 
                        3-氨基-4-羟基苯磺酸
                                
					【用途一】
用作染料中间体
                        用作染料中间体
【用途二】
作染料中间体,用于生产酸性媒介橙LR、酸性媒介紫、活性紫K-3R、直接耐晒棕BRL等。
					
						
					 
					
				                            作染料中间体,用于生产酸性媒介橙LR、酸性媒介紫、活性紫K-3R、直接耐晒棕BRL等。
产品名称
                           - 
                                   中文名2-氨基苯酚-4-磺酸
- 
                                   英文名2-Aminophenol-4-sulfonic acid
- 
                                   中文别名邻氨基酚寻磺酸 | 邻氨基酚磺酸 | 3-氨基-4-羟基苯磺酸 | 4-羟基间氨基苯磺酸 | 2-胺苯酚-4-磺酸 | 3-氨基-4-羟基苯-4-磺酸 | 邻氨基对苯酚磺酸 | 2-氨基苯酚磺酸 | 2-氨基-1-苯酚-4-磺酸 | 3-氨基-4-羟基苯磺酸水合物
- 
                                   英文别名3-amino-4-hydroxybenzenesulfonic acid MFCD00149553 EINECS 202-662-8 
- 
                                   常用名3-氨基-4-羟基苯磺酸
- 
                                   C A S号98-37-3
物理性质
                            - 
                                    密度N/A
- 
                                    沸点N/A
- 
                                    熔点≥300 °C(lit.)
- 
                                    化学式C6H7NO4S
- 
                                    结构式1、 摩尔折射率:42.24 2、 摩尔体积(cm3/mol):112.9 3、 等张比容(90.2K):343.4 4、 表面张力(dyne/cm):85.5 5、 介电常数: 6、 偶极距(10-24cm3): 7、 极化率:16.74 
- 
                                    闪点N/A
- 
                                    分子量189.18900
- 
                                    精确质量189.01000
- 
                                    P S A109.00000
- 
                                    外观形状纯品为无色至灰棕色菱形结晶。 溶于热水,易溶于碱溶液。
- 
                                    储存条件采用内衬塑料袋、外用木桶或纸板桶包装。每桶50kg。按有毒物品规定贮运。 
- 
                                    稳定性
- 
                                    水溶解性
- 
                                    形态无色至灰棕色菱形结晶。
- 
                                    H L B值
- 
                                    粘度
- 
                                    PH值
作用/用途
                            
                                
					【用途一】
用作染料中间体
                        用作染料中间体
【用途二】
作染料中间体,用于生产酸性媒介橙LR、酸性媒介紫、活性紫K-3R、直接耐晒棕BRL等。
					
						
					 
					
				                            作染料中间体,用于生产酸性媒介橙LR、酸性媒介紫、活性紫K-3R、直接耐晒棕BRL等。
制备方法
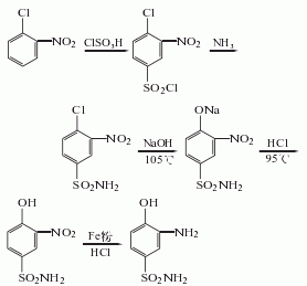
                            1、铁粉还原法 由邻硝基酚对磺酸经铁粉还原或加氢还原而得。
2、加氢还原法 将邻硝基苯酚-4-磺酸溶于水中,加入22%氢氧化钠溶液调PH=6.4,然后加入阮尼镍(浆状)。在室温下置换后用70%氢气充压到4.41MPa,升温到145ºC,在145~150ºC、3.43~4.40MPa下反应4h,至氢压不下降为终点。再经过滤、干燥而得成品,收率77.5%,含量在92%以上。
安全提醒
                            MSDS
                            | 
			  	
