匹莫苯丹
-
中文名匹莫苯
-
英文名Pimobendan
-
中文别名6-[2-(4-甲氧基苯基)-1H-苯并咪唑-5-基]-5-甲基-4,5-二氢-3(2H)-哒嗪酮 | 4,5-二氢-5-甲基-6-[2-(4-甲氧基苯基)-1H-苯并咪唑-5-基]-3(2H)一哒嗪酮
-
英文别名
(RS)-6-[2-(4-methoxyphenyl)-1H-benzimidazol-5-yl]-5-methyl-4,5-dihydropyridazin-3(2H)-one 4,5-Dihydro-6-[2-(4-methoxyphenyl)-1H-benzimidazol-5-yl]-5-methyl-3(2H)-pyridazinone 3(2H)-Pyridazinone, 4,5-dihydro-6-[2-(4-methoxyphenyl)-1H-benzimidazol-5-yl]-5-methyl- (±)-UD CG 115BS 6-[2-(4-Methoxyphenyl)-1H-benzimidazol-5-yl]-5-methyl-4,5-dihydropyridazin-3(2H)-one dl-Pimobendan rac PiMobendan Vetmedin UD CG 115 BS 6-[2-(4-Methoxyphenyl)-1H-benzimidazol-6-yl]-5-methyl-4,5-dihydropyridazin-3(2H)-one Pimobendam Pimobendan Pimobendanum UD-CG 115 UNII:34AP3BBP9T 2-(4-methoxyphenyl)-5(6)-(5-methyl-3-oxo-4,5-dihydro-2H-6-pyridazinyl)benzimidazole 3(2H)-Pyridazinone, 4,5-dihydro-6-[2-(4-methoxyphenyl)-1H-benzimidazol-6-yl]-5-methyl- MFCD00761648 UNII:9HTU209Z0N 2-(4-methoxy-phenyl)-5-(5-methyl-3-oxo-4,5-dihydro-2H-6-pyridazinyl) benzimidazole UNII:613JXV89SU Pimobendane Acardi 6-[2-(4-Methoxyphenyl)-1H-benzimidazol-5-yl]-5-methyl-4,5-dihydro-3(2H)-pyridazinone UD-CG115 BS -
常用名匹莫苯丹
-
C A S号74150-27-9
-
密度1.4±0.1 g/cm3
-
沸点N/A
-
熔点N/A
-
化学式C19H18N4O2
-
结构式
1、 摩尔折射率:94.00
2、 摩尔体积(cm3/mol):245.2
3、 等张比容(90.2K):657.6
4、 表面张力(dyne/cm):51.7
5、 极化率(10-24cm3):37.26
-
闪点N/A
-
分子量334.372
-
精确质量334.142975
-
P S A79.37000
-
外观形状
-
储存条件
-
稳定性
-
水溶解性
-
形态
-
H L B值
-
粘度
-
PH值
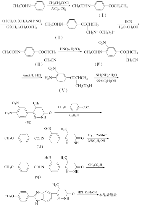
在搅拌下,往二硫化碳、无水三氯化铝和乙酰苯胺的溶液中,缓慢滴加丙酰氯,回流。冷至室温,将下层反应液缓慢倒入碎冰中。滤集固体,乙醇重结晶,得化合物(I),收率51.3%。
二甲胺盐酸盐和36%甲醛溶液,室温反应。加入醋酐,搅拌至反应液澄清。然后加入化合物(Ⅰ),100℃反应。60~65℃下减压蒸出低沸物,加丙酮回流。蒸出丙酮,加水溶解,用二氯甲烷洗3次。水层再加二氯甲烷,冷却下用2.5mol/L,氢氧化钠中和至Ph=10。分出有机层,水层用二氯甲烷提取。合并有机层,用饱和盐水洗2次,干燥,浓缩。再和碘甲烷在丙酮中,室温反应。过滤,干燥,得化合物(Ⅱ)。 化合物(Ⅱ)溶于含水甲醇,再加入氰化钾的水溶液,室温搅拌。滤集固体,用大量水洗至无CN-离子,干燥,乙醇重结晶得化合物(Ⅲ),收率76.6%。
