富马酸喹硫平
-
中文名喹硫平半富马酸盐
-
英文名Quetiapine Fumarate
-
中文别名喹硫平富马酸盐 | 富马酸喹硫平
-
英文别名
MFCD03423782 2-[2-(4-Dibenzo[b,f][1,4]thiazepin-11-yl-1-piperazinyl)ethoxy]ethanol hemifumarate Quetiapine Hemifumarate 2-{2-[4-(Dibenzo[b,f][1,4]thiazepin-11-yl)-1-piperazinyl]ethoxy}ethanol 2-butenedioate (2:1) Quetiapine fumarate Ethanol, 2-[2-(4-dibenzo[b,f][1,4]thiazepin-11-yl-1-piperazinyl)ethoxy]-, 2-butenedioate (2:1) (salt) Quetiapine hemifumarate salt Quetiapine (fumarate) -
常用名富马酸喹硫平
-
C A S号111974-72-2
-
密度N/A
-
沸点556.5ºC at 760 mmHg
-
熔点174-176°C
-
化学式C23H27N3O4S
-
结构式
1、摩尔折射率:无可用的
2、摩尔体积(cm3/mol):无可用的
3、等张比容(90.2K):无可用的
4、表面张力(dyne/cm):无可用的
5、介电常数:无可用的
6、极化率(10-24cm3):无可用的
7、单一同位素质量:882.344453 Da
8、标称质量:882 Da
9、平均质量:883.0864 Da
-
闪点290.4ºC
-
分子量441.54
-
精确质量
-
P S A221.80000
-
外观形状白色结晶固体
-
储存条件-20°C Freezer
-
稳定性
-
水溶解性
-
形态白色结晶性粉末
-
H L B值
-
粘度
-
PH值
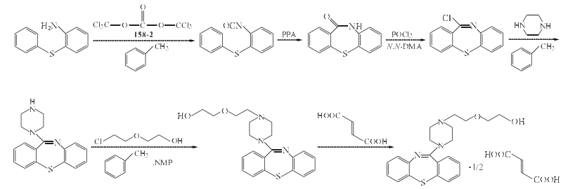
1. 2-异氰酸基二苯硫醚的制备
在反应瓶中加入2-氨基二苯硫醚20g(0.1mol)和甲苯125ml,在0~5ºC缓慢滴加三光气11.9g(0.04mol)的甲苯50ml溶液,加毕,升温至60ºC搅拌反应1h.反应液至澄清后,通入氮气除尽产生的光气,蒸除溶剂,得无色油状物2-异氰酸基二苯硫醚22g,直接用于下步反应.
2. 10H-二苯并[b,f][1,4]硫氮杂-11-酮 的制备
在反应瓶中加入上步一批量的2-异氰酸基二苯硫醚和多聚磷酸120g,升温至50ºC搅拌溶解,然后加热至100ºC搅拌反应3h.反应液由无色透明逐渐变黄,当颜色不再变化时结束反应,自然冷却至50ºC,剧烈搅拌下转
至冰水200ml中,析出固体,过滤,滤饼水洗,丙酮洗,得白色固体10H-二苯并[b,f][1,4]硫氮杂-11-酮21g, 收率96%(以2-氨基二苯醚计),mp259~260 ºC.
3. 11-氯-二苯并[b,f][1,4]硫氮杂的 的制备
在反应瓶中加入POCl2 100ml(1.07mol)、N,N-二甲基苯胺6g和10H-二苯并[b,f][1,4]硫氮杂-11-酮 18.2g(0.08mol),搅拌均匀,在氮气保护下加热回流反应4h.TLC跟踪[展开剂:乙醚/石油醚(1:1),R1=0.7].反应毕,减压蒸除溶剂,剩余物为褐色糊状物,溶于甲苯250ml,搅拌下转至冰水50ml中,静置30min后,分出甲苯层,水(50m×2)洗,无水硫酸镁干燥,过滤,滤液浓缩至体积50ml,直接用于下一步反应.
