马来酸桂哌齐特
-
中文名马来酸桂哌齐特
-
英文名Cinepazide maleate
-
中文别名马来酸桂哌齐特 | 1-[(1-吡咯烷甲酰)甲基]-4-(3,4,5-三甲氧基肉桂酰基)哌嗪顺丁烯二酸盐 | (E)-1-{4-[(3,4,5’-三甲氧基肉桂酰基)]-1-哌嗪}乙酰吡咯啶顺丁烯二盐酸
-
英文别名
2-Propen-1-one (1-[4-[2-oxo-2-(1-pyrrolidinyl)ethyl]-1-piperazinyl]-3-(3,4,5-trimethoxyphenyl) Cinepazide Mateate brendil MFCD01320526 EINECS 247-613-1 DD-3357 maleatedecinepazide vasodistal Cinepazide (Maleate) -
常用名马来酸桂哌齐特
-
C A S号26328-04-1
-
密度1.256
-
沸点637.8ºC at 760 mmHg
-
熔点N/A
-
化学式C26H35N3O9
-
结构式
-
闪点339.5ºC
-
分子量533.57100
-
精确质量533.23700
-
P S A146.15000
-
外观形状白色或灰白色结晶粉末
-
储存条件
-
稳定性
-
水溶解性
-
形态为白色结晶.无臭,味苦.
2. 密度(g/mL,25/4℃):未确定 -
H L B值
-
粘度
-
PH值
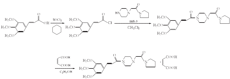
1. 3,4,5-三甲氧基肉桂酰氯的制备
在反应瓶中加入3,4,5-三甲氧基肉桂酸2.3g(9.8mmol)和环己烷10ml,搅拌悬浮,搅拌下滴加氯化亚砜7.2g,滴加时控制温度不超过20ºC,加毕,搅10min.室温放置过夜.低于50ºC,减压蒸除氯化亚砜,加入环己烷2.4ml重蒸一次,溶于6ml二氯甲烷中备用.
2. 1-[(1-四氢吡咯羰基)甲基]-4-(3,4,5-三甲氧基肉桂酰基)哌嗪的制备
在反应瓶中加入(1-四氢吡咯羰基)甲基哌嗪1.6g(8.1mmol)和二氯甲烷16ml,搅拌溶解,冰浴冷却及搅拌下滴加上步含3,4,5-三甲氧基肉桂酰氯的二氯甲烷溶液,滴加过程保持内温10 ºC,加毕,室温搅拌4h.加入水10ml,充分振摇.分出水层,有机层加入15%盐酸10ml,充分振摇.将两次水层合并,用5%NaOH溶液中和至pH9~10.二氯甲烷(10ml×3)提取,合并有机层,饱和NaCl水溶液(10ml×2)洗,无水Na2SO4干燥过夜.过滤,滤液减压蒸除回收溶剂#得到棕色黏稠剩余物1-[(1-四氢吡咯羰基)甲基]-4-(3,4,5-三甲氧基肉桂酰基)哌嗪2.34g,收率69.4%.
3. 1-[(1-四氢吡咯羰基)甲基]-4(3,4,5-三甲氧基肉桂酰基)哌嗪马来酸盐(马来酸桂哌齐特)的合成
在反应瓶中加入1-[(1-四氢吡咯羰基)甲基]-4-(3,4,5-三甲氧基肉桂酰基)哌嗪0.42g(1.006mol)和无水乙醇4.4ml,搅拌溶解.在另一反应瓶中加入马来酸0.14g(1.2mmol)和无水乙醇0.6ml,搅拌溶解,然后加1-[(1-四氢吡咯羰基)甲基]-4-(3,4,5-三甲氧基肉桂酰基)哌嗪的无水乙醇溶液,室温搅拌10min后,静置6h.得到1-[(1-四氢吡咯羰基)甲基]-4(3,4,5-三甲氧基肉桂酰基)哌嗪马来酸盐(马来酸桂哌齐特)0.27g色结晶,收率51.9%,mp130~132 ºC.
| 符号 |
GHS07 |
|---|---|
| 信号词 | Warning |
| 危害声明 | H302 |
| 警示性声明 | P301 + P312 + P330 |
| 危险品运输编码 | NONH for all modes of transport |
| WGK德国 | 3 |
| 海关编码 | 2942000000 |

搜索







