异丁胺
【用途一】
溶于水和大多数的有机溶剂。用作矿物浮选剂、汽油抗震剂和磺基苯甲酸十三烷基酯的中和剂。
溶于水和大多数的有机溶剂。用作矿物浮选剂、汽油抗震剂和磺基苯甲酸十三烷基酯的中和剂。
【用途二】
用于有机合成和杀虫剂的合成
【用途三】
用于生产杀虫剂、缓蚀剂和橡胶助剂
【用途四】
有机合成原料,用于合成杀虫剂,也可用作试剂。还用作矿物浮选剂,汽油抗震剂、聚合催化剂和稳定剂等。
【用途五】
用作生产杀虫剂、缓蚀剂和橡胶加工化学品的有机合成中间体。易然、腐蚀性,应常温、干燥、密闭保存。
用于有机合成和杀虫剂的合成
【用途三】
用于生产杀虫剂、缓蚀剂和橡胶助剂
【用途四】
有机合成原料,用于合成杀虫剂,也可用作试剂。还用作矿物浮选剂,汽油抗震剂、聚合催化剂和稳定剂等。
【用途五】
用作生产杀虫剂、缓蚀剂和橡胶加工化学品的有机合成中间体。易然、腐蚀性,应常温、干燥、密闭保存。
产品名称
-
中文名异丁胺
-
英文名Isobutylamine
-
中文别名3-异丙基甲苯 | 2-甲基丙胺 | 1-氨基-2-甲基丙烷 | 1-氨基异丁烷 | 2-甲基-1-丙胺 | 异丁基氨
-
英文别名
i-Butylamine Isobutylamine iso-C4H9NH2 Valamine Isobutylamin Isobtuylamin 2-methylpropan-1-amine IBA isobutyl amine MFCD00008146 MIBA EINECS 201-145-4 -
常用名异丁胺
-
C A S号78-81-9
物理性质
-
密度0.736 g/mL at 25 °C(lit.)
-
沸点64-71 °C(lit.)
-
熔点−85 °C(lit.)
-
化学式C4H11N
-
结构式
1、摩尔折射率:24.07
2、摩尔体积(cm3/mol):98.6
3、等张比容(90.2K):217.7
4、表面张力(dyne/cm):23.7
5、极化率(10-24cm3):9.54
-
闪点15 °F
-
分子量73.13680
-
精确质量73.08910
-
P S A26.02000
-
外观形状无色液体
-
储存条件
储存注意事项储存于阴凉、通风的库房。远离火种、热源。库温不宜超过37℃。保持容器密封。应与氧化剂、酸类分开存放,切忌混储。采用防爆型照明、通风设施。禁止使用易产生火花的机械设备和工具。储区应备有泄漏应急处理设备和合适的收容材料。
-
稳定性
-
水溶解性
-
形态
-
H L B值
-
粘度
-
PH值
作用/用途
【用途一】
溶于水和大多数的有机溶剂。用作矿物浮选剂、汽油抗震剂和磺基苯甲酸十三烷基酯的中和剂。
溶于水和大多数的有机溶剂。用作矿物浮选剂、汽油抗震剂和磺基苯甲酸十三烷基酯的中和剂。
【用途二】
用于有机合成和杀虫剂的合成
【用途三】
用于生产杀虫剂、缓蚀剂和橡胶助剂
【用途四】
有机合成原料,用于合成杀虫剂,也可用作试剂。还用作矿物浮选剂,汽油抗震剂、聚合催化剂和稳定剂等。
【用途五】
用作生产杀虫剂、缓蚀剂和橡胶加工化学品的有机合成中间体。易然、腐蚀性,应常温、干燥、密闭保存。
用于有机合成和杀虫剂的合成
【用途三】
用于生产杀虫剂、缓蚀剂和橡胶助剂
【用途四】
有机合成原料,用于合成杀虫剂,也可用作试剂。还用作矿物浮选剂,汽油抗震剂、聚合催化剂和稳定剂等。
【用途五】
用作生产杀虫剂、缓蚀剂和橡胶加工化学品的有机合成中间体。易然、腐蚀性,应常温、干燥、密闭保存。
制备方法
1.由异丁醇与氨作用催化脱水制得醇经氨解反应后可得伯、仲、叔胺的混合产物,三种胺生成的比例与原料、催化剂及反应条件有关。通过调节醇和氨的比例及反应条件,可以得到的所期望的产品比例。
2.由异丁醛和氨经催化加氢制得。
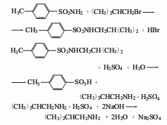
3.以溴代异丁烷与对甲苯磺酰胺为原料,经缩合、水解而得。先将对甲苯磺酰胺、溴代异丁烷、乙醇碱液一起回流4h,回收乙醇至出现结晶,再用盐酸中和,则析出大量淡黄色结晶,过滤,水洗得缩合物。将缩合物、硫酸和水混合加热回流10h后,改为蒸馏装置,加40%液碱调至碱性,随后减压蒸出粗胺,再粗馏收集66.8-68.8℃馏分即为成品。
精制方法:异丁胺是用氯代异丁烷与氨反应,或异丁烷的硝基化合物用铁和盐酸还原或催化还原制备的。因此常含有氯代异丁烷、氨、二异丁胺等杂质。常用蒸馏的方法精制。也可以将异丁胺盐或其加合物重结晶精制。
安全提醒
MSDS
|
|||||||||||||||||||||||||||||||||||||||||||||||||||||||||||||||||||||||||||||||||||||||||||||||||||||||||||||||||||||||||||||||||||||||||||||||||||||||||||||||||||||||||||||||||||||||||||||||||||||||||||||||||||||||
原料简介
应用范围
毒性和生态
安全信息
| 符号 |
GHS02, GHS05, GHS06 |
|---|---|
| 信号词 | Danger |
| 危害声明 | H225-H301-H314 |
| 警示性声明 | P210-P280-P301 + P310-P305 + P351 + P338-P310 |
| 个人防护装备 | Faceshields;full-face respirator (US);Gloves;Goggles;multi-purpose combination respirator cartridge (US);type ABEK (EN14387) respirator filter |
| 危害码 (欧洲) | C:Corrosive |
| 风险声明 (欧洲) | R11;R22;R35 |
| 安全声明 (欧洲) | S26-S36/37/39-S45 |
| 危险品运输编码 | UN 1214 3/PG 2 |
| WGK德国 | 1 |
| RTECS号 | NP9900000 |
| 包装等级 | II |
| 危险类别 | 3 |
是否危险品
危险性
危险类别码
危险等级
触发危险方式
安全技术说明书
环境影响程度
包装与储运
相关供应商

搜索









