加巴喷丁
-
中文名加巴喷丁盐酸盐
-
英文名Gabapentin
-
中文别名1-(氨甲基)环己烷乙酸 | 1-(氨甲基)环己烷乙酸 | 加巴 | 1-(甲氨基)环己烷乙酸 | 加巴喷丁GABA | 盐酸加巴喷丁 | 加巴喷丁 | 1-(氨甲基)环己烷乙酸盐酸盐
-
英文别名
Gabapetin Neurontin 1-(Aminomethyl)-cyclohexaneacetic acid 2-[1-(aminomethyl)cyclohexyl]acetic acid Cyclohexaneacetic acid, 1-(aminomethyl)- GABAPENTINE GABAPENTIN Gabapentin hydrochloride 2-[(aminomethyl)cyclohexyl]acetic acid 1-(aminomethyl)cyclohexaneacetic acid MFCD00865286 2-(1-(aminomethyl)cyclohexyl)acetic acid EINECS 262-076-3 Gababentin [1-(Aminomethyl)cyclohexyl]acetic acid Gabapentin HCl -
常用名加巴喷丁
-
C A S号60142-96-3
-
密度1.1±0.1 g/cm3
-
沸点314.4±15.0 °C at 760 mmHg
-
熔点162°C
-
化学式C9H17NO2
-
结构式
1、 摩尔折射率:46.69
2、 摩尔体积(cm3/mol):161.8
3、 等张比容(90.2K):423.9
4、 表面张力(dyne/cm):47.0
5、 极化率(10-24cm3):18.51
-
闪点144.0±20.4 °C
-
分子量171.237
-
精确质量171.125931
-
P S A63.32000
-
外观形状白色至灰白色结晶粉末
-
储存条件
在密封的贮藏器内,放置阴凉,燥的地方保存
-
稳定性
-
水溶解性
-
形态类白色粉末
-
H L B值
-
粘度
-
PH值
1,-环己烷-7,酸单甲酯(I)和溶于含三乙胺的丙酮中的氯甲酸乙酯及溶于水的叠氮钠反应,成的产物(Ⅱ)在20%盐酸中回流3h,到加巴喷丁.
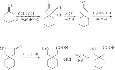
1. 1,1-二氯螺[3.5]-2-壬酮的制备
在反应瓶中加入亚甲基环己烷9.6g(100mmol)、锌粉7.68g(120mmol)和无水乙醚400ml,在剧烈搅拌下慢慢滴加三氯乙酰氯22g(120mmol)的无水乙醚100ml溶液,加毕,连续剧烈搅拌3h.反应过程温度由20ºC逐渐升至40ºC.滤除过量的锌粉,滤液依次用饱和氯化铵溶液、碳酸氢钠溶液、食盐水洗涤,有机相用无水MgSO4干燥,过滤,滤液蒸除乙醚,得浅黄色液体1,1-二氯螺[3.5]-2-壬酮19.4g,收率94%.
2. 螺[3.5]-2-壬酮的制备
在反应瓶中加入1,1-二氯螺[3.5]-2-壬酮9.7g(46.75mmol)、锌粉9.6g(150mmol)和冰醋酸100ml,搅拌混合,于室温下搅拌反应10h(HTLC跟踪确认反应完全).将反应液抽滤#滤液用250ml水稀释后,用正己烷(100ml×3)提取,分相,有机相合并后依次用NaHCO3溶液、饱和食盐水洗涤,无水MgSO4干燥,过滤,滤液蒸除溶剂,得浅黄色油状物螺[3.5]-2-壬酮6g,收率92%.