4. 11-哌嗪基二苯并[b,f][1,4] 硫氮杂 的制备
在反应瓶中加入上步所得的11-氯-二苯并[b,f][1,4]硫氮杂的 甲苯溶液(一批量),在室温下滴加(搅拌下)无水哌嗪17.2g(0.2mol)的甲苯溶液100ml,1h内加完,加热搅拌回流3h{TLC跟踪[展开剂:乙醚/石油醚(1:1),R1=0.5]}.反应毕,过滤,滤液水(100ml×2)洗,无水硫酸镁干燥,过滤,滤液直接用于下步反应.
5. 11-[4-[2-(2-羟基乙氧基)乙基]-1-哌嗪基]二苯并[b,f][1,4]硫氮杂 半富马酸盐(半富马酸喹硫平)的合成
在反应瓶中加入上步11-哌嗪基二苯并[b,f][1,4] 硫氮杂 的甲苯溶液,N-甲基吡咯烷酮50ml、2-(2-氯乙氧基)乙醇10.0g(0.08mol)、Na2CO3 17.0g(0.16mol)和少量NaI,搅拌加热回流24h.TLC跟踪[展开剂:甲醇/二氯甲烷(1:9),Rf=0.5].反应毕,减压蒸除甲苯,剩余物加入乙酸乙酯200ml,冰水洗至中性,无水硫酸镁干燥,过滤,滤液减压蒸除乙酸乙酯,得油状喹硫平.将油状喹硫平溶于无水乙醇100ml,加入富马酸4.6g(0.04mol),加热搅拌回流30min,冷却,静置过夜析晶.过滤,滤饼用无水乙醇洗,干燥,得黄色晶体11-[4-[2-(2-羟基乙氧基)乙基]-1-哌嗪基]二苯并[b,f][1,4]硫氮杂 半富马酸盐(半富马酸喹硫平)23.4g,收率66.3%,mp170~171.5 ºC,纯度>99%,(RP-HPLC法).
|
喹硫平富马酸盐
修改号码:4
模块1. 化学品 产品名称: Quetiapine Hemifumarate 修改号码: 4 模块2. 危险性概述 GHS分类 物理性危害未分类
健康危害 急性毒性(经口) 第4级 特异性靶器官毒性神经系统 - 单一接触 [第1级] 环境危害未分类 GHS标签元素 图标或危害标志 信号词危险 危险描述吞咽有害。 对器官引起损害: 神经系统 防范说明 [预防]切勿吸入。 使用本产品时切勿吃东西,喝水或吸烟。 处理后要彻底清洗双手。 [急救措施] 食入:若感不适,呼叫解毒中心/医生。漱口。 如接触到:呼叫解毒中心/医生。 [储存]存放处须加锁。 [废弃处置] 根据当地政府规定把物品/容器交与工业废弃处理机构。 模块3. 成分/组成信息 单一物质/混和物单一物质 化学名(中文名):喹硫平富马酸盐 百分比: >98.0%(LC)(T) CAS编码: 111974-72-2 分子式: C21H25N3O2S·½C4H4O4 喹硫平富马酸盐 修改号码:4 模块4. 急救措施 吸入: 将受害者移到新鲜空气处,保持呼吸通畅,休息。立即呼叫解毒中心/医生。 皮肤接触: 立即去除/脱掉所有被污染的衣物。用大量肥皂和水轻轻洗。 呼叫解毒中心/医生。 眼睛接触:用水小心清洗几分钟。如果方便,易操作,摘除隐形眼镜。 立即呼叫解毒中心/医生。 食入: 呼叫解毒中心/医生。漱口。 紧急救助者的防护:救援者需要穿戴个人防护用品,比如橡胶手套和气密性护目镜。 模块5. 消防措施 合适的灭火剂:干粉,泡沫,雾状水,二氧化碳 特殊危险性:小心,燃烧或高温下可能分解产生毒烟。 特定方法:从上风处灭火,根据周围环境选择合适的灭火方法。 非相关人员应该撤离至安全地方。 周围一旦着火:如果安全,移去可移动容器。 消防员的特殊防护用具:灭火时,一定要穿戴个人防护用品。 模块6. 泄漏应急处理 个人防护措施,防护用具, 使用特殊的个人防护用品(针对有毒颗粒的P3过滤式空气呼吸器)。远离溢出物/泄露 紧急措施:处并处在上风处。 泄露区应该用安全带等圈起来,控制非相关人员进入。 