提示
提示
完成工程师认证,即可发布配方
非PLUS会员您暂未开通PLUS会员,请选择您的会员套餐
套餐选择:
特权
支付方式:
支付金额:
说豆
支付金额:
说币
扫码购买使用支付宝APP扫码完成支付
支付剩余时间:
支付金额
¥
塞曲司特

塞曲司特

Seratrodast(AA 2414)是血栓素A2受体(TP)拮抗剂。
产品名称
  • 中文名
    塞曲司特
  • 英文名
    Seratrodast
  • 中文别名
    (±)-G-(2,4,5-三甲基-3,6-二氧-1,4-环己二烯-1-基)苯庚酸 | 7-(3,5,6-三甲基-1,4-苯醌-2-基)-7-苯基庚酸 | 西拉达司
  • 英文别名
    7-Phenyl-7-(2,4,5-trimethyl-3,6-dioxocyclohexa-1,4-dien-1-yl)heptanoic acid
    Benzeneheptanoic acid, ζ-(2,4,5-trimethyl-3,6-dioxo-1,4-cyclohexadien-1-yl)-
    Bronica
    MFCD00875701
    7-Phenyl-7-(2,4,5-trimethyl-3,6-dioxo-1,4-cyclohexadien-1-yl)heptanoic acid
  • 常用名
    塞曲司特
  • C A S号
    112665-43-7
物理性质
  • 密度
    1.1±0.1 g/cm3
  • 沸点
    522.3±49.0 °C at 760 mmHg
  • 熔点
    118-120°C
  • 化学式
    C22H26O4
  • 结构式

    1、 摩尔折射率:99.96

    2、 摩尔体积(cm3/mol):312.1

    3、 等张比容(90.2K):806.2

    4、 表面张力(dyne/cm):44.5

    5、 极化率(10-24cm3):39.63

  • 闪点
    283.8±26.3 °C
  • 分子量
    354.439
  • 精确质量
    354.183105
  • P S A
    71.44000
  • 外观形状
    淡橙色固体
  • 储存条件
    Store at +4°C
  • 稳定性
  • 水溶解性
  • 形态
  • H L B值
  • 粘度
  • PH值
作用/用途
Seratrodast(AA 2414)是血栓素A2受体(TP)拮抗剂。
制备方法

2,3,5-三甲基氢醌和7-羟基苯庚酸溶于甲苯,加入D-樟脑-10-磺酸,在70℃下搅拌20h.反应液浓缩后,剩余物用10%三氯化铁水溶液氧化.经处理后,再层析得到产物.112665-43-7 preparation

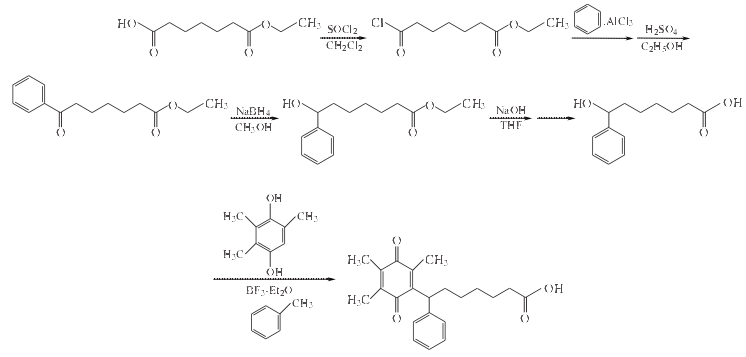
1. 6-氯甲酰基-己酸乙酯的制备

在反应瓶中加入6-(乙氧羰基己酸)120g(0.64mol)(该化合物根据文献[6]合成,bp144~148ºC/666.61Pa)、二氯甲烷200ml,搅拌溶解,于环境温度下往该混合物中加入氯化亚砜92.0ml(1.28mol),混合物升温到50ºC,在此温度下搅拌2h后,减压蒸除溶剂,剩余物减压蒸馏,收集bp90~91ºC/39.9966Pa)馏分,得无色液体129g,收率98%,直接用于下步反应.

2. 7-苯庚酸乙酯-7-酮的制备

在反应瓶中加入苯71ml(0.80mol)和无水三氯化铝53.2(0.20mol),搅拌悬浮,并降温至5ºC,搅拌下滴加6-氯甲酰基-己酸乙酯41.3g(0.2mol),40min滴加完,将混合物升温至90ºC,搅拌反应2h.冷却至室温,反应混合物倾入到碎冰400g/浓盐酸40ml中.搅拌20min后,用乙酸乙酯500ml分3次提取,分出有机层用饱和盐水洗,无水硫酸钠干燥,减压浓缩蒸除溶剂得油状物46.5g.