3. 2-氮杂-螺[4.5]-3-癸酮的制备
在反应瓶中加入螺[3.5]-2-壬酮3.83g(25mmol)和甲酸50ml,保持室温条件#搅拌下慢慢加入羟胺-O-磺酸5g(37.5mmol), 搅拌至透明后#搅拌回流4.5h.TLC跟踪确认反应完全后#将反应液冷至室温#倒入饱和NaHCO3溶液250ml中#用氯仿(75ml×3) 提取#有机相用饱和食盐水洗涤#无水MgSO4干燥$过滤#滤液蒸除溶剂#得黄色油状物#再经硅胶柱色谱[洗脱剂:正己烷/乙酸乙酯,体积比(1:4)~(2:1)] 纯化#得浅黄色固体2-氮杂-螺[4.5]-3-癸酮2g,收率52%,mp86.3~87.8 ºC(文献[7]报道mp88~89 ºC).
4. 加巴喷丁盐酸盐的制备
在反应瓶中加入2-氮杂-螺[4.5]-3-癸酮1.53g(10mmol)和6mol/L盐酸100ml,搅拌回流9h.减压蒸除溶剂,得白色固体,用异丙醇洗涤,抽干,干燥得白色固体2-氮杂-螺[4.5]-3-癸酮1.73g,收率83%.所得异丙醇溶液蒸干,用乙酸乙酯2339&溶解,水100ml洗两次,无水MgSO4干燥,过滤#滤液蒸干回收中间体150mg,其收率10%,mp123.6~124.8 ºC.
5. 加巴喷丁的合成
在反应瓶中将加巴喷丁盐酸盐加入,加水搅拌加热溶解并用Na2CO3调pH至7.4~75左右,减压浓缩至少量白色固体出现,冷却,置于冰箱析晶,过滤干燥则得加巴喷丁,收率90%左右,母液可以套用.用乙醇/乙醚重结晶mp162~166 ºC.
|
1.1 产品标识符
: Gabapentin 产品名称 1.2 鉴别的其他方法 无数据资料 1.3 有关的确定了的物质或混合物的用途和建议不适合的用途 仅供科研用途,不作为药物、家庭备用药或其它用途。
模块2. 危险性概述 2.1 GHS分类 皮肤刺激 (类别2) 眼刺激 (类别2A) 致畸性 (类别1B) 特异性靶器官系统毒性(一次接触) (类别3) 2.2 GHS 标记要素,包括预防性的陈述 象形图 警示词危险 危险申明 H315造成皮肤刺激。 H319造成严重眼刺激。 H335可能引起呼吸道刺激。 H360可能对生育能力或胎儿造成伤害。 警告申明 预防 P201在使用前获取特别指示。 P202在读懂所有安全防范措施之前切勿操作。 P261避免吸入粉尘/烟/气体/烟雾/蒸气/喷雾. P264操作后彻底清洁皮肤。 P271只能在室外或通风良好之处使用。 P280穿戴防护手套/ 眼保护罩/ 面部保护罩。 措施 P302 + P352如与皮肤接触,用大量肥皂和水冲洗受感染部位. P304 + P340如吸入,将患者移至新鲜空气处并保持呼吸顺畅的姿势休息. P305 + P351 + P338如与眼睛接触,用水缓慢温和地冲洗几分钟。如戴隐形眼镜并可方便地取 出,取出隐形眼镜,然后继续冲洗. P308 + P313如接触到或有疑虑:求医/ 就诊。 P321具体治疗(见本标签上提供的急救指导)。 P332 + P313如发生皮肤刺激:求医/ 就诊。 P337 + P313如仍觉眼睛刺激:求医/就诊。 如仍觉眼睛刺激:求医/就诊. P362脱掉沾染的衣服,清洗后方可重新使用。 储存 P403 + P233存放于通风良的地方。 保持容器密闭。 P405存放处须加锁。 处理 P501将内容物/ 容器处理到得到批准的废物处理厂。 只限于专业使用者。 2.3 其它危害物 - 无 模块3. 成分/组成信息 3.1 物 质 : C9H17NO2 分子式 : 171.24 g/mol 分子量 组分浓度或浓度范围 Gabapentin - CAS 号60142-96-3 EC-编号262-076-3 模块4. 