J 酸
【用途一】
用作染料中间体,用于制造活性、直接等染料
用作染料中间体,用于制造活性、直接等染料
【用途二】
该品为重要的染料中间体,用于制造偶氮染料,如直接青莲R、直接耐晒灰2BL、直接耐酸紫、直接桃红、直接铜染藏青、耐晒蓝B2R、活性大红、艳橙、草绿和红棕等染料,并可用于制造猩红酸及苯基J酸等。
该品为重要的染料中间体,用于制造偶氮染料,如直接青莲R、直接耐晒灰2BL、直接耐酸紫、直接桃红、直接铜染藏青、耐晒蓝B2R、活性大红、艳橙、草绿和红棕等染料,并可用于制造猩红酸及苯基J酸等。
产品名称
-
中文名7-氨基-4-羟基-2-萘磺酸
-
英文名J acid
-
中文别名6-氨基-1-萘酚-3-磺酸 | 6-氨基-1-萘酚-3-磺酸水合物 | 2-氨基-5-萘酚-7-磺酸 | J 酸
-
英文别名
7-Amino-4-hydroxy-2-naphthalenesulfonic acid EINECS 201-718-9 J acid MFCD00003970 7-amino-4-hydroxynaphthalene-2-sulfonic acid -
常用名J 酸
-
C A S号87-02-5
物理性质
-
密度1.627 g/cm3
-
沸点N/A
-
熔点N/A
-
化学式C10H9NO4S
-
结构式
1、 摩尔折射率:59.80
2、 摩尔体积(cm3/mol):147.0
3、 等张比容(90.2K):448.3
4、 表面张力(dyne/cm):86.4
5、 极化率(10-24cm3):23.70
-
闪点N/A
-
分子量239.24800
-
精确质量239.02500
-
P S A109.00000
-
外观形状灰色至棕色粉末
-
储存条件
1.本品应密封避光保存。贮存在干燥、清洁的房屋内,防止曝晒、雨淋。放置时箱(桶)口向上,以免产品外泄。
-
稳定性
-
水溶解性
-
形态白色针状结晶。
-
H L B值
-
粘度
-
PH值
作用/用途
【用途一】
用作染料中间体,用于制造活性、直接等染料
用作染料中间体,用于制造活性、直接等染料
【用途二】
该品为重要的染料中间体,用于制造偶氮染料,如直接青莲R、直接耐晒灰2BL、直接耐酸紫、直接桃红、直接铜染藏青、耐晒蓝B2R、活性大红、艳橙、草绿和红棕等染料,并可用于制造猩红酸及苯基J酸等。
该品为重要的染料中间体,用于制造偶氮染料,如直接青莲R、直接耐晒灰2BL、直接耐酸紫、直接桃红、直接铜染藏青、耐晒蓝B2R、活性大红、艳橙、草绿和红棕等染料,并可用于制造猩红酸及苯基J酸等。
制备方法
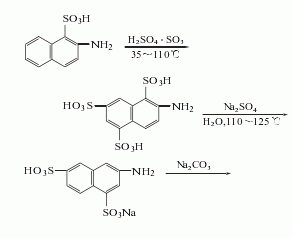
以前用β-萘胺制取。由于β-萘胺具有强致癌性,因此这种生产方法已被淘汰,现采用2-萘胺-1-磺酸(吐氏酸)为原料来制取J酸。吐氏酸经磺化、水解,得2-萘酸-5,7-二磺单钠盐(氨基J酸),再经中和、碱熔、酸化而得。
安全提醒
MSDS
|
1.1 产品标识符
: 7-氨基-4-羟基-2-萘磺酸 产品名称 1.2 鉴别的其他方法 6-Amino-1-naphthol-3-sulfonic acid I-Acid
1.3 有关的确定了的物质或混合物的用途和建议不适合的用途
仅供科研用途,不作为药物、家庭备用药或其它用途。 模块2. 危险性概述 2.1 GHS分类 皮肤腐蚀 (类别1B) 严重的眼损伤 (类别1) 2.2 GHS 标记要素,包括预防性的陈述 象形图 警示词危险 危险申明 H314造成严重皮肤灼伤和眼损伤。 警告申明 预防 P260不要吸入粉尘/烟/气体/烟雾/蒸气/喷雾。 P264操作后彻底清洁皮肤。 P280戴防护手套/穿防护服/戴护目镜/戴面罩. 措施 P301 + P330 + P331如误吞咽:漱口。不要诱导呕吐。 P303 + P361 + P353如皮肤(或头发)沾染:立即去除/ 脱掉所有沾染的衣服。用水清洗皮肤/ 淋浴。 P304 + P340如吸入,将患者移至新鲜空气处并保持呼吸顺畅的姿势休息. P305 + P351 + P338如与眼睛接触,用水缓慢温和地冲洗几分钟。如戴隐形眼镜并可方便地取 出,取出隐形眼镜,然后继续冲洗. P310立即呼叫中毒控制中心或医生. P321具体治疗(见本标签上提供的急救指导)。 P363沾染的衣服清洗后方可重新使用。 