1,2,4-三氯苯
【用途一】
用作制造农药、变压器油、润滑油等的溶剂,染料载体,绝缘和冷却流体的添加剂,也是制造2,5-二氯苯酚的原料
用作制造农药、变压器油、润滑油等的溶剂,染料载体,绝缘和冷却流体的添加剂,也是制造2,5-二氯苯酚的原料
【用途二】
1,2,4-三氯苯是合成杀螨剂三氯杀螨砜和除草剂麦草畏的中间体,还可用作医药、染料的原料,以及制备四氯苯和多氯酚的原料,也是用途很广的高沸点溶剂和变压器内电阻液的原料。
【用途三】
医药、染料、农药的原料,也是用途很广的高沸点溶剂,变压器内电阻液的原料。
【用途四】
溶剂。有机合成。杀虫剂。染料中间体。高纯1,2,4-三 氯苯也可满足变压器油、导热油等多方面的化工和电力工业产品生产的要求 。
【用途五】
溶剂。有机合成。杀虫剂。染料中间体。医药;染料;农药的原料,也是用途很广的高沸点溶剂,变压器内电阻液的原料。用于ICP-AES、AAS、AFS、ICP-MS、离子色谱等。滴定分析用标准溶液。校准仪器和装置;评价方法;工作标准;质量保证/质量控制;其他
1,2,4-三氯苯是合成杀螨剂三氯杀螨砜和除草剂麦草畏的中间体,还可用作医药、染料的原料,以及制备四氯苯和多氯酚的原料,也是用途很广的高沸点溶剂和变压器内电阻液的原料。
【用途三】
医药、染料、农药的原料,也是用途很广的高沸点溶剂,变压器内电阻液的原料。
【用途四】
溶剂。有机合成。杀虫剂。染料中间体。高纯1,2,4-三 氯苯也可满足变压器油、导热油等多方面的化工和电力工业产品生产的要求 。
【用途五】
溶剂。有机合成。杀虫剂。染料中间体。医药;染料;农药的原料,也是用途很广的高沸点溶剂,变压器内电阻液的原料。用于ICP-AES、AAS、AFS、ICP-MS、离子色谱等。滴定分析用标准溶液。校准仪器和装置;评价方法;工作标准;质量保证/质量控制;其他
产品名称
-
中文名三氯苯
-
英文名1,2,4-Trichlorobenzene
-
中文别名1,2,4-三氯苯
-
英文别名
1,2,5-Trichlorobenzene EINECS 204-428-0 1,4,5-trichlorobenzene 1,2,4-Trichlorbenzene Benzene, 1,2,4-trichloro- MFCD00000547 1,2,4-trichloro-benzene Trojchlorobenzen 1,2,4-Trichlorobenzene Hostetex l-pec 1,2,4-Trichlorbenzol as-trichlorobenzene 1,2,4-Trichlorobenze 1,2,4-Trichlorobenzol 1,3,4-trichlorobenzene 1,2,4-trichlorobenzene— Hipochem GM -
常用名1,2,4-三氯苯
-
C A S号120-82-1
物理性质
-
密度1.4±0.1 g/cm3
-
沸点211.4±20.0 °C at 760 mmHg
-
熔点16 °C(lit.)