急救措施 4.1 必要的急救措施描述 一般的建议 请教医生。 出示此安全技术说明书给到现场的医生看。 吸入 如果吸入,请将患者移到新鲜空气处。 如果停止了呼吸,给于人工呼吸。 请教医生。 皮肤接触 用肥皂和大量的水冲洗。 请教医生。 眼睛接触 用大量水彻底冲洗至少15分钟并请教医生。 食入 切勿给失去知觉者从嘴里喂食任何东西。 用水漱口。 请教医生。 4.2 主要症状和影响,急性和迟发效应 中枢神经系统机能降低, 恶心, 头晕, 头痛 4.3 及时的医疗处理和所需的特殊处理的说明和指示 无数据资料 模块5. 消防措施 5.1 灭火介质 灭火方法及灭火剂 用水雾,耐醇泡沫,干粉或二氧化碳灭火。 5.2 源于此物质或混合物的特别的危害 碳氧化物, 氮氧化物 5.3 给消防员的建议 如必要的话,戴自给式呼吸器去救火。 5.4 进一步信息 无数据资料 模块6. 泄露应急处理 6.1 人员的预防,防护设备和紧急处理程序 使用个人防护设备。 防止粉尘的生成。 防止吸入蒸汽、气雾或气体。 保证充分的通风。 将人员撤离到安全区域。 避免吸入粉尘。 6.2 环境保护措施 在确保安全的前提下,采取措施防止进一步的泄漏或溢出。 不要让产物进入下水道。 6.3 抑制和清除溢出物的方法和材料 收集、处理泄漏物,不要产生灰尘。 扫掉和铲掉。 存放进适当的闭口容器中待处理。 6.4 参考其他部分 丢弃处理请参阅第13节。 模块7. 操作处置与储存 7.1 安全操作的注意事项 避免接触皮肤和眼睛。 防止粉尘和气溶胶生成。避免曝露:使用前需要获得专门的指导。 在有粉尘生成的地方,提供合适的排风设备。一般性的防火保护措施。 7.2 安全储存的条件,包括任何不兼容性 贮存在阴凉处。 容器保持紧闭,储存在干燥通风处。 7.3 特定用途 无数据资料 模块8. 接触控制和个体防护 8.1 容许浓度 最高容许浓度 没有已知的国家规定的暴露极限。 8.2 暴露控制 适当的技术控制 按照良好工业和安全规范操作。 休息前和工作结束时洗手。 个体防护设备 眼/面保护 带有防护边罩的安全眼镜符合 EN166要求请使用经官方标准如NIOSH (美国) 或 EN 166(欧盟) 检测与批准的设备防护眼部。 皮肤保护 戴手套取 手套在使用前必须受检查。 请使用合适的方法脱除手套(不要接触手套外部表面),避免任何皮肤部位接触此产品. 使用后请将被污染过的手套根据相关法律法规和有效的实验室规章程序谨慎处理. 请清洗并吹干双手 所选择的保护手套必须符合EU的89/686/EEC规定和从它衍生出来的EN 376标准。 身体保护 防渗透的衣服, 防护设备的类型必须根据特定工作场所中的危险物的浓度和含量来选择。 呼吸系统防护 如危险性评测显示需要使用空气净化的防毒面具,请使用全面罩式多功能微粒防毒面具N100型(US )或P3型(EN 143)防毒面具筒作为工程控制的候补。如果防毒面具是保护的唯一方式,则使用全面罩式送风防毒 面具。 呼吸器使用经过测试并通过政府标准如NIOSH(US)或CEN(EU)的呼吸器和零件。 模块9. 理化特性 9.1 基本的理化特性的信息 a) 外观与性状 形状: 固体 b) 气味 无数据资料 c) 气味阈值 无数据资料 d) pH值 无数据资料 e) 熔点/凝固点 无数据资料 f) 起始沸点和沸程 无数据资料 g) 闪点 无数据资料 h) 蒸发速率 无数据资料 i) 易燃性(固体,气体) 无数据资料 j) 高的/低的燃烧性或爆炸性限度 无数据资料 k) 蒸汽压 无数据资料 l) 蒸汽密度 无数据资料 m) 相对密度 无数据资料 n) 水溶性 无数据资料 o) n-辛醇/水分配系数 无数据资料 p) 自燃温度 无数据资料 q) 分解温度 无数据资料 r) 粘度 无数据资料 模块10. 