头孢地尼
Cefdinir(Omnicef)是半合成广谱抗菌剂。
产品名称
-
中文名头孢地尼
-
英文名Cefdinir
-
中文别名[6R-[6Α,7Β(Z)]]-7-[[(2-氨基-4-噻唑基)(羟基亚氨)乙酰基]氨基]-3-乙烯基-8-氧代-5-硫杂-1-氮杂二环[4.2.0]-2-辛烯-2-羧酸 | (6R,7R)-7-[(Z)-2-(2-氨基-4-噻唑基)-2-羟基亚胺基乙酰氨基]-8-氧代-3-乙烯基-5-硫杂-1-氮杂双环[4.2.0]辛-2-烯-2-羧酸
-
英文别名
(6R,7R)-7-{[(2Z)-2-(2-amino-1,3-thiazol-4-yl)-2-(hydroxyimino)acetyl]amino}-3-ethenyl-8-oxo-5-thia-1-azabicyclo[4.2.0]oct-2-ene-2-carboxylic acid Omnicef 5-Thia-1-azabicyclo[4.2.0]oct-2-ene-2-carboxylic acid, 7-[[(2Z)-2-(2-amino-4-thiazolyl)-2-(hydroxyimino)-1-oxoethyl]amino]-3-ethenyl-8-oxo-, (6R,7R)- Cefzon (6R,7R)-7-{[(2E)-2-(2-Amino-1,3-thiazol-4-yl)-2-(hydroxyimino)acetyl]amino}-8-oxo-3-vinyl-5-thia-1-azabicyclo[4.2.0]oct-2-ene-2-carboxylic acid Novacef Cefdinir FK-482 5-Thia-1-azabicyclo[4.2.0]oct-2-ene-2-carboxylic acid, 7-[[(2E)-2-(2-amino-4-thiazolyl)-2-(hydroxyimino)-1-oxoethyl]amino]-3-ethenyl-8-oxo-, (6R,7R)- cefdinyl CFDN CI 983 MFCD00865030 [6R-[6a,7b(Z)]]-7-[[(2-Amino-4-thiazolyl)(hydroxyimino)acetyl]amino]-3-ethenyl-8-oxo-5-thia-1-azabicyclo[4.2.0]oct-2-ene-2-carboxylic acid (6R,7R)-7-{[(2E)-2-(2-amino-1,3-thiazol-4-yl)-2-(hydroxyimino)acetyl]amino}-3-ethenyl-8-oxo-5-thia-1-azabicyclo[4.2.0]oct-2-ene-2-carboxylic acid (6R,7R)-7-{[(2Z)-2-(2-Amino-1,3-thiazol-4-yl)-2-(hydroxyimino)acetyl]amino}-8-oxo-3-vinyl-5-thia-1-azabicyclo[4.2.0]oct-2-ene-2-carboxylic acid Omicef Omnice -
常用名头孢地尼
-
C A S号91832-40-5
物理性质
-
密度1.9±0.1 g/cm3
-
沸点N/A
-
熔点>180°C dec.
-
化学式C14H13N5O5S2
-
结构式
1、 摩尔折射率:90.94
2、 摩尔体积(cm3/mol):210.2
3、 等张比容(90.2K):640.0
4、 表面张力(dyne/cm):85.8
5、 极化率(10-24cm3):36.05
-
闪点N/A
-
分子量395.414
-
精确质量395.035797
-
P S A211.75000
-
外观形状白色粉末
-
储存条件Room temp
-
稳定性
-
水溶解性
-
形态
-
H L B值
-
粘度
-
PH值
作用/用途
Cefdinir(Omnicef)是半合成广谱抗菌剂。
制备方法
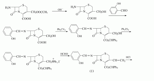
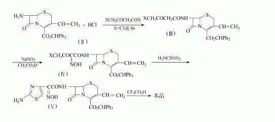
以7-ACA为原料,对7位氨基和2位羧基保护后,再与三苯基磷反应得磷化物,它在碱性条件下与甲醛进行Wittig反应得3位的乙烯基衍生物(I)。用盐酸处理使7位的氨基游离而得化合物(Ⅱ)。在N-三甲基硅基乙酰胺存在下,化合物(Ⅱ)和4-溴乙酰乙酰溴在乙酸乙酯中,于-10℃下反应1h,得酰化产物(Ⅲ),收率88%。化合物(Ⅲ)在二氯甲烷和乙酸中,用亚硝酸钠水溶液在-5℃亚硝化30min,再加入尿素破坏过量的亚硝酸钠,得到定量收率的羟胺化合物(Ⅳ)。化合物(Ⅳ)在N,N-二甲基乙酰胺中,和硫脲于5℃反应1h,环合得到化合物(V)。粗品化合物(V)在苯甲醚中,和三氟乙酸在5℃下反应1h,然后用水重结晶,即得头孢地尼.
安全提醒
MSDS
原料简介
应用范围
毒性和生态
安全信息
| 危险品运输编码 | NONH for all modes of transport |
|---|---|
| RTECS号 | XI0367250 |
| 海关编码 | 2941905990 |
是否危险品
危险性
危险类别码
危险等级
触发危险方式
安全技术说明书
环境影响程度
包装与储运
相关供应商

搜索