-
化学式C6H3Cl3
-
结构式
1、摩尔折射率:40.93
2、摩尔体积(cm3/mol):125.2
3、等张比容(90.2K):314.8
4、表面张力(dyne/cm):39.9
5、极化率16.22
-
闪点126.7±0.0 °C
-
分子量181.447
-
精确质量179.930038
-
P S A
-
外观形状无色液体带有一种令人愉快的气味
-
储存条件
储存注意事项 储存于阴凉、通风的库房。远离火种、热源。保持容器密封。应与氧化剂、食用化学品分开存放,切忌混储。配备相应品种和数量的消防器材。储区应备有泄漏应急处理设备和合适的收容材料。
-
稳定性
-
水溶解性
-
形态
-
H L B值
-
粘度
-
PH值
作用/用途
【用途一】
用作制造农药、变压器油、润滑油等的溶剂,染料载体,绝缘和冷却流体的添加剂,也是制造2,5-二氯苯酚的原料
用作制造农药、变压器油、润滑油等的溶剂,染料载体,绝缘和冷却流体的添加剂,也是制造2,5-二氯苯酚的原料
【用途二】
1,2,4-三氯苯是合成杀螨剂三氯杀螨砜和除草剂麦草畏的中间体,还可用作医药、染料的原料,以及制备四氯苯和多氯酚的原料,也是用途很广的高沸点溶剂和变压器内电阻液的原料。
【用途三】
医药、染料、农药的原料,也是用途很广的高沸点溶剂,变压器内电阻液的原料。
【用途四】
溶剂。有机合成。杀虫剂。染料中间体。高纯1,2,4-三 氯苯也可满足变压器油、导热油等多方面的化工和电力工业产品生产的要求 。
【用途五】
溶剂。有机合成。杀虫剂。染料中间体。医药;染料;农药的原料,也是用途很广的高沸点溶剂,变压器内电阻液的原料。用于ICP-AES、AAS、AFS、ICP-MS、离子色谱等。滴定分析用标准溶液。校准仪器和装置;评价方法;工作标准;质量保证/质量控制;其他
1,2,4-三氯苯是合成杀螨剂三氯杀螨砜和除草剂麦草畏的中间体,还可用作医药、染料的原料,以及制备四氯苯和多氯酚的原料,也是用途很广的高沸点溶剂和变压器内电阻液的原料。
【用途三】
医药、染料、农药的原料,也是用途很广的高沸点溶剂,变压器内电阻液的原料。
【用途四】
溶剂。有机合成。杀虫剂。染料中间体。高纯1,2,4-三 氯苯也可满足变压器油、导热油等多方面的化工和电力工业产品生产的要求 。
【用途五】
溶剂。有机合成。杀虫剂。染料中间体。医药;染料;农药的原料,也是用途很广的高沸点溶剂,变压器内电阻液的原料。用于ICP-AES、AAS、AFS、ICP-MS、离子色谱等。滴定分析用标准溶液。校准仪器和装置;评价方法;工作标准;质量保证/质量控制;其他
制备方法
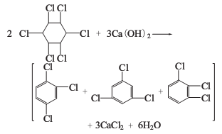
1.热解法干燥的六六六无毒体在热解釜中加热热即得三氯苯,同时副产大量氯化氢。
2.碱解法六六六无毒体与石灰乳共热即得三氯苯,同时副产大量氯化钙液。
上述二法所得三氯苯均为1,2,4-三氯苯;1,3,5-三氯苯;1,2,3-三氯苯三种异构体的混合物,以1,2,4-三氯苯为主要组分。石灰乳法生产的三氯苯中,1,2,4-三氯苯含量在75%以上,1,2,3-三氯苯约占20%。
安全提醒
MSDS
|
|||||||||||||||||||||||||||||||||||||||||||||||||||||||||||||||||||||||||||||||||||||||||||||||||||||||||||||||||||||||||||||||||||||||||||||||||||||||||||||||||||||||||||||||||||||||||||||||||||||||||||||||||||||||
原料简介
应用范围
毒性和生态
安全信息
| 符号 |
GHS07, GHS09 |
|---|---|
| 信号词 | Warning |
| 危害声明 | H302-H315-H410 |
| 警示性声明 | P273-P501 |
| 个人防护装备 | Eyeshields;Faceshields;full-face respirator (US);Gloves;multi-purpose combination respirator cartridge (US);type ABEK (EN14387) respirator filter |
| 危害码 (欧洲) | Xn:Harmful |
| 风险声明 (欧洲) | R22;R38;R50/53 |
| 安全声明 (欧洲) | S23-S37/39-S60-S61-S45-S36/37-S16 |
| 危险品运输编码 | UN 2321 6.1/PG 3 |
| WGK德国 | 3 |
| RTECS号 | DC2100000 |
| 包装等级 | III |
| 危险类别 | 6.1 |
| 海关编码 | 29036990 |
是否危险品
危险性
危险类别码
危险等级
触发危险方式
安全技术说明书
环境影响程度
包装与储运
相关供应商

搜索