储存 P405存放处须加锁。 处理 P501将内容物/ 容器处理到得到批准的废物处理厂。 2.3 其它危害物 - 无 模块3. 成分/组成信息 3.1 物 质 : 6-Amino-1-naphthol-3-sulfonic acid 别名 I-Acid : C10H9NO4S 分子式 : 239.25 g/mol 分子量 组分浓度或浓度范围 7-Amino-4-hydroxynaphthalene-2-sulphonic acid - CAS 号87-02-5 EC-编号201-718-9 模块4. 急救措施 4.1 必要的急救措施描述 一般的建议 请教医生。 出示此安全技术说明书给到现场的医生看。 吸入 如果吸入,请将患者移到新鲜空气处。 如果停止了呼吸,给于人工呼吸。 请教医生。 皮肤接触 立即脱掉污染的衣服和鞋子。 用肥皂和大量的水冲洗。 请教医生。 眼睛接触 用大量水彻底冲洗至少15分钟并请教医生。 食入 禁止催吐。 切勿给失去知觉者从嘴里喂食任何东西。 用水漱口。 请教医生。 4.2 主要症状和影响,急性和迟发效应 长期或频繁接触会导致:, 吸入可能引起化学性肺炎。, 肺水肿。效应可能会迟缓。, 该物质对粘膜组织和上呼吸道、眼睛和皮肤破坏巨大。, 痉挛,发炎,咽喉肿痛, 痉挛,发炎,支气管炎, 肺炎, 肺水肿, 灼伤感:, 咳嗽, 喘息, 喉炎, 呼吸短促, 头痛, 恶心, 呕吐 4.3 及时的医疗处理和所需的特殊处理的说明和指示 无数据资料 模块5. 消防措施 5.1 灭火介质 灭火方法及灭火剂 用水雾,耐醇泡沫,干粉或二氧化碳灭火。 5.2 源于此物质或混合物的特别的危害 碳氧化物, 氮氧化物, 硫氧化物 5.3 给消防员的建议 如必要的话,戴自给式呼吸器去救火。 5.4 进一步信息 无数据资料 模块6. 泄露应急处理 6.1 人员的预防,防护设备和紧急处理程序 使用个人防护设备。 防止粉尘的生成。 防止吸入蒸汽、气雾或气体。 保证充分的通风。 将人员撤离到安全区域。 避免吸入粉尘。 6.2 环境保护措施 不要让产物进入下水道。 6.3 抑制和清除溢出物的方法和材料 收集、处理泄漏物,不要产生灰尘。 扫掉和铲掉。 存放进适当的闭口容器中待处理。 6.4 参考其他部分 丢弃处理请参阅第13节。 模块7. 操作处置与储存 7.1 安全操作的注意事项 防止粉尘和气溶胶生成。 在有粉尘生成的地方,提供合适的排风设备。一般性的防火保护措施。 7.2 安全储存的条件,包括任何不兼容性 贮存在阴凉处。 容器保持紧闭,储存在干燥通风处。 对湿度敏感 7.3 特定用途 无数据资料 模块8. 接触控制和个体防护 8.1 容许浓度 最高容许浓度 没有已知的国家规定的暴露极限。 8.2 暴露控制 适当的技术控制 按照良好工业和安全规范操作。 休息前和工作结束时洗手。 个体防护设备 眼/面保护 面罩與安全眼鏡请使用经官方标准如NIOSH (美国) 或 EN 166(欧盟) 检测与批准的设备防护眼部。 皮肤保护 戴手套取 手套在使用前必须受检查。 请使用合适的方法脱除手套(不要接触手套外部表面),避免任何皮肤部位接触此产品. 使用后请将被污染过的手套根据相关法律法规和有效的实验室规章程序谨慎处理. 请清洗并吹干双手 所选择的保护手套必须符合EU的89/686/EEC规定和从它衍生出来的EN 376标准。 身体保护 全套防化学试剂工作服, 防护设备的类型必须根据特定工作场所中的危险物的浓度和含量来选择。 呼吸系统防护 如危险性评测显示需要使用空气净化的防毒面具,请使用全面罩式多功能微粒防毒面具N100型(US )或P3型(EN 143)防毒面具筒作为工程控制的候补。如果防毒面具是保护的唯一方式,则使用全面罩式送风防毒 面具。 呼吸器使用经过测试并通过政府标准如NIOSH(US)或CEN(EU)的呼吸器和零件。 模块9. 理化特性 9.1 基本的理化特性的信息 a) 外观与性状 形状: 粉末 颜色: 棕灰色 b) 气味 无数据资料 c) 气味阈值 无数据资料 d) pH值 无数据资料 e) 熔点/凝固点 无数据资料 f) 起始沸点和沸程 无数据资料 g) 闪点 无数据资料 h) 蒸发速率 无数据资料 i) 易燃性(固体,气体) 无数据资料 j) 高的/低的燃烧性或爆炸性限度 无数据资料 k) 蒸汽压 无数据资料 l) 蒸汽密度 无数据资料 m) 相对密度 无数据资料 n) 水溶性 无数据资料 o) n-辛醇/水分配系数 无数据资料 p) 自燃温度 无数据资料 q) 分解温度 无数据资料 r) 粘度 无数据资料 模块10. 