稳定性和反应活性 10.1 反应性 无数据资料 10.2 稳定性 无数据资料 10.3 危险反应的可能性 无数据资料 10.4 应避免的条件 无数据资料 10.5 不兼容的材料 强氧化剂 10.6 危险的分解产物 其它分解产物 - 无数据资料 模块11. 毒理学资料 11.1 毒理学影响的信息 急性毒性 无数据资料 皮肤刺激或腐蚀 无数据资料 眼睛刺激或腐蚀 无数据资料 呼吸道或皮肤过敏 无数据资料 生殖细胞突变性 无数据资料 致癌性 IARC: 此产品中没有大于或等于 0。1%含量的组分被 IARC鉴别为可能的或肯定的人类致癌物。 生殖毒性 婴儿可能出现先天性畸形和畸形的危险 假设有人类生殖毒性 特异性靶器官系统毒性(一次接触) 吸入 - 可能引起呼吸道刺激。 特异性靶器官系统毒性(反复接触) 无数据资料 吸入危险 无数据资料 潜在的健康影响 吸入吸入可能有害。 引起呼吸道刺激。 摄入如服入是有害的。 皮肤如果通过皮肤吸收可能是有害的。 造成皮肤刺激。 眼睛造成严重眼刺激。 接触后的征兆和症状 中枢神经系统机能降低, 恶心, 头晕, 头痛 附加说明 化学物质毒性作用登记: GU6496000 模块12. 生态学资料 12.1 生态毒性 无数据资料 12.2 持久存留性和降解性 无数据资料 12.3 潜在的生物蓄积性 无数据资料 12.4 土壤中的迁移性 无数据资料 12.5 PBT 和 vPvB的结果评价 无数据资料 12.6 其它不利的影响 无数据资料 模块13. 废弃处置 13.1 废物处理方法 产品 将剩余的和未回收的溶液交给处理公司。 联系专业的拥有废弃物处理执照的机构来处理此物质。 与易燃溶剂相溶或者相混合,在备有燃烧后处理和洗刷作用的化学焚化炉中燃烧 受污染的容器和包装 作为未用过的产品弃置。 模块14. 运输信息 14.1 联合国危险货物编号 欧洲陆运危规: -国际海运危规: -国际空运危规: - 14.2 联合国(UN)规定的名称 欧洲陆运危规: 非危险货物 国际海运危规: 非危险货物 国际空运危规: 非危险货物 14.3 运输危险类别 欧洲陆运危规: -国际海运危规: -国际空运危规: - 14.4 包裹组 欧洲陆运危规: -国际海运危规: -国际空运危规: - 14.5 环境危险 欧洲陆运危规: 否国际海运危规 海运污染物: 否国际空运危规: 否 14.6 对使用者的特别提醒 无数据资料 参见发票或包装条的反面。 模块 15 - 法规信息 N/A 模块16 - 其他信息 N/A |
| 符号 |
GHS07, GHS08 |
|---|---|
| 信号词 | Danger |
| 危害声明 | H315-H319-H335-H360 |
| 警示性声明 | P201-P261-P305 + P351 + P338-P308 + P313 |
| 个人防护装备 | Eyeshields;full-face particle respirator type N100 (US);Gloves;respirator cartridge type N100 (US);type P1 (EN143) respirator filter;type P3 (EN 143) respirator cartridges |
| 危害码 (欧洲) | T |
| 风险声明 (欧洲) | R61 |
| 安全声明 (欧洲) | S53-S26-S36/37/39-S45 |
| 危险品运输编码 | NONH for all modes of transport |
| WGK德国 | 3 |
| RTECS号 | GU6496000 |
| 海关编码 | 2922499990 |









