双(三苯基膦)二溴化镍
二(三苯基膦)溴化镍在性质上与二(三苯基膦)氯化镍很相似,两者通常都能参与相同的反应。但是采用溴化镍试剂NiBr2(PPh3)2也能实现其它镍试剂无法实现的反应。
采用还原剂Zn与NiBr2(PPh3)2组合能得到Ni(0),它能用于苯基三氟甲基磺酸与氰基阴离子的置换反应,因此能够很方便地制备芳基腈化合物 (式1)。

在催化量的NiBr2(PPh3)2和叔丁醇钾t-BuOK存在下,烯丙醇能与吗啉发生置换反应得到相应的烯丙基胺化合物 (式2)。

NiBr2(PPh3)2也能与格氏试剂发生置换反应,如与甲基碘化镁反应得到一个溴离子被甲基阴离子取代的甲基溴化镍配合物,进而再与叔丁氧基阴离子反应发生另一个溴离子被叔丁氧基取代的反应,最后还原消除得到环氧化合物 (式3)。

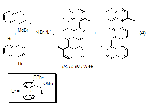
NiBr2(PPh3)2还能用于催化卤代芳烃底物与格氏试剂间的交叉偶联反应。不仅是NiBr2(PPh3)2配合物,将含膦配体加入到溴化镍溶液中也能表现出类似活性。特别是采用手性膦配体时,还能获得具有较好对映选择性的交叉偶联产物 (式4)。

NiBr2(PPh3)2与还原剂氢化铝锂LiAlH4作用,能促进硫醇、硫醚、二硫羧醛、亚砜和砜的碳-硫键还原反应。此外,NiBr2(PPh3)2与还原剂Zn的组合能够催化累积多烯的二聚反应 (式5);1,1-二溴-2,2-二苯基乙烯也能在相同条件下发生二聚反应得到丁三烯 (式6)。

虽然低价镍配合物能有效促进烯烃或丁二烯的二聚或低聚反应,但NiBr2(PPh3)2在这一方面使用得并不多 (式7),原因在于NiBr2(PPh3)2参与的烯烃二聚反应通常会获得很多异构产物。

在催化量的NiBr2(PPh3)2存在下,烯丙基羧醛能够与烯丙基新试剂发生加成反应,进而被亲电试剂进攻得到官能化的α,β-不饱和羧醛 (式8)。

-
中文名二溴双(三苯基磷)化镍
-
英文名Nickel(II) bromide bis(triphenylphosphine)
-
中文别名双(三苯基膦)二溴化镍
-
英文别名
Nickel(2+) bromide - triphenylphosphine (1:2:2) BIS(TRIPHENYLPHOSPHINE)NICKEL(II) BROMIDE dibromonickel,triphenylphosphane Phosphine, triphenyl-, nickel(2+) salt, hydrobromide (2:1:2) MFCD00015865 Nickel(II) bromide bis(triphenylphosphine) NiBr2(PPh3)2 bis(triphenylphosphine)nickel(II) bromide -
常用名双(三苯基膦)二溴化镍
-
C A S号14126-37-5
-
密度N/A
-
沸点360ºC at 760mmHg
-
熔点219-223 °C(lit.)
-
化学式C36H30Br2NiP2
-
结构式
1、摩尔折射率:无可用的
2、摩尔体积(cm3/mol):无可用的
3、等张比容(90.2K):无可用的
4、表面张力(dyne/cm):无可用的
5、介电常数:无可用的
6、极化率(10-24cm3):无可用的
7、单一同位素质量:739.954282 Da
8、标称质量:740 Da
9、平均质量:743.0723 Da
-
闪点181.7ºC
-
分子量743.072
-
精确质量739.954285
-
P S A27.18000
-
外观形状暗绿色结晶粉末或晶体
-
储存条件
常温密闭避光,通风干燥
-
稳定性
-
水溶解性
-
形态黑绿色固体
-
H L B值
-
粘度
-
PH值
二(三苯基膦)溴化镍在性质上与二(三苯基膦)氯化镍很相似,两者通常都能参与相同的反应。但是采用溴化镍试剂NiBr2(PPh3)2也能实现其它镍试剂无法实现的反应。
采用还原剂Zn与NiBr2(PPh3)2组合能得到Ni(0),它能用于苯基三氟甲基磺酸与氰基阴离子的置换反应,因此能够很方便地制备芳基腈化合物 (式1)。