在反应瓶加入上述油状物46.5g和乙醇200ml,搅拌溶解,往该溶液再加入浓硫酸2ml,将混合物加热至80ºC回流2h.冷却,加入碳酸氢钠水溶液中和,减压浓缩回收乙醇.加入乙酸乙酯400ml提取,分出有机层,饱和盐水,洗涤,干燥,蒸发溶剂后得油状物7-苯庚酸乙酯-7-酮可直接用于下一步反应.

3. 7-羟基-7-苯庚酸乙酯的制备

在反应瓶中加入油状物7-苯庚酸乙酯-7-酮一批量,再加入甲醇300ml,搅拌溶解,冷却至0ºC后,在10min内分批加入NaBH4 4.5g(0.12mol).在其同样的条件下继续搅拌30min.加入丙酮13ml和甲醇,终止反应.减压下浓缩回收甲醇,往剩余物中加入乙酸乙酯400ml和水300ml,分出乙酸乙酯层,盐水洗,干燥,浓缩,得7-羟基-7-苯庚酸乙酯的油状物,可用于下一步反应.

4. 4. 7-羟基-7-苯庚酸的制备

在反应瓶中加入7-羟基-7-苯庚酸乙酯油状物一批量,再加入THF(四氢呋喃)200ml和2.5mol/L氢氧化钠水溶

液200ml的混合液,将该反应混合物于70ºC搅拌回流3h.冷却后加入异丙醚(IPE)200ml和饱和食盐水200ml,分出水层,水层用IPE65ml洗涤,用4mol/L盐酸酸化至pH3,乙酸乙酯500ml分3次提取,合并提取液,依次用水、盐水洗,干燥,浓缩(减压下)得4. 7-羟基-7-苯庚酸油状物42.2g,收率95%.

5. 塞曲司特的合成

在反应瓶中加入三甲基氢醌28.9g(190mmol)、4. 7-羟基-7-苯庚酸42.2g(190mmol)和甲苯570ml,在60ºC下20min内滴加三氟化硼乙醚配合物8.1g(57mmol),加毕,在相同的条件下搅拌2h.然后减压浓缩至干,将剩余物用THF300ml溶解,再加入1.5mol/LFeCl3溶液300ml(在室温下进行),混合物继续搅拌30min.减压浓缩,剩余物用乙酸乙酯500ml提取,提取液用盐水洗,干燥,将乙酸乙酯层通过硅胶(色谱用)100g过滤,再用乙酸乙酯300ml洗硅胶,合并乙酸乙酯液,减压浓缩至干,剩余物用乙醇重结晶,得到塞曲司特的橙黄色结晶49.0g,收率73%,回收母液中的塞曲司特可得8.4g,总共得57.4g,则收率为85.3%,mp128~129ºC.

112665-43-7 preparation

安全提醒
MSDS
塞曲司特 修改号码:5.3

模块1. 化学品
产品名称: Seratrodast
修改号码: 5.3

模块2. 危险性概述
GHS分类
 物理性危害未分类
 健康危害
急性毒性(经口) 第5级
生殖毒性 第2级
 环境危害未分类
GHS标签元素
 图标或危害标志
 信号词警告
 危险描述吞咽可能有害。
怀疑会损害生育能力或胎儿
 防范说明
[预防]使用前获取特定手册。
处理前必须阅读并理解所有安全措施。
使用个人所需的防护用具。
[急救措施] 如接触到或相关接触:求医/就诊。
[储存]存放处须加锁。
[废弃处置] 根据当地政府规定把物品/容器交与工业废弃处理机构。

模块3. 成分/组成信息
单一物质/混和物单一物质
化学名(中文名):塞曲司特
百分比: >98.0%(HPLC)(T)
CAS编码: 112665-43-7
分子式: C22H26O4
塞曲司特 修改号码:5.3

模块4. 急救措施
吸入: 将受害者移到新鲜空气处,保持呼吸通畅,休息。求医/就诊。
皮肤接触: 立即去除/脱掉所有被污染的衣物。用大量肥皂和水轻轻洗。
求医/就诊。
眼睛接触:用水小心清洗几分钟。如果方便,易操作,摘除隐形眼镜。
求医/就诊。
食入: 求医/就诊。漱口。
紧急救助者的防护:救援者需要穿戴个人防护用品,比如橡胶手套和气密性护目镜。

