4,4'-亚甲基双(异氰酸苯酯)
【用途一】
用于生产聚氨酯弹性体,制造合成纤维、人造革、无溶剂涂料等
用于生产聚氨酯弹性体,制造合成纤维、人造革、无溶剂涂料等
产品名称
-
中文名双(4-异氰酸酯基苯基)甲烷
-
英文名4,4'-Diphenylmethane diisocyanate
-
中文别名4,4'-亚甲基双(异氰酸苯酯) | 二苯基甲烷-4,4'-二异氰酸酯 | 二苯甲烷二异氰酸酯 | 二苯基甲烷二异氰酸酯
-
英文别名
EINECS 202-966-0 4,4′-Methylenebis(phenyl isocyanate) 4,4'-Methylenediphenyl diisocyanate 4,4'-Methylenebis(phenyl isocyanate) diphenylmethane-4,4'-diisocyanate MFCD00036131 desmodur44 caradate30 MDI hylenem50 methylene 4,4'-diphenyl diisocyanate 1,1'-Methylenebis(4-isocyanatobenzene) p,p'-diphenylmethane diisocyanate 4,4'-Diisocyanatodiphenylmethane Benzene, 1,1'-methylenebis[4-isocyanato- Methylene diphenyl diisocyanate Methylene di-p-phenyl diisocyanate,flakes PMDI 4,4-Diphenylmethane Diisocyanate bis(4-isocyanatophenyl)methane 4,4'-diphenylmethanediisocyanate 1,1'-methanediylbis(4-isocyanatobenzene) Methylenediphenyl 4,4'-Diisocyanate 4,4'-Diphenylmethane diisocyanate 4,4'-MDI Isonate 4,4'-Methylenediphenyl isocyanate methylene 4,4'-methylene bisphenyl diisocyanate -
常用名4,4'-亚甲基双(异氰酸苯酯)
-
C A S号101-68-8
物理性质
-
密度1.19
-
沸点392 ºC
-
熔点38-44 °C
-
化学式C15H10N2O2
-
结构式
1、 摩尔折射率:74.38
2、 摩尔体积(cm3/mol):221.0
3、 等张比容(90.2K):574.7
4、 表面张力(dyne/cm):45.6
5、 介电常数:
6、 偶极距(10-24cm3):
7、 极化率:29.49 -
闪点196 ºC
-
分子量250.252
-
精确质量250.074234
-
P S A58.86000
-
外观形状白色至淡黄色片或晶体
-
储存条件1.储存于阴凉、干燥、通风良好的库房。远离火种、热源。保持容器密封。应与氧化剂、酸类、醇类等分开存放,切忌混储。配备相应品种和数量 的消防器材。储区应备有合适的材料收容泄漏物。 库温不宜超过20℃,严格防水、防潮,避免日光直射。 2.200L镀锌铁桶,18L马口铁桶。在5℃以下贮存,在贮存过程中必须保证容器的严格干燥密封并充干燥氮气保护。一旦容器内漏入水分,切忌密封太严,应留有排气孔,以防鼓爆炸裂。
-
稳定性
-
水溶解性
-
形态白色至浅黄色熔融固体,加热时有刺激性臭味。
-
H L B值
-
粘度
-
PH值
作用/用途
【用途一】
用于生产聚氨酯弹性体,制造合成纤维、人造革、无溶剂涂料等
用于生产聚氨酯弹性体,制造合成纤维、人造革、无溶剂涂料等
制备方法
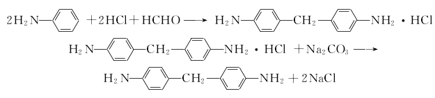
1.(1)光气合成法 由苯胺和甲醛缩合制备二氨基二苯甲烷
再由4,4'-二氨基二苯甲烷与光气反应而得本品。光气化反应在溶剂中进行,反应过程产生氯化氢,被吸收为盐酸,反应得到的粗品经精馏精制即得成品,
