的唯一方式,则使用全面罩式送风防 毒面具。 呼吸器使用经过测试并通过政府标准如NIOSH(US)或CEN(EU)的呼吸器和零件。 模块9. 理化特性 9.1 基本的理化特性的信息 a) 外观与性状 形状: 液体 颜色: 无色 b) 气味 无数据资料 c) 气味阈值 无数据资料 d) pH值 无数据资料 e) 熔点/凝固点 无数据资料 f) 起始沸点和沸程 275 °C 在 1,013 hPa g) 闪点 157 °C h) 蒸发速率 无数据资料 i) 易燃性(固体,气体) 无数据资料 j) 高的/低的燃烧性或爆炸性限度 无数据资料 k) 蒸汽压 < 0.001 hPa 在 25 °C l) 蒸汽密度 无数据资料 m) 相对密度 1.192 g/cm3 在 20 °C n) 水溶性 不溶 o) n-辛醇/水分配系数 辛醇--水的分配系数的对数值: 2.54 p) 自燃温度 无数据资料 q) 分解温度 无数据资料 r) 粘度 无数据资料 模块10. 稳定性和反应活性 10.1 反应性 无数据资料 10.2 稳定性 无数据资料 10.3 危险反应的可能性 无数据资料 10.4 应避免的条件 无数据资料 10.5 不兼容的材料 强氧化剂 10.6 危险的分解产物 其它分解产物 - 无数据资料 模块11. 毒理学资料 11.1 毒理学影响的信息 急性毒性 半数致死剂量 (LD50) 经口 - 大鼠 - 1,369 mg/kg 半数致死浓度(LC50) 吸入 - 大鼠 - 4 h - 4,800 mg/m3 半数致死剂量 (LD50) 经皮 - 兔子 - > 2,000 mg/kg 皮肤刺激或腐蚀 皮肤 - 兔子 - 皮肤刺激 眼睛刺激或腐蚀 眼睛 - 兔子 - 中度的眼睛刺激 呼吸道或皮肤过敏 无数据资料 生殖细胞突变性 无数据资料 致癌性 IARC: 此产品中没有大于或等于 0。1%含量的组分被 IARC鉴别为可能的或肯定的人类致癌物。 生殖毒性 无数据资料 特异性靶器官系统毒性(一次接触) 无数据资料 特异性靶器官系统毒性(反复接触) 无数据资料 吸入危险 无数据资料 潜在的健康影响 吸入吸入会中毒。 引起呼吸道刺激。 摄入误吞对人体有害。 皮肤如果通过皮肤吸收可能是有害的。 造成皮肤刺激。 眼睛造成严重眼刺激。 附加说明 化学物质毒性作用登记: NY2977000 模块12. 生态学资料 12.1 生态毒性 对鱼类的毒性半数致死浓度(LC50) - Oncorhynchus mykiss (红鳟) - 19 mg/l - 96 h 对水蚤和其他水生无脊半致死有效浓度(EC50) - Daphnia magna (大型蚤) - 5.2 mg/l - 48 h 椎动物的毒性 对藻类的毒性半致死有效浓度(EC50) - Pseudokirchneriella subcapitata (绿藻) - 3.5 mg/l - 5d 12.2 持久存留性和降解性 无数据资料 12.3 潜在的生物蓄积性 无数据资料 12.4 土壤中的迁移性 无数据资料 12.5 PBT 和 vPvB的结果评价 无数据资料 12.6 其它不利的影响 对水生生物有毒。 避免释放到环境中。 无数据资料 模块13. 废弃处置 13.1 废物处理方法 产品 将剩余的和未回收的溶液交给处理公司。 联系专业的拥有废弃物处理执照的机构来处理此物质。 受污染的容器和包装 作为未用过的产品弃置。 模块14. 运输信息 14.1 联合国危险货物编号 欧洲陆运危规: -国际海运危规: -国际空运危规: - 14.2 联合国(UN)规定的名称 欧洲陆运危规: 非危险货物 国际海运危规: 非危险货物 国际空运危规: 非危险货物 14.3 运输危险类别 欧洲陆运危规: -国际海运危规: -国际空运危规: - 14.4 包裹组 欧洲陆运危规: -国际海运危规: -国际空运危规: - 14.5 环境危险 欧洲陆运危规: 否国际海运危规 海运污染物: 否国际空运危规: 否 14.6 对使用者的特别提醒 无数据资料 模块16. 其他信息 进一步信息 版权所有:2012 Co. LLC. 公司。许可无限制纸张拷贝,仅限于内部使用。 上述信息视为正确,但不包含所有的信息,仅作为指引使用。本文件中的信息是基于我们目前所知,就正 确的安全提示来说适用于本品。该信息不代表对此产品性质的保证。 参见发票或包装条的反面。 模块 15 - 法规信息 N/A |
| 符号 |
GHS07 |
|---|---|
| 信号词 | Warning |
| 危害声明 | H302 + H332-H315-H319 |
| 警示性声明 | P261-P301 + P312 + P330-P305 + P351 + P338 |
| 个人防护装备 | Eyeshields;Faceshields;full-face respirator (US);Gloves;multi-purpose combination respirator cartridge (US);type ABEK (EN14387) respirator filter |
| 危害码 (欧洲) | Xn |
| 风险声明 (欧洲) | R20/22 |
| 安全声明 (欧洲) | S26-S36 |
| 危险品运输编码 | 2902 |
| RTECS号 | NY2977000 |
| 包装等级 | III |
| 危险类别 | 6.1(b) |
| 海关编码 | 2934999027 |

搜索






