4,4'-二氨基二苯砜
Dapsone可抗多种细菌,主要用于抗麻风分枝杆菌。
产品名称
-
中文名4,4'-二氨基二苯砜
-
英文名4,4'-Diaminodiphenylsulfone
-
中文别名氨苯砜 | 4,4'-磺酰基二苯胺 | 4,4-二氨基二苯砜(DDS) | 4,4’-二氨基苯砜 | 4-氨基苯砜 | 双(4-氨基苯基)砜 | 4-氨基苯基砜 | 对氨基双苯砜 | 4,4-二氨基苯砜
-
英文别名
Aradur 976-1 Seikacure S 4,4'-Sulfonylbisbenzeneamine Dapsone (USP) Dapsone 1,1'-Sulfonylbis[4-aminobenzene] ACZONE 4-(4-aminophenyl)sulfonylaniline EINECS 201-248-4 4,4'-Sulfonyldianiline Diaphenylsulfone (JAN) MFCD00007887 4,4'-Diaminodiphenylsulfone Benzenamine, 4,4'-sulfonylbis- ZR DSWR DZ 4-Aminophenylsulfone Bis(p-aminophenyl)sulfone -
常用名4,4'-二氨基二苯砜
-
C A S号80-08-0
物理性质
-
密度1.4±0.1 g/cm3
-
沸点511.7±35.0 °C at 760 mmHg
-
熔点175-177 °C(lit.)
-
化学式C12H12N2O2S
-
结构式
1、 摩尔折射率:67.51
2、 摩尔体积(cm3/mol):182.3
3、 等张比容(90.2K):513.0
4、 表面张力(dyne/cm):62.6
5、 极化率(10-24cm3):26.76
-
闪点263.2±25.9 °C
-
分子量248.301
-
精确质量248.061951
-
P S A94.56000
-
外观形状白色结晶粉末
-
储存条件
本品应密封避光保存。应储存在阴凉,干燥的地方。在不使用时保持密封。
-
稳定性
-
水溶解性
-
形态白色或浅黄色结晶性粉末。无臭。味微苦。
-
H L B值
-
粘度
-
PH值
作用/用途
Dapsone可抗多种细菌,主要用于抗麻风分枝杆菌。
制备方法
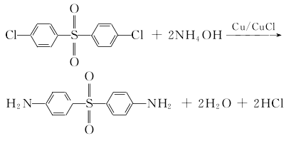
将4,4'-二氯二苯砜、酮粉,氯化亚酮及氨水加入高压釜,搅拌下加热,于170~202℃及3MPa压力下,反应14h,然后降温至60℃,经过滤、水洗、干燥得粗产品4,4'-二氨基二苯砜。根据产品的用途,对粗产品进行精制。例如可将粗产品溶解于10%的盐酸中,加活性炭脱色,过滤,冷却至10℃以下,用碳酸钠溶液调节pH值至2~2.5,离心过滤,再水洗至中性,经干燥即得成品。收率78%以上。
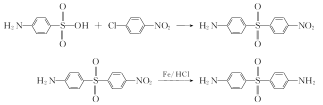
(1)以对硝基氯苯、对氨基苯磺酸为原料
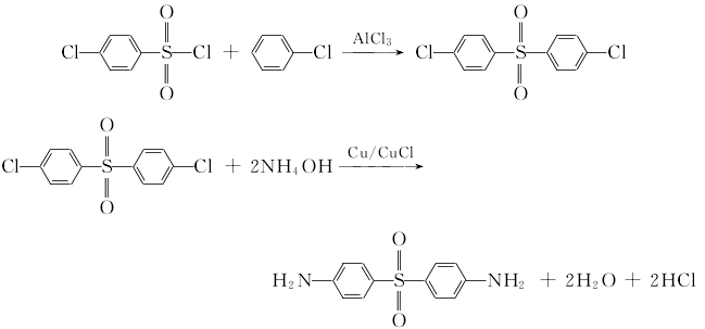
(3)以对氯苯磺酰氯和氯苯为原料
安全提醒
MSDS
|
||||||||||||||||||||||||||||||||||||||||||||||||||||||||||||||||||||||||||||||||||||||||||||||||||||||||||||||||||||||||||||||||||||||||||||||||||||||||||||||||||||||||||||||||||||||||||||||||||||||||||||||||||||||||||||||||||||||||||||||||||||||||||
原料简介
应用范围
毒性和生态
安全信息
| 符号 |
GHS07 |
|---|---|
| 信号词 | Warning |
| 危害声明 | H302 |
| 警示性声明 | P301 + P312 + P330 |
| 个人防护装备 | dust mask type N95 (US);Eyeshields;Gloves |
| 危害码 (欧洲) | Xn:Harmful |
| 风险声明 (欧洲) | R22 |
| 安全声明 (欧洲) | S22 |
| 危险品运输编码 | 3249 |
| WGK德国 | 1 |
| RTECS号 | BY8925000 |
| 包装等级 | III |
| 危险类别 | 6.1(b) |
| 海关编码 | 29309070 |
是否危险品
危险性
危险类别码
危险等级
触发危险方式
安全技术说明书
环境影响程度
包装与储运
相关供应商

搜索