在催化量的NiBr2(PPh3)2和叔丁醇钾t-BuOK存在下,烯丙醇能与吗啉发生置换反应得到相应的烯丙基胺化合物 (式2)。

NiBr2(PPh3)2也能与格氏试剂发生置换反应,如与甲基碘化镁反应得到一个溴离子被甲基阴离子取代的甲基溴化镍配合物,进而再与叔丁氧基阴离子反应发生另一个溴离子被叔丁氧基取代的反应,最后还原消除得到环氧化合物 (式3)。

NiBr2(PPh3)2还能用于催化卤代芳烃底物与格氏试剂间的交叉偶联反应。不仅是NiBr2(PPh3)2配合物,将含膦配体加入到溴化镍溶液中也能表现出类似活性。特别是采用手性膦配体时,还能获得具有较好对映选择性的交叉偶联产物 (式4)。

NiBr2(PPh3)2与还原剂氢化铝锂LiAlH4作用,能促进硫醇、硫醚、二硫羧醛、亚砜和砜的碳-硫键还原反应。此外,NiBr2(PPh3)2与还原剂Zn的组合能够催化累积多烯的二聚反应 (式5);1,1-二溴-2,2-二苯基乙烯也能在相同条件下发生二聚反应得到丁三烯 (式6)。

虽然低价镍配合物能有效促进烯烃或丁二烯的二聚或低聚反应,但NiBr2(PPh3)2在这一方面使用得并不多 (式7),原因在于NiBr2(PPh3)2参与的烯烃二聚反应通常会获得很多异构产物。