MDI的生产过程与甲苯二异氰酸酯(TDI)等产品有许多共同性。 (2)非光气合成法 在室温下,在1000ml盛有4,4'-二氨基二苯甲烷(29.7g,0.15ml)的二氯甲烷(300ml)溶液的三颈瓶上装有两只滴液漏斗,其中分别盛有二(三氯甲烷)碳酸酯(29.6g,0.1ml)的二氯甲烷(200ml) 溶液和N a OH(24g,06mol)的水溶液(200ml),慢慢地滴加二(三氯甲烷)碳酸酯的二氯甲烷和N aOH的水溶液到剧烈搅拌着的4,4'-二氨基二苯甲烷的二氯甲烷溶液中,反应体系微有发热。控制两只溶液漏斗中溶液的滴加速度,使整个反应过程中维持反应体系的PH值在11-12之间。将反应瓶浸没在冷水浴中,维持反应体系在室温左右,待溶液滴加完毕后,继续在室温下反应2h。反应结束后,在分液漏斗中将水层和二氯甲烷层分离,水层用2×20ml二氯甲烷萃取;合并有机层,用无水硫酸镁干燥后除去大部分溶剂,参与物在硅胶柱色谱上用二氯甲烷:轻石油醚(7:3)作淋洗剂进行分离,得到浅黄色产物28.45 g,产率87%,熔点40-42℃。 2.见1.5-萘二异氰酸酯的制备。
再由4,4'-二氨基二苯甲烷与光气反应而得本品。光气化反应在溶剂中进行,反应过程产生氯化氢,被吸收为盐酸,反应得到的粗品经精馏精制即得成品,
MDI的生产过程与甲苯二异氰酸酯(TDI)等产品有许多共同性。 (2)非光气合成法 在室温下,在1000ml盛有4,4'-二氨基二苯甲烷(29.7g,0.15ml)的二氯甲烷(300ml)溶液的三颈瓶上装有两只滴液漏斗,其中分别盛有二(三氯甲烷)碳酸酯(29.6g,0.1ml)的二氯甲烷(200ml) 溶液和N a OH(24g,06mol)的水溶液(200ml),慢慢地滴加二(三氯甲烷)碳酸酯的二氯甲烷和N aOH的水溶液到剧烈搅拌着的4,4'-二氨基二苯甲烷的二氯甲烷溶液中,反应体系微有发热。控制两只溶液漏斗中溶液的滴加速度,使整个反应过程中维持反应体系的PH值在11-12之间。将反应瓶浸没在冷水浴中,维持反应体系在室温左右,待溶液滴加完毕后,继续在室温下反应2h。反应结束后,在分液漏斗中将水层和二氯甲烷层分离,水层用2×20ml二氯甲烷萃取;合并有机层,用无水硫酸镁干燥后除去大部分溶剂,参与物在硅胶柱色谱上用二氯甲烷:轻石油醚(7:3)作淋洗剂进行分离,得到浅黄色产物28.45 g,产率87%,熔点40-42℃。 2.见1.5-萘二异氰酸酯的制备。
安全提醒
MSDS
|
|||||||||||||||||||||||||||||||||||||||||||||||||||||||||||||||||||||||||||||||||||||||||||||||||||||||||||||||||||||||||||||||||||||||||||||||||||||||||||||||||||||||||||||||||||||||||||||||||||||||||||||||||||||||||||||||||||||||||||||||||||||||
原料简介
应用范围
毒性和生态
安全信息
| 符号 |
GHS07, GHS08 |
|---|---|
| 信号词 | Danger |
| 危害声明 | H315-H317-H319-H332-H334-H335-H351-H373 |
| 警示性声明 | P261-P280-P284-P304 + P340 + P312-P305 + P351 + P338-P342 + P311 |
| 个人防护装备 | dust mask type N95 (US);Eyeshields;Faceshields;Gloves |
| 危害码 (欧洲) | Xn:Harmful; |
| 风险声明 (欧洲) | R20;R36/37/38;R42/43 |
| 安全声明 (欧洲) | S23;S36/37;S45 |
| 危险品运输编码 | UN 2811 |
| RTECS号 | NQ9350000 |
| 包装等级 | II |
| 危险类别 | 6.1 |
| 海关编码 | 29291090 |
是否危险品
危险性
危险类别码
危险等级
触发危险方式
安全技术说明书
环境影响程度
包装与储运
相关供应商

搜索






