依巴斯汀
Ebastine(LAS-W 090;RP64305)是长效的H1组胺受体拮抗剂。
产品名称
-
中文名依巴斯汀
-
英文名Ebastine
-
中文别名艾巴斯汀 | 5-氨基-四唑一水合物 | 1-(4-叔丁基苯基)-4-[4-(二苯基甲氧基)-1-哌啶基]-1-丁酮 | 1-[4-(1,1-二甲基乙基)苯基]-4-[4-(二苯基甲氧基)-1-哌啶基]-1-丁酮
-
英文别名
4-Diphenylmethoxy-1-[3-(4-tert-butylbenzoyl)propyl]piperidine 4'-tert-Butyl-4-[4-(diphenylmethoxy)piperidino]butyrophenone Ebastinum [Latin] [14C]-Ebastine carebastine 4-diphenylmethoxy-1-[3-(4-tert-butylbenzoyl)propyl]-piperidine Ebastina [Spanish] 4-[4-(Diphenylmethoxy)-1-piperidinyl]-1-[4-(2-methyl-2-propanyl)phenyl]-1-butanone Kestine LAS W-090 1-(4-tert-butylphenyl)-4-[4-(diphenylmethoxy)piperidin-1-yl]butan-1-one MFCD00865661 Ebastel 1-Butanone, 1-[4-(1,1-dimethylethyl)phenyl]-4-[4-(diphenylmethoxy)-1-piperidinyl]- 1-[4-(1,1-Dimethylethyl)phenyl]-4-[4-(diphenylmethoxy)-1-piperidinyl]-1-butanone Ebastin Ebastine Estivan -
常用名依巴斯汀
-
C A S号90729-43-4
物理性质
-
密度1.1±0.1 g/cm3
-
沸点596.3±50.0 °C at 760 mmHg
-
熔点80-82°C
-
化学式C32H39NO2
-
结构式
1、 摩尔折射率:144.65
2、 摩尔体积(cm3/mol):428.5
3、 等张比容(90.2K):1125.0
4、 表面张力(dyne/cm):47.4
5、 极化率(10-24cm3):57.34
-
闪点314.5±30.1 °C
-
分子量469.658
-
精确质量469.298065
-
P S A29.54000
-
外观形状
-
储存条件Room temp
-
稳定性
-
水溶解性
-
形态
-
H L B值
-
粘度
-
PH值
作用/用途
Ebastine(LAS-W 090;RP64305)是长效的H1组胺受体拮抗剂。
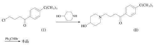
制备方法
用化合物(I)对4-哌啶醇进行烷基化,得化合物(Ⅱ)。再用二苯甲基溴进行烷基化,即得依巴斯汀。
安全提醒
MSDS
|
1.1 产品标识符
: Ebastine 产品名称 1.2 鉴别的其他方法 1-[4-(1,1-Dimethylethyl)phenyl]-4-[4-(diphenylmethoxy)-1-piperidinyl]-1-butanone 1.3 有关的确定了的物质或混合物的用途和建议不适合的用途 仅供科研用途,不作为药物、家庭备用药或其它用途。
模块2. 危险性概述 2.1 GHS分类 慢性水生毒性 (类别4) 2.2 GHS 标记要素,包括预防性的陈述 象形图无 警示词无 危险申明 H413可能对水生生物造成长期持续有害影响。 警告申明 预防 P273避免释放到环境中。 处理 P501将内容物/ 容器处理到得到批准的废物处理厂。 2.3 其它危害物 - 无 模块3. 成分/组成信息 3.1 物 质 : 1-[4-(1,1-Dimethylethyl)phenyl]-4-[4-(diphenylmethoxy)-1-piperidinyl]-1- 别名 butanone : C32H39NO2 C32H39NO2 分子式 : 469.66 g/mol 分子量 组分浓度或浓度范围 Ebastine - CAS 号90729-43-4 模块4. 急救措施 4.1 必要的急救措施描述 一般的建议 请教医生。 出示此安全技术说明书给到现场的医生看。 吸入 如果吸入,请将患者移到新鲜空气处。 如果停止了呼吸,给于人工呼吸。 请教医生。 皮肤接触 用肥皂和大量的水冲洗。 请教医生。 眼睛接触 用水冲洗眼睛作为预防措施。 食入 切勿给失去知觉者从嘴里喂食任何东西。 用水漱口。 请教医生。 4.2 主要症状和影响,急性和迟发效应 据我们所知,此化学,物理和毒性性质尚未经完整的研究。 4.3 及时的医疗处理和所需的特殊处理的说明和指示 无数据资料 模块5. 消防措施 5.1 灭火介质 灭火方法及灭火剂 用水雾,耐醇泡沫,干粉或二氧化碳灭火。 5.2 源于此物质或混合物的特别的危害 碳氧化物, 氮氧化物 5.3 给消防员的建议 如必要的话,戴自给式呼吸器去救火。 5.4 进一步信息 无数据资料 模块6. 泄露应急处理 6.1 人员的预防,防护设备和紧急处理程序 防止粉尘的生成。 防止吸入蒸汽、气雾或气体。 保证充分的通风。 6.2 环境保护措施 在确保安全的前提下,采取措施防止进一步的泄漏或溢出。 不要让产物进入下水道。 防止排放到周围环境中。 