2,4-二氯三氟甲苯
【用途一】
在农药上可用作旱田除草剂敌乐胺的原料,该药应用于棉花、大豆和其他园艺作物,是一种高效、低毒旱田除草剂。另外,还用于医药及染料等的合成。
在农药上可用作旱田除草剂敌乐胺的原料,该药应用于棉花、大豆和其他园艺作物,是一种高效、低毒旱田除草剂。另外,还用于医药及染料等的合成。
产品名称
-
中文名2,4-二氯三氟甲苯
-
英文名2,4-Dichloro-1-(trifluoromethyl)benzene
-
中文别名2.4-二氯-1-三氟甲基苯 | 2,4-二氯三氟甲基苯 | 2.4-二氯-α,α,α-三氟甲苯 | 2,4-二氯-1-三氟甲基苯
-
英文别名
2,4-Dichloro-α,α,α-trifluorotoluene 2,4-dichloro-1-trifluoromethyl-benzene 1,3-dichloro-4-trifluoromethylbenzene 2,4-Dichlorobenzotrifluoride 2,4-Dichlorobenzotri 4-Dichlorobenzotrifluoride EINECS 206-278-1 Benzene, 2,4-dichloro-1-(trifluoromethyl)- 2,4-Dichlorotrifluoromethylbenzene 2,4,5-TRIMETHYLTHIENO[2,3-D]PYRIMIDINE-6-CARBOXYLIC ACID 2,4-Dichlorbenzotrifluorid 2,4-dichloro-trifluoroMethyl 2,4-Dichloro-1-(trifluoromethyl)benzene MFCD00000582 2,4-DICHLORO(TRIFLUOROMETHYL)BENZENE 2,4-DCBTF 1,3-Dichloro-4-(trifluoromethyl)benzene -
常用名2,4-二氯三氟甲苯
-
C A S号320-60-5
物理性质
-
密度1.5±0.1 g/cm3
-
沸点193.2±35.0 °C at 760 mmHg
-
熔点-26°C
-
化学式C7H3Cl2F3
-
结构式
1、 摩尔折射率:41.02
2、 摩尔体积(cm3/mol):146.8
3、 等张比容(90.2K):336.2
4、 表面张力(dyne/cm):27.4
5、 极化率(10-24cm3):16.26
-
闪点78.1±19.4 °C
-
分子量215.000
-
精确质量213.956390
-
P S A
-
外观形状无色透明液体
-
储存条件
250kg/桶,以塑料桶包装。
-
稳定性
-
水溶解性
-
形态
-
H L B值
-
粘度
-
PH值
作用/用途
【用途一】
在农药上可用作旱田除草剂敌乐胺的原料,该药应用于棉花、大豆和其他园艺作物,是一种高效、低毒旱田除草剂。另外,还用于医药及染料等的合成。
在农药上可用作旱田除草剂敌乐胺的原料,该药应用于棉花、大豆和其他园艺作物,是一种高效、低毒旱田除草剂。另外,还用于医药及染料等的合成。
制备方法
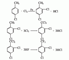
1.对氯甲苯法 经氯化、侧链氯化、氟化制得。原料消耗定额:对氯甲苯(≥98%)900kg/t、氯气2000kg/t、氟化氢380kg/t。
2.间二氯苯法在四氯化碳存在下氟化制得。
安全提醒
MSDS
|
2,4-二氯三氟甲苯
修改号码:2
模块1. 化学品 产品名称: 2,4-Dichlorobenzotrifluoride 修改号码: 2 模块2. 危险性概述 GHS分类 物理性危害
易燃液体 第4级 健康危害 急性毒性(经口) 第5级 皮肤腐蚀/刺激 1C类 严重损伤/刺激眼睛 第1级 环境危害未分类 GHS标签元素 图标或危害标志 信号词危险 危险描述可燃液体 吞咽可能有害。 造成严重的皮肤灼伤和眼损伤 防范说明 [预防] 远离明火/热表面。 切勿吸入。 处理后要彻底清洗双手。 穿戴防护手套/护目镜/防护面具。 [急救措施]吸入:将受害者移到新鲜空气处,在呼吸舒适的地方保持休息。 食入:漱口。切勿催吐。 眼睛接触:用水小心清洗几分钟。如果方便,易操作,摘除隐形眼镜。继续冲洗。 皮肤接触:立即去除/脱掉所有被污染的衣物。用水清洗皮肤/淋浴。 被污染的衣物清洗后方可重新使用。 立即呼叫解毒中心/医生。 [储存]存放于通风良好处。保持凉爽。 存放处须加锁。 [废弃处置] 根据当地政府规定把物品/容器交与工业废弃处理机构。 2,4-二氯三氟甲苯 修改号码:2 模块3. 成分/组成信息 单一物质/混和物单一物质 化学名(中文名): 2,4-二氯三氟甲苯 百分比: >98.0%(GC) CAS编码: 320-60-5 俗名: 1,3-Dichloro-4-(trifluoromethyl)benzene , 2,4-Dichloro-α,α,α- trifluorotoluene 分子式: C7H3Cl2F3 模块4. 急救措施 吸入: 将受害者移到新鲜空气处,保持呼吸通畅,休息。立即呼叫解毒中心/医生。 皮肤接触: 立即去除/脱掉所有被污染的衣物。用大量肥皂和水轻轻洗。 