环保措施:防止进入下水道。 控制和清洗的方法和材料:清扫收集粉尘,封入密闭容器。注意切勿分散。附着物或收集物应该立即根据合适的 法律法规处置。 模块7. 操作处置与储存 处理 技术措施:在通风良好处进行处理。穿戴合适的防护用具。防止粉尘扩散。处理后彻底清洗双手 和脸。 注意事项:如果可能,使用封闭系统。如果粉尘或浮质产生,使用局部排气。 操作处置注意事项:避免接触皮肤、眼睛和衣物。 贮存 储存条件:保持容器密闭。冷藏储存。 存放处须加锁。 远离不相容的材料比如氧化剂存放。 热敏 包装材料:依据法律。 模块8. 接触控制和个体防护 工程控制:尽可能安装封闭体系或局部排风系统。同时安装淋浴器和洗眼器。 个人防护用品 呼吸系统防护: 防尘面具,自携式呼吸器(SCBA),供气呼吸器等。使用通过政府标准的呼吸器。依 据当地和政府法规。 手部防护:防渗手套。 眼睛防护:护目镜。如果情况需要,佩戴面具。 皮肤和身体防护:防渗防护服。如果情况需要,穿戴防护靴。 模块9. 理化特性 固体 外形(20°C): 喹硫平富马酸盐 修改号码:4 模块9. 理化特性 外观: 晶体-粉末 颜色: 白色-极淡的黄色 气味:无资料 pH:无数据资料 熔点: 174°C 沸点/沸程无资料 闪点:无资料 爆炸特性 爆炸下限:无资料 爆炸上限:无资料 密度:无资料 溶解度:溶于: 二甲基甲酰胺 微溶于: 甲醇 极微溶于: 水 乙醇 不溶于: 乙腈 醚 log水分配系数 = 2.59 模块10. 稳定性和反应性 化学稳定性:一般情况下稳定。 危险反应的可能性:未报道特殊反应性。 须避免接触的物质氧化剂 危险的分解产物: 一氧化碳, 二氧化碳, 氮氧化物 (NOx), 硫氧化物 模块11. 毒理学信息 急性毒性:无资料 对皮肤腐蚀或刺激:无资料 对眼睛严重损害或刺激:无资料 生殖细胞变异原性:无资料 致癌性: IARC =无资料 NTP =无资料 生殖毒性:无资料 RTECS 号码: KK3605000 模块12. 生态学信息 生态毒性: 鱼类:无资料 甲壳类:无资料 藻类:无资料 残留性 / 降解性:无资料 潜在生物累积 (BCF):无资料 土壤中移动性 log水分配系数: 2.59 土壤吸收系数 (Koc):无资料 亨利定律无资料 constant(PaM3/mol): 模块13. 废弃处置 如果可能,回收处理。请咨询当地管理部门。建议在可燃溶剂中溶解混合,在装有后燃和洗涤装置的化学焚烧炉中 焚烧。废弃处置时请遵守国家、地区和当地的所有法规。 喹硫平富马酸盐 修改号码:4 模块14. 运输信息 联合国分类:与联合国分类标准不一致 UN编号:未列明 模块15. 法规信息 《危险化学品安全管理条例》(2002年1月26日国务院发布,2011年2月16日修订): 针对危险化学品的安全使用、 生产、储存、运输、装卸等方面均作了相应的规定。 模块16 - 其他信息 N/A |
| 符号 |
GHS07, GHS09 |
|---|---|
| 信号词 | Warning |
| 危害声明 | H302-H400 |
| 警示性声明 | P273 |
| 危害码 (欧洲) | T,F |
| 风险声明 (欧洲) | R45:May cause cancer. R10:Flammable. |
| 安全声明 (欧洲) | S53-S45 |
| 危险品运输编码 | UN 3295 3/PG 3 |
| WGK德国 | 3 |
| RTECS号 | PC1075000 |
| 包装等级 | III |
| 危险类别 | 3 |
| 海关编码 | 2934999090 |

搜索