模块5. 消防措施
合适的灭火剂:干粉,泡沫,雾状水,二氧化碳
特定方法:从上风处灭火,根据周围环境选择合适的灭火方法。
非相关人员应该撤离至安全地方。
周围一旦着火:如果安全,移去可移动容器。
消防员的特殊防护用具:灭火时,一定要穿戴个人防护用品。

模块6. 泄漏应急处理
个人防护措施,防护用具, 使用特殊的个人防护用品(针对有毒颗粒的P3过滤式空气呼吸器)。远离溢出物/泄露
紧急措施:处并处在上风处。
泄露区应该用安全带等圈起来,控制非相关人员进入。
环保措施:防止进入下水道。
控制和清洗的方法和材料:清扫收集粉尘,封入密闭容器。注意切勿分散。附着物或收集物应该立即根据合适的
法律法规处置。

模块7. 操作处置与储存
处理
技术措施:在通风良好处进行处理。穿戴合适的防护用具。防止粉尘扩散。处理后彻底清洗双手
和脸。
注意事项:如果可能,使用封闭系统。如果粉尘或浮质产生,使用局部排气。
操作处置注意事项:避免所有部位的接触!
贮存
储存条件:保持容器密闭。冷冻储存。
存放处须加锁。
远离不相容的材料比如氧化剂存放。
热敏
包装材料:依据法律。

模块8. 接触控制和个体防护
工程控制:尽可能安装封闭体系或局部排风系统。同时安装淋浴器和洗眼器。
个人防护用品
 呼吸系统防护: 防尘面具,自携式呼吸器(SCBA),供气呼吸器等。使用通过政府标准的呼吸器。依
据当地和政府法规。
 手部防护:防渗手套。
 眼睛防护:护目镜。如果情况需要,佩戴面具。
 皮肤和身体防护:防渗防护服。如果情况需要,穿戴防护靴。

模块9. 理化特性
固体
外形(20°C):
外观: 晶体-粉末
颜色: 浅黄色-红黄色
塞曲司特 修改号码:5.3

模块9. 理化特性
气味:无资料
pH:无数据资料
熔点:
128°C
沸点/沸程无资料
闪点:无资料
爆炸特性
 爆炸下限:无资料
 爆炸上限:无资料
密度:无资料
溶解度:
[水]无资料
[其他溶剂]无资料

模块10. 稳定性和反应性
化学稳定性:一般情况下稳定。
危险反应的可能性:未报道特殊反应性。
须避免接触的物质氧化剂
危险的分解产物: 一氧化碳, 二氧化碳

模块11. 毒理学信息
急性毒性: orl-rat LD50:3750 mg/kg
scu-rat LD50:>5 g/kg
ipr-rat LD50:1350 mg/kg
对皮肤腐蚀或刺激:无资料
对眼睛严重损害或刺激:无资料
生殖细胞变异原性:无资料
致癌性:
IARC =无资料
NTP =无资料
生殖毒性:无资料
RTECS 号码: DA1600050

模块12. 生态学信息
生态毒性:
鱼类:无资料
甲壳类:无资料
藻类:无资料
残留性 / 降解性:无资料
潜在生物累积 (BCF):无资料
土壤中移动性
 log水分配系数:无资料
 土壤吸收系数 (Koc):无资料
 亨利定律无资料
constant(PaM3/mol):

模块13. 废弃处置
如果可能,回收处理。请咨询当地管理部门。建议在可燃溶剂中溶解混合,在装有后燃和洗涤装置的化学焚烧炉中
焚烧。废弃处置时请遵守国家、地区和当地的所有法规。
塞曲司特 修改号码:5.3

模块14. 运输信息
联合国分类:与联合国分类标准不一致
UN编号:未列明

模块15. 法规信息
《危险化学品安全管理条例》(2002年1月26日国务院发布,2011年2月16日修订): 针对危险化学品的安全使用、
生产、储存、运输、装卸等方面均作了相应的规定。


模块16 - 其他信息
N/A
原料简介
应用范围
毒性和生态
安全信息
符号 GHS08
GHS08
信号词 Warning
危害声明 H361d
警示性声明 P201-P308 + P313
危害码 (欧洲) Xi
风险声明 (欧洲) R36/37/38:Irritating to eyes, respiratory system and skin .
安全声明 (欧洲) S26-S24/25
危险品运输编码 3336
WGK德国 3
RTECS号 TZ2585500
包装等级 III
危险类别 6.1
海关编码 29309070
是否危险品
危险性
危险类别码
危险等级
触发危险方式
安全技术说明书
环境影响程度
包装与储运
相关供应商