在搅拌和-5~0℃下,把化合物(Ⅲ)加到混酸中,反应。倾入碎冰中,加乙酸乙酯。滤集固体,水洗至中性,干燥,得化合物(Ⅳ),收率62.8%。
化合物(Ⅳ)和6mol/L盐酸,回流。冷至室温,过滤,干燥,得化合物(V),收率77.3%。
化合物(V)、95%乙醇和水合肼,搅拌回流。冷至室温,过滤,干燥,得化合物(VI),收翠92.3%。
化合物(Ⅵ)、对甲氧基苯甲酰氯和无水吡啶,40~50℃反应。倾入冷水中,滤集固体,干燥,然后和丙酮搅拌回流,冷至室温,过滤,干燥,得化合物(Ⅶ),收率51.4%。
化合物(Ⅶ)、10%钯-炭和95%乙醇,在0.49MPa的氢压下,振荡搅拌。过滤得化合物(Ⅷ)和钯-炭的混合物,可直接用于下步反应。母液回收的产物用丙酮-二甲基甲酰胺重结晶,可得化合物(Ⅷ)。
化合物(Ⅷ)和钯-炭的混合物在述雕酸中,回流。冷至室温,过滤。滤液加冰水,用25%氢氧化钠中和。滤集固体,干燥,用硅胶G柱层析,得匹莫苯,熔点175~178℃,收率68.7%[以化合物(Ⅶ)计]。往匹莫苯中滴加氯化氢饱和的乙醇,搅拌。滤集固体,干燥,得盐酸匹莫苯,收率79.4%,熔点>300℃。
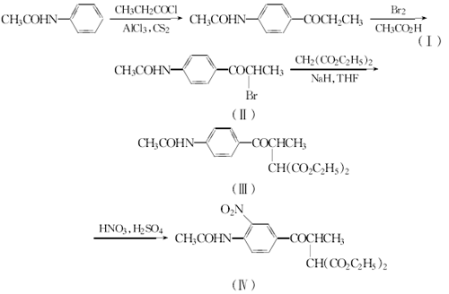
方法2:乙酰苯胺、丙酰氯和三氯化铝在二硫化碳中反应,得化合物(I),收率76%。
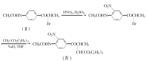
化合物(I)、冰醋酸和溴反应,粗品经硅胶G柱层析,得化合物(Ⅱ),收率74%。
在冰浴搅拌下,往氢化钠的四氢呋喃中,缓慢滴加丙二酸二乙酯,反应。把该反应液加到化合物(Ⅱ)的四氢呋喃溶液中,室温搅拌。用2mol/L盐酸酸化至Ph=1,加入乙醚。分出有机层,水层用乙醚萃取3次。合并有机层,用饱和碳酸氢钠、氯化钠水溶液洗至中性,干燥。蒸出乙醚,用硅胶G柱层析,得化合物(Ⅲ),收率89.4%。
化合物(Ⅲ)经混酸硝化,粗品经硅胶G柱层析,得化合物(Ⅳ),收率89%。
化合物(Ⅱ)先经混酸硝化,再和丙二酸二乙酯反应,同样得化合物(Ⅳ),二步收率68.8%。
化合物(Ⅳ)溶于乙醇,加入5%氢氧化钠,70~80℃:搅拌。用3mol/L盐酸酸化至Ph=1,70~80℃再搅拌。冷至室温,加入乙酸乙酯。分出有机层,水层用乙酸乙酯提取3次。合并有机层,干燥。蒸出溶剂,用硅胶G柱层析,得化合物(V),收率85%。
化合物(V)溶于二苯醚,在160~170℃搅拌至无二氧化碳气泡放出。冷却,滤集固体,用少量石油醚洗,干燥得化合物(Ⅵ),收率82%。
化合物(Ⅵ)、无水乙醇和85%水合肼回流反应,得化合物(Ⅶ),收率92%。
化合物(Ⅶ)溶于无水乙醇,在5%钯-炭存在下,用85%水合肼在70~80℃还原后,再经硅胶G柱层析,得化合物(Ⅷ),收率88%。
在偏重亚硫酸钠、水和甲醇中,化合物(Ⅷ)和对甲氧基苯甲醛在25~60℃缩合,粗品经硅胶G柱层析,得匹莫苯,收率92%,熔点240~241℃(分解)(该熔点和方法1中匹莫苯的熔点有很大出入)。匹莫苯再和盐酸-乙醇饱和溶液反应,得盐酸匹莫苯,收率80%,熔点>310℃(分解)。
| 符号 |
GHS06 |
|---|---|
| 信号词 | Danger |
| 危害声明 | H301 |
| 警示性声明 | Missing Phrase - N15.00950417 |
| 危害码 (欧洲) | Xi |
| 风险声明 (欧洲) | R36/37/38:Irritating to eyes, respiratory system and skin . |
| 安全声明 (欧洲) | S26-S37/39 |
| 危险品运输编码 | UN 2811 6.1 / PGIII |
| WGK德国 | 3 |
| RTECS号 | CY8980000 |
| 海关编码 | 29310095 |

搜索