立即呼叫解毒中心/医生。 眼睛接触:用水小心清洗几分钟。如果方便,易操作,摘除隐形眼镜。继续清洗。 立即呼叫解毒中心/医生。 食入: 立即呼叫解毒中心/医生。漱口。切勿引吐。 紧急救助者的防护:救援者需要穿戴个人防护用品,比如橡胶手套和气密性护目镜。 模块5. 消防措施 合适的灭火剂:干粉,泡沫,雾状水,二氧化碳 不适用的灭火剂:棒状水 特殊危险性:小心,燃烧或高温下可能分解产生毒烟。 特定方法:从上风处灭火,根据周围环境选择合适的灭火方法。 非相关人员应该撤离至安全地方。 周围一旦着火:如果安全,移去可移动容器。 消防员的特殊防护用具:灭火时,一定要穿戴个人防护用品。 模块6. 泄漏应急处理 个人防护措施,防护用具, 使用特殊的个人防护用品(自携式呼吸器)。远离溢出物/泄露处并处在上风处。确保 紧急措施:足够通风。 泄露区应该用安全带等圈起来,控制非相关人员进入。 环保措施:防止进入下水道。 控制和清洗的方法和材料:用合适的吸收剂(如:旧布,干砂,土,锯屑)吸收泄漏物。一旦大量泄漏,筑堤控 制。附着物或收集物应该立即根据合适的法律法规废弃处置。 副危险性的防护措施移除所有火源。一旦发生火灾应该准备灭火器。使用防火花工具和防爆设备。 模块7. 操作处置与储存 处理 技术措施:在通风良好处进行处理。穿戴合适的防护用具。防止烟雾产生。远离明火和热表面。 采取措施防止静电积累。使用防爆设备。处理后彻底清洗双手和脸。 注意事项:使用封闭系统,通风。 操作处置注意事项:避免接触皮肤、眼睛和衣物。 贮存 储存条件:保持容器密闭。存放于凉爽、阴暗、通风良好处。 存放处须加锁。 远离不相容的材料比如氧化剂存放。 包装材料:依据法律。 2,4-二氯三氟甲苯 修改号码:2 模块8. 接触控制和个体防护 工程控制:尽可能安装封闭体系或局部排风系统。同时安装淋浴器和洗眼器。 个人防护用品 呼吸系统防护: 半面罩或全面罩呼吸器,自携式呼吸器(SCBA),供气呼吸器等。依据当地和政府法 规,使用通过政府标准的呼吸器。 手部防护:防渗手套。 眼睛防护:护目镜。如果情况需要,佩戴面具。 皮肤和身体防护:防渗防护服。如果情况需要,穿戴防护靴。 模块9. 理化特性 外形(20°C):液体 外观:透明 颜色: 无色-极淡的黄色 气味:无资料 pH:无数据资料 熔点:无资料 沸点/沸程 118 °C 闪点: 72°C 爆炸特性 爆炸下限:无资料 爆炸上限:无资料 密度: 1.49 溶解度:无资料 模块10. 稳定性和反应性 稳定性:一般情况下稳定。 反应性:未报道特殊反应性。 须避免接触的物质氧化剂 危险的分解产物: 一氧化碳, 二氧化碳, 氟化氢, 氯化氢 模块11. 毒理学信息 急性毒性: orl-rat LD50:2150 mg/kg skn-rbt LD:>10 g/kg 对皮肤腐蚀或刺激:无资料 对眼睛严重损害或刺激:无资料 生殖细胞变异原性:无资料 致癌性: IARC =无资料 NTP =无资料 生殖毒性:无资料 RTECS 号码: CZ5566877 模块12. 生态学信息 生态毒性: 鱼类:无资料 甲壳类:无资料 藻类:无资料 残留性 / 降解性:无资料 潜在生物累积 (BCF):无资料 土壤中移动性 log水分配系数:无资料 2,4-二氯三氟甲苯 修改号码:2 模块12. 生态学信息 土壤吸收系数 (Koc):无资料 亨利定律无资料 constant(PaM3/mol): 模块13. 废弃处置 如果可能,回收处理。请咨询当地管理部门。建议在装有后燃和洗涤装置的化学焚烧炉中焚烧。废弃处置时请遵守 国家、地区和当地的所有法规。 模块14. 运输信息 联合国分类: 第8类 腐蚀品 UN编号: 1760 正式运输名称: 腐蚀性液体, 不另作详细说明 包装等级: III 模块15. 法规信息 《危险化学品安全管理条例》(2002年1月26日国务院发布): 针对危险化学品的安全使用、生产、储存、运输、装 卸等方面均作了相应的规定。 模块16 - 其他信息 N/A |
原料简介
应用范围
毒性和生态
安全信息
| 符号 |
GHS05 |
|---|---|
| 信号词 | Danger |
| 危害声明 | H314 |
| 警示性声明 | P280-P305 + P351 + P338-P310 |
| 个人防护装备 | Faceshields;full-face respirator (US);Gloves;Goggles;multi-purpose combination respirator cartridge (US);type ABEK (EN14387) respirator filter |
| 危害码 (欧洲) | C:Corrosive |
| 风险声明 (欧洲) | R34 |
| 安全声明 (欧洲) | S26-S27-S36/37/39-S45 |
| 危险品运输编码 | UN 3265 8/PG 2 |
| WGK德国 | 2 |
| RTECS号 | CZ5566877 |
| 包装等级 | III |
| 危险类别 | 8 |
是否危险品
危险性
危险类别码
危险等级
触发危险方式
安全技术说明书
环境影响程度
包装与储运
相关供应商

搜索