在催化量的NiBr2(PPh3)2存在下,烯丙基羧醛能够与烯丙基新试剂发生加成反应,进而被亲电试剂进攻得到官能化的α,β-不饱和羧醛 (式8)。

通过溴化镍与三苯基膦定量反应而来。
|
1.1 产品标识符
: Dibromobis(triphenylphosphine)nickel(II) 化学品俗名或商品名 1.2 鉴别的其他方法 无数据资料 1.3 有关的确定了的物质或混合物的用途和建议不适合的用途 仅供科研用途,不作为药物、家庭备用药或其它用途。
模块2. 危险性概述 2.1 GHS分类 急性毒性, 经口 (类别4) 急性毒性, 吸入 (类别4) 急性毒性, 经皮 (类别4) 2.2 GHS 标记要素,包括预防性的陈述 危害类型象形图 信号词警告 危险申明 H302吞咽有害。 H312皮肤接触有害。 H332吸入有害。 警告申明 预防 P261避免吸入粉尘/ 烟/ 气体/ 烟雾/ 蒸汽/ 喷雾。 P264操作后彻底清洁皮肤。 P270使用本产品时不要进食、饮水或吸烟。 P271只能在室外或通风良好之处使用。 P280穿戴防护手套/ 防护服。 措施 P301 + P312如果吞下去了: 如感觉不适,呼救解毒中心或看医生。 P302 + P352如果在皮肤上: 用大量肥皂和水淋洗。 P304 + P340如果吸入: 将患者移到新鲜空气处休息,并保持呼吸舒畅的姿势。 P312如感觉不适,呼救解毒中心或医生。 P322具体措施(见本标签上提供的急救指导)。 P330漱口。 P363沾染的衣服清洗后方可重新使用。 处理 P501将内容物/ 容器处理到得到批准的废物处理厂。 2.3 其它危害物 - 无 模块3. 成分/组成信息 3.1 物 质 : C36H30Br2NiP2 分子式 : 743.07 g/mol 分子量 成分浓度 Dibromobis(triphenylphosphine)nickel(II) - 化学文摘编号(CAS No.)14126-37-5 模块4. 急救措施 4.1 必要的急救措施描述 一般的建议 请教医生。 出示此安全技术说明书给到现场的医生看。 如果吸入 如果吸入,请将患者移到新鲜空气处。 如果停止了呼吸,给于人工呼吸。 请教医生。 在皮肤接触的情况下 用肥皂和大量的水冲洗。 请教医生。 在眼睛接触的情况下 用水冲洗眼睛作为预防措施。 如果误服 切勿给失去知觉者从嘴里喂食任何东西。 用水漱口。 请教医生。 4.2 最重要的症状和影响,急性的和滞后的 据我们所知,此化学,物理和毒性性质尚未经完整的研究。 4.3 及时的医疗处理和所需的特殊处理的说明和指示 无数据资料 模块5. 消防措施 5.1 灭火介质 灭火方法及灭火剂 用水雾,耐醇泡沫,干粉或二氧化碳灭火。 5.2 源于此物质或混合物的特别的危害 碳氧化物, 磷的氧化物, 溴化氢气, 镍/氧化镍 5.3 救火人员的预防 如必要的话,戴自给式呼吸器去救火。 5.4 进一步的信息 无数据资料 模块6. 泄露应急处理 6.1 人员的预防,防护设备和紧急处理程序 使用个人防护设备。 防止粉尘的生成。 防止吸入蒸汽、气雾或气体。 保证充分的通风。 避免吸入粉尘。 6.2 环境预防措施 不要让产物进入下水道。 6.3 抑制和清除溢出物的方法和材料 收集、处理泄漏物,不要产生灰尘。 扫掉和铲掉。 存放在合适的封闭的处理容器内。 6.4 参考其他部分 丢弃处理请参阅第13节。 模块7. 操作处置与储存 7.1 安全操作的注意事项 避免接触皮肤和眼睛。 防止粉尘和气溶胶生成。 在有粉尘生成的地方,提供合适的排风设备。一般性的防火保护措施。 7.2 安全储存的条件,包括任何不兼容性 贮存在阴凉处。 容器保持紧闭,储存在干燥通风处。 热敏感。 对湿度敏感 7.3 特定用途 无数据资料 模块8. 接触控制/个体防护 8.1 控制参数 最高容许浓度 没有已知的国家规定的暴露极限。 8.2 暴露控制 适当的技术控制 根据工业卫生和安全使用规则来操作。 休息以前和工作结束时洗手。 人身保护设备 眼/面保护 带有防护边罩的安全眼镜符合 EN166要求请使用经官方标准如NIOSH (美国) 或 EN 166(欧盟) 检测与批准的设备防护眼部。 皮肤保护 戴手套取 手套在使用前必须受检查。 请使用合适的方法脱除手套(不要接触手套外部表面),避免任何皮肤部位接触此产品. 使用后请将被污染过的手套根据相关法律法规和有效的实验室规章程序谨慎处理. 请清洗并吹干双手 所选择的保护手套必须符合EU的89/686/EEC规定和从它衍生出来的EN 376标准。 身体保护 全套防化学试剂工作服, 防护设备的类型必须根据特定工作场所中的危险物的浓度和含量来选择。 