			  	    3-氨基-4-羟基苯磺酸水合物
修改号码:6
 模块1. 化学品 产品名称: 3-Amino-4-hydroxybenzenesulfonic Acid Hydrate 修改号码: 6 模块2. 危险性概述 GHS分类   物理性危害未分类
 健康危害 皮肤腐蚀/刺激 第2级 严重损伤/刺激眼睛 2A类 环境危害未分类 GHS标签元素 图标或危害标志 信号词警告 危险描述造成皮肤刺激 造成严重眼刺激 防范说明 [预防]处理后要彻底清洗双手。 穿戴防护手套/护目镜/防护面具。 [急救措施]眼睛接触:用水小心清洗几分钟。如果方便,易操作,摘除隐形眼镜。继续冲洗。 眼睛接触:求医/就诊 皮肤接触:用大量肥皂和水轻轻洗。 若皮肤刺激:求医/就诊。 脱掉被污染的衣物,清洗后方可重新使用。 模块3. 成分/组成信息 单一物质/混和物单一物质 化学名(中文名): 3-氨基-4-羟基苯磺酸水合物 百分比: >98.0%(T) CAS编码: 98-37-3 俗名: 2-Aminophenol-4-sulfonic Acid Hydrate , 4-Hydroxymetanilic Acid Hydrate 3-氨基-4-羟基苯磺酸水合物 修改号码:6 模块3. 成分/组成信息 分子式: C6H7NO4S·xH2O 模块4. 急救措施 吸入: 将受害者移到新鲜空气处,保持呼吸通畅,休息。若感不适请求医/就诊。 皮肤接触: 立即去除/脱掉所有被污染的衣物。用大量肥皂和水轻轻洗。 若皮肤刺激或发生皮疹:求医/就诊。 眼睛接触:用水小心清洗几分钟。如果方便,易操作,摘除隐形眼镜。继续清洗。 如果眼睛刺激:求医/就诊。 食入: 若感不适,求医/就诊。漱口。 紧急救助者的防护:救援者需要穿戴个人防护用品,比如橡胶手套和气密性护目镜。 模块5. 消防措施 合适的灭火剂:干粉,泡沫,雾状水,二氧化碳 特殊危险性:小心,燃烧或高温下可能分解产生毒烟。 特定方法:从上风处灭火,根据周围环境选择合适的灭火方法。 非相关人员应该撤离至安全地方。 周围一旦着火:如果安全,移去可移动容器。 消防员的特殊防护用具:灭火时,一定要穿戴个人防护用品。 模块6. 泄漏应急处理 个人防护措施,防护用具, 使用个人防护用品。远离溢出物/泄露处并处在上风处。 紧急措施:泄露区应该用安全带等圈起来,控制非相关人员进入。 环保措施:防止进入下水道。 控制和清洗的方法和材料:清扫收集粉尘,封入密闭容器。注意切勿分散。附着物或收集物应该立即根据合适的 法律法规处置。 模块7. 操作处置与储存 处理 技术措施:在通风良好处进行处理。穿戴合适的防护用具。防止粉尘扩散。处理后彻底清洗双手 和脸。 注意事项:如果粉尘或浮质产生,使用局部排气。 操作处置注意事项:避免接触皮肤、眼睛和衣物。 贮存 储存条件:保持容器密闭。存放于凉爽、阴暗处。 远离不相容的材料比如氧化剂存放。 包装材料:依据法律。 模块8. 接触控制和个体防护 工程控制:尽可能安装封闭体系或局部排风系统,操作人员切勿直接接触。同时安装淋浴器和洗 眼器。 个人防护用品 呼吸系统防护:防尘面具。依据当地和政府法规。 手部防护:防护手套。 眼睛防护:安全防护镜。如果情况需要,佩戴面具。 皮肤和身体防护:防护服。如果情况需要,穿戴防护靴。 模块9. 理化特性 固体 外形(20°C): 外观: 晶体-粉末 3-氨基-4-羟基苯磺酸水合物 修改号码:6 模块9. 理化特性 颜色: 黄红色-深黄红色 气味:无资料 pH:无数据资料 熔点: 220°C (分解) 沸点/沸程无资料 闪点:无资料 爆炸特性 爆炸下限:无资料 爆炸上限:无资料 密度:无资料 溶解度: [水]无资料 [其他溶剂]无资料 模块10. 稳定性和反应性 化学稳定性:一般情况下稳定。 危险反应的可能性:未报道特殊反应性。 须避免接触的物质氧化剂 危险的分解产物: 一氧化碳, 二氧化碳, 氮氧化物 (NOx), 硫氧化物 模块11. 毒理学信息 急性毒性:无资料 对皮肤腐蚀或刺激:无资料 对眼睛严重损害或刺激:无资料 生殖细胞变异原性:无资料 致癌性: IARC =无资料 NTP =无资料 生殖毒性:无资料 模块12. 生态学信息 生态毒性: 鱼类:无资料 甲壳类:无资料 藻类:无资料 残留性 / 降解性:无资料 潜在生物累积 (BCF):无资料 土壤中移动性 log水分配系数:无资料 土壤吸收系数 (Koc):无资料 亨利定律无资料 constant(PaM3/mol): 模块13. 废弃处置 如果可能,回收处理。请咨询当地管理部门。建议在可燃溶剂中溶解混合,在装有后燃和洗涤装置的化学焚烧炉中 焚烧。废弃处置时请遵守国家、地区和当地的所有法规。 模块14. 运输信息 联合国分类:与联合国分类标准不一致 3-氨基-4-羟基苯磺酸水合物 修改号码:6 模块14. 运输信息 UN编号:未列明 模块15. 法规信息 《危险化学品安全管理条例》(2002年1月26日国务院发布,2011年2月16日修订): 针对危险化学品的安全使用、 生产、储存、运输、装卸等方面均作了相应的规定。 模块16 - 其他信息 N/A | 
原料简介
                            应用范围
                            毒性和生态
                            安全信息
                            | 符号 |   GHS05 | 
|---|---|
| 信号词 | Danger | 
| 危害声明 | H314 | 
| 警示性声明 | P280-P305 + P351 + P338-P310 | 
| 个人防护装备 | Eyeshields;Faceshields;full-face particle respirator type N100 (US);Gloves;respirator cartridge type N100 (US);type P1 (EN143) respirator filter;type P3 (EN 143) respirator cartridges | 
| 危害码 (欧洲) | C | 
| 风险声明 (欧洲) | R34:Causes burns. | 
| 安全声明 (欧洲) | S26-S36/37/39-S45 | 
| 危险品运输编码 | UN 2585 8/PG 3 | 
| WGK德国 | 1 | 
| 包装等级 | III | 
| 危险类别 | 8 | 
| 海关编码 | 2922299090 | 
是否危险品
                            危险性
                            危险类别码
                            危险等级
                            触发危险方式
                            安全技术说明书
                            环境影响程度
                            包装与储运
                            相关供应商
     
        
 
                                     
                    
 
                 
            






 
                             
                 
                        