稳定性和反应活性 10.1 反应性 无数据资料 10.2 稳定性 无数据资料 10.3 危险反应的可能性 无数据资料 10.4 应避免的条件 无数据资料 10.5 不兼容的材料 强氧化剂 10.6 危险的分解产物 其它分解产物 - 无数据资料 模块11. 毒理学资料 11.1 毒理学影响的信息 急性毒性 半数致死剂量 (LD50) 经口 - 大鼠 - 11,500 mg/kg 皮肤刺激或腐蚀 眼睛刺激或腐蚀 眼睛 - 兔子 - 轻度的眼睛刺激 呼吸道或皮肤过敏 无数据资料 生殖细胞突变性 无数据资料 致癌性 IARC: 此产品中没有大于或等于 0。1%含量的组分被 IARC鉴别为可能的或肯定的人类致癌物。 生殖毒性 无数据资料 特异性靶器官系统毒性(一次接触) 无数据资料 特异性靶器官系统毒性(反复接触) 无数据资料 吸入危险 无数据资料 潜在的健康影响 吸入吸入可能有害。 该物质对组织、粘膜和上呼吸道破坏力强 摄入如服入是有害的。 引致灼伤。 皮肤如果通过皮肤吸收可能是有害的。 引起皮肤烧伤。 眼睛引起眼睛烧伤。 接触后的征兆和症状 长期或频繁接触会导致:, 吸入可能引起化学性肺炎。, 肺水肿。效应可能会迟缓。, 该物质对粘膜组织和上呼吸道、眼睛和皮肤破坏巨大。, 痉挛,发炎,咽喉肿痛, 痉挛,发炎,支气管炎, 肺炎, 肺水肿, 灼伤感:, 咳嗽, 喘息, 喉炎, 呼吸短促, 头痛, 恶心, 呕吐 附加说明 化学物质毒性作用登记: QK1295500 模块12. 生态学资料 12.1 生态毒性 无数据资料 12.2 持久存留性和降解性 无数据资料 12.3 潜在的生物蓄积性 无数据资料 12.4 土壤中的迁移性 无数据资料 12.5 PBT 和 vPvB的结果评价 无数据资料 12.6 其它不利的影响 无数据资料 模块13. 废弃处置 13.1 废物处理方法 产品 将剩余的和未回收的溶液交给处理公司。 联系专业的拥有废弃物处理执照的机构来处理此物质。 与易燃溶剂相溶或者相混合,在备有燃烧后处理和洗刷作用的化学焚化炉中燃烧 受污染的容器和包装 作为未用过的产品弃置。 模块14. 运输信息 14.1 联合国危险货物编号 欧洲陆运危规: 2585国际海运危规: 2585国际空运危规: 2585 14.2 联合国(UN)规定的名称 欧洲陆运危规: ALKYLSULPHONIC ACID, SOLID 国际海运危规: ALKYLSULPHONIC ACIDS, SOLID 国际空运危规: Alkylsulphonic acids, solid 14.3 运输危险类别 欧洲陆运危规: 8国际海运危规: 8国际空运危规: 8 14.4 包裹组 欧洲陆运危规: III国际海运危规: III国际空运危规: III 14.5 环境危险 欧洲陆运危规: 否国际海运危规 海运污染物: 否国际空运危规: 否 14.6 对使用者的特别提醒 无数据资料 模块 15 - 法规信息 N/A 模块16 - 其他信息 N/A |
原料简介
应用范围
毒性和生态
安全信息
| 个人防护装备 | Eyeshields;Faceshields;full-face particle respirator type N100 (US);Gloves;respirator cartridge type N100 (US);type P1 (EN143) respirator filter;type P3 (EN 143) respirator cartridges |
|---|---|
| 危害码 (欧洲) | C:Corrosive |
| 风险声明 (欧洲) | R34 |
| 安全声明 (欧洲) | S26-S27-S36/37/39 |
| 危险品运输编码 | UN 2585 8/PG 3 |
| WGK德国 | 1 |
| RTECS号 | QK1295500 |
| 包装等级 | III |
| 危险类别 | 8 |
| 海关编码 | 2922210000 |
是否危险品
危险性
危险类别码
危险等级
触发危险方式
安全技术说明书
环境影响程度
包装与储运
相关供应商

搜索