呼吸系统防护 如须暴露于有害环境中,请使用P95型(美国)或P1型(欧盟 英国 143)防微粒呼吸器。如需更高级别防护,请使用OV/AG/P99型(美国)或ABEK-P2型 (欧盟 英国 143) 防毒罐。 呼吸器使用经过测试并通过政府标准如NIOSH(US)或CEN(EU)的呼吸器和零件。 模块9. 理化特性 9.1 基本的理化特性的信息 a) 外观与性状 形状: 粉末 颜色: 深绿 b) 气味 无数据资料 c) 气味临界值 无数据资料 d) pH值 无数据资料 e) 熔点/凝固点 熔点/熔点范围: 219 - 223 °C - lit. f) 起始沸点和沸程 无数据资料 g) 闪点 无数据资料 h) 蒸发速率 无数据资料 i) 可燃性(固体,气体) 无数据资料 j) 高的/低的燃烧性或爆炸性限度 无数据资料 k) 蒸气压 无数据资料 l) 相对蒸气密度 无数据资料 m) 相对密度 无数据资料 n) 水溶性 无数据资料 o) 辛醇/水分配系数的对数值 无数据资料 p) 自燃温度 无数据资料 q) 分解温度 无数据资料 r) 粘度 无数据资料 模块10. 稳定性和反应活性 10.1 反应性 无数据资料 10.2 化学稳定性 无数据资料 10.3 危险反应的可能性 无数据资料 10.4 避免接触的条件 防潮。 加热。 10.5 不兼容的材料 强氧化剂 10.6 危险的分解产物 其它分解产物 - 无数据资料 模块11. 毒理学资料 11.1 毒理学影响的信息 急性毒性 无数据资料 皮肤腐蚀/刺激 无数据资料 严重眼损伤 / 眼刺激 无数据资料 呼吸道或皮肤过敏 无数据资料 生殖细胞诱变 无数据资料 致癌性 IARC: 此产品中没有大于或等于 0。1%含量的组分被 IARC鉴别为可能的或肯定的人类致癌物。 生殖毒性 无数据资料 特异性靶器官系统毒性(一次接触) 无数据资料 特异性靶器官系统毒性(反复接触) 无数据资料 吸入危险 无数据资料 潜在的健康影响 吸入吸入有害。 可能引起呼吸道刺激。 摄入误吞对人体有害。 皮肤如果通过皮肤被吸收是有害的。 可能引起皮肤刺激。 眼睛可能引起眼睛刺激。 接触后的征兆和症状 据我们所知,此化学,物理和毒性性质尚未经完整的研究。 附加说明 化学物质毒性作用登记: 无数据资料 模块12. 生态学资料 12.1 毒性 无数据资料 12.2 持久存留性和降解性 无数据资料 12.3 生物积累的潜在可能性 无数据资料 12.4 土壤中的迁移 无数据资料 12.5 PBT 和 vPvB的结果评价 无数据资料 12.6 其它不利的影响 无数据资料 模块13. 废弃处置 13.1 废物处理方法 产品 将剩余的和未回收的溶液交给处理公司。 联系专业的拥有废弃物处理执照的机构来处理此物质。 与易燃溶剂相溶或者相混合,在备有燃烧后处理和洗刷作用的化学焚化炉中燃烧 污染了的包装物 作为未用过的产品弃置。 模块14. 运输信息 14.1 UN编号 欧洲陆运危规: 1759国际海运危规: 1759国际空运危规: 1759 14.2 联合国(UN)规定的名称 欧洲陆运危规: CORROSIVE SOLID, N.O.S. (Dibromobis(triphenylphosphine)nickel(II)) 国际海运危规: CORROSIVE SOLID, N.O.S. (Dibromobis(triphenylphosphine)nickel(II)) 国际空运危规: Corrosive solid, n.o.s. (Dibromobis(triphenylphosphine)nickel(II)) 14.3 运输危险类别 欧洲陆运危规: 8国际海运危规: 8国际空运危规: 8 14.4 包裹组 欧洲陆运危规: II国际海运危规: II国际空运危规: II 14.5 环境危险 欧洲陆运危规: 否国际海运危规 海运污染物: 否国际空运危规: 否 14.6 对使用者的特别预防 无数据资料 模块 15 - 法规信息 N/A 模块16 - 其他信息 N/A |
| 符号 |
GHS07 |
|---|---|
| 信号词 | Warning |
| 危害声明 | H302-H312-H332 |
| 警示性声明 | P280 |
| 个人防护装备 | dust mask type N95 (US);Eyeshields;Gloves |
| 危害码 (欧洲) | Xn |
| 风险声明 (欧洲) | R20/21/22 |
| 安全声明 (欧洲) | S36/37 |
| 危险品运输编码 | UN 1759 8/PG 2 |
| WGK德国 | 3 |
| 包装等级 | III |
| 危险类别 | 6.1(b) |