6.3 抑制和清除溢出物的方法和材料 收集、处理泄漏物,不要产生灰尘。 扫掉和铲掉。 存放进适当的闭口容器中待处理。 6.4 参考其他部分 丢弃处理请参阅第13节。 模块7. 操作处置与储存 7.1 安全操作的注意事项 在有粉尘生成的地方,提供合适的排风设备。一般性的防火保护措施。 7.2 安全储存的条件,包括任何不兼容性 贮存在阴凉处。 容器保持紧闭,储存在干燥通风处。 7.3 特定用途 无数据资料 模块8. 接触控制和个体防护 8.1 容许浓度 最高容许浓度 没有已知的国家规定的暴露极限。 8.2 暴露控制 适当的技术控制 按照良好工业和安全规范操作。 休息前和工作结束时洗手。 个体防护设备 眼/面保护 请使用经官方标准如NIOSH (美国) 或 EN 166(欧盟) 检测与批准的设备防护眼部。 皮肤保护 戴手套取 手套在使用前必须受检查。 请使用合适的方法脱除手套(不要接触手套外部表面),避免任何皮肤部位接触此产品. 使用后请将被污染过的手套根据相关法律法规和有效的实验室规章程序谨慎处理. 请清洗并吹干双手 所选择的保护手套必须符合EU的89/686/EEC规定和从它衍生出来的EN 376标准。 身体保护 根据危险物质的类型,浓度和量,以及特定的工作场所来选择人体保护措施。, 防护设备的类型必须根据特定工作场所中的危险物的浓度和含量来选择。 呼吸系统防护 不需要保护呼吸。如需防护粉尘损害,请使用N95型(US)或P1型(EN 143)防尘面具。 呼吸器使用经过测试并通过政府标准如NIOSH(US)或CEN(EU)的呼吸器和零件。 模块9. 理化特性 9.1 基本的理化特性的信息 a) 外观与性状 形状: 固体 b) 气味 无数据资料 c) 气味阈值 无数据资料 d) pH值 无数据资料 e) 熔点/凝固点 无数据资料 f) 起始沸点和沸程 无数据资料 g) 闪点 无数据资料 h) 蒸发速率 无数据资料 i) 易燃性(固体,气体) 无数据资料 j) 高的/低的燃烧性或爆炸性限度 无数据资料 k) 蒸汽压 无数据资料 l) 蒸汽密度 无数据资料 m) 相对密度 无数据资料 n) 水溶性 无数据资料 o) n-辛醇/水分配系数 辛醇--水的分配系数的对数值: 6.865 p) 自燃温度 无数据资料 q) 分解温度 无数据资料 r) 粘度 无数据资料 模块10. 稳定性和反应活性 10.1 反应性 无数据资料 10.2 稳定性 无数据资料 10.3 危险反应的可能性 无数据资料 10.4 应避免的条件 无数据资料 10.5 不兼容的材料 强氧化剂 10.6 危险的分解产物 其它分解产物 - 无数据资料 模块11. 毒理学资料 11.1 毒理学影响的信息 急性毒性 皮肤刺激或腐蚀 无数据资料 眼睛刺激或腐蚀 无数据资料 呼吸道或皮肤过敏 无数据资料 生殖细胞突变性 无数据资料 致癌性 IARC: 此产品中没有大于或等于 0。1%含量的组分被 IARC鉴别为可能的或肯定的人类致癌物。 生殖毒性 致畸性 - 大鼠 - 经口 父体效应:前列腺、精囊、库伯氏腺、附腺。 发育毒性 - 大鼠 - 经口 对胚胎或胎儿的影响:其他对胚胎的影响。 对新生儿的影响:生长统计数据(例如体重增长的减少)。 特异性靶器官系统毒性(一次接触) 无数据资料 特异性靶器官系统毒性(反复接触) 无数据资料 吸入危险 无数据资料 潜在的健康影响 吸入吸入可能有害。 可能引起呼吸道刺激。 摄入如服入是有害的。 皮肤如果通过皮肤吸收可能是有害的。 可能引起皮肤刺激。 眼睛可能引起眼睛刺激。 接触后的征兆和症状 据我们所知,此化学,物理和毒性性质尚未经完整的研究。 附加说明 化学物质毒性作用登记: EL8140000 模块12. 生态学资料 12.1 生态毒性 无数据资料 12.2 持久存留性和降解性 无数据资料 12.3 潜在的生物蓄积性 无数据资料 12.4 土壤中的迁移性 无数据资料 12.5 PBT 和 vPvB的结果评价 无数据资料 12.6 其它不利的影响 无数据资料 模块13. 废弃处置 13.1 废物处理方法 产品 将剩余的和未回收的溶液交给处理公司。 联系专业的拥有废弃物处理执照的机构来处理此物质。 与易燃溶剂相溶或者相混合,在备有燃烧后处理和洗刷作用的化学焚化炉中燃烧 受污染的容器和包装 作为未用过的产品弃置。 模块14. 运输信息 14.1 联合国危险货物编号 欧洲陆运危规: -国际海运危规: -国际空运危规: - 14.2 联合国(UN)规定的名称 欧洲陆运危规: 非危险货物 国际海运危规: 非危险货物 国际空运危规: 非危险货物 14.3 运输危险类别 欧洲陆运危规: -国际海运危规: -国际空运危规: - 14.4 包裹组 欧洲陆运危规: -国际海运危规: -国际空运危规: - 14.5 环境危险 欧洲陆运危规: 否国际海运危规 海运污染物: 否国际空运危规: 否 14.6 对使用者的特别提醒 无数据资料 模块 15 - 法规信息 N/A 模块16 - 其他信息 N/A |
原料简介
应用范围
毒性和生态
安全信息
| 危害声明 | H413 |
|---|---|
| 个人防护装备 | Eyeshields;Gloves;type N95 (US);type P1 (EN143) respirator filter |
| 危险品运输编码 | NONH for all modes of transport |
| RTECS号 | EL8140000 |
是否危险品
危险性
危险类别码
危险等级
触发危险方式
安全技术说明书
环境影响程度
包装与储运
相关供应商







