乙醇胺
用于除去天然气和石油气中的酸性气体,制造非离子型洗涤剂、乳化剂等
用作气相色谱固定液和溶剂
【用途三】
乙醇胺又名2-氨基乙醇、2-羟基乙胺和单乙醇胺。乙醇胺是制备氨基甲酸酯类杀虫剂双氧威的中间体,还广泛用作从各种气体(如天然气)中提取酸性组分的净化液。由乙醇胺与脂肪酸生成的烷基醇酰胺是有效的泡沫增效剂。乙醇胺还是乳化剂的中间体,用于纺织工业作为抗静电剂、防蛀剂、清洁剂。由乙醇胺盐酸盐环合、中和可制得六水合哌嗪,哌嗪以其磷酸盐或柠檬酸盐的形式可作为驱肠虫药。
【用途四】
GB 2760-96规定为允许使用的食品工业用加工助剂。
【用途五】
一乙醇胺主要用作合成树脂和橡胶的增塑剂、硫化剂、促进剂和发泡剂、以及农药、医药和染料的中间体。也是合成洗涤剂、化妆品的乳化剂等的原料。纺织工业作为印染增白剂、抗静电剂、防蛀剂、清净剂。也可用作二氧化碳吸收剂、油墨助剂、石油添加剂。一乙醇胺广泛用作从各种气体(如天然气)中提取酸性组分的净化液。由一乙醇胺盐酸盐环合、中和可制得六水合哌嗪。一乙醇胺盐酸盐经氯化亚砜氯代,再被硫代硫酸钠取代,可制得β-氨基乙基硫代硫酸盐。这是一种染料中间体,用于生产缩聚翠蓝13G。一乙醇胺与二硫化碳反应可制得在橡胶和制药工业中有应用的中间体硫基噻唑啉。
【用途六】
溶剂。有机合成, 从气体中除去二氧化碳及硫化氢。气相色谱固定液(最高使用温度50℃,溶剂为乙醚),用于分离低碳醇类、吡啶及其衍生物。
-
中文名乙醇胺
-
英文名ethanolamine
-
中文别名2-氨基乙醇 | 2-羟基乙胺 | 乙醇胺 | 2-胺基乙醇
-
英文别名
Ethanolamine amino-2-butanol mono-sec-butanolamine 2-Butanol,1-amino MFCD00008183 Monobutanolamine dl-1-amino-2-butanol 1-Amino-butan-2-ol 2-hydroxybutylamine 2-Aminoethanol EINECS 205-483-3 1-amino-2-hydroxy-butane NH2CH2CH2OH 2-Hydroxyethylamine 1-amino-2-hydroxy-ethane aminomethylpropanol 2-Aminoethanol,2-Aminoethyl alcohol,ETA 1-Amino-2-butanol -
常用名乙醇胺
-
C A S号141-43-5
-
密度1.0±0.1 g/cm3
-
沸点170.9±0.0 °C at 760 mmHg
-
熔点10-11 °C(lit.)
-
化学式C2H7NO
-
结构式
1、 摩尔折射率:16.38
2、 摩尔体积(cm3/mol):62.7
3、 等张比容(90.2K):157.4
4、 表面张力(dyne/cm):39.7
5、 极化率(10-24cm3):6.49
-
闪点93.3±0.0 °C
-
分子量61.083
-
精确质量61.052765
-
P S A46.25000
-
外观形状透明液体
-
储存条件
1.密封保存在阴凉、通风、干燥的库房内,防火、防潮。可用玻璃、不锈钢或铝制容器充入氮气贮存。对铜或铜合金有腐蚀作用,不宜用作容器。
2.用塑料桶或新铁桶包装,每桶分别为(200±0.5)kg或(180±0.5)kg两种,每批产品平均每桶净重达到200kg或180kg。工业用乙醇胺应贮存在清洁、阴凉干燥通风的仓库中,在运输过程中应防漏、防火、防潮。
-
稳定性
-
水溶解性
-
形态无色透明的粘稠液体,有吸湿性和氨臭。
-
H L B值
-
粘度
-
PH值
用于除去天然气和石油气中的酸性气体,制造非离子型洗涤剂、乳化剂等
用作气相色谱固定液和溶剂
【用途三】
乙醇胺又名2-氨基乙醇、2-羟基乙胺和单乙醇胺。乙醇胺是制备氨基甲酸酯类杀虫剂双氧威的中间体,还广泛用作从各种气体(如天然气)中提取酸性组分的净化液。由乙醇胺与脂肪酸生成的烷基醇酰胺是有效的泡沫增效剂。乙醇胺还是乳化剂的中间体,用于纺织工业作为抗静电剂、防蛀剂、清洁剂。由乙醇胺盐酸盐环合、中和可制得六水合哌嗪,哌嗪以其磷酸盐或柠檬酸盐的形式可作为驱肠虫药。
【用途四】
GB 2760-96规定为允许使用的食品工业用加工助剂。
【用途五】
一乙醇胺主要用作合成树脂和橡胶的增塑剂、硫化剂、促进剂和发泡剂、以及农药、医药和染料的中间体。也是合成洗涤剂、化妆品的乳化剂等的原料。纺织工业作为印染增白剂、抗静电剂、防蛀剂、清净剂。也可用作二氧化碳吸收剂、油墨助剂、石油添加剂。一乙醇胺广泛用作从各种气体(如天然气)中提取酸性组分的净化液。由一乙醇胺盐酸盐环合、中和可制得六水合哌嗪。一乙醇胺盐酸盐经氯化亚砜氯代,再被硫代硫酸钠取代,可制得β-氨基乙基硫代硫酸盐。这是一种染料中间体,用于生产缩聚翠蓝13G。一乙醇胺与二硫化碳反应可制得在橡胶和制药工业中有应用的中间体硫基噻唑啉。
【用途六】
溶剂。有机合成, 从气体中除去二氧化碳及硫化氢。气相色谱固定液(最高使用温度50℃,溶剂为乙醚),用于分离低碳醇类、吡啶及其衍生物。
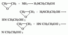
1.乙醇胺常存在于磷脂中,并常与胆碱共存,因此也称为胆胺。在血清蛋白腐烂发酵液中也发现有乙醇胺。工业上乙醇胺可由氨与环氧乙烷反应制得。将环氧乙烷、氨水送入反应器中,在反应温度30-40℃,反应压力70.9-304kPa下,进行缩合反应生成一、二、三乙醇胺混合液,在90-120℃下经脱水浓缩后,送入三个减压精馏塔进行减压蒸馏,按不同沸点截取馏分,则可得纯度达99%的一乙醇胺、二乙醇胺和三乙醇胺成品。在反应过程中,如加大环氧乙烷比例,则二、三乙醇胺生成比例增大,可提高二、三乙醇胺的收率。
2.乙醇胺可由氨与环氧乙烷反应制得。
环氧乙烷、氨水溶液和循环氨一起进入不锈钢制成的反应器,内设冷却装置,反应温度30~40℃,反应压力0.7~3MPa。反应产物进入脱氨塔,脱除的氨返回氨吸收器制备氨水溶液,塔底产物经蒸发浓缩和干燥脱水即得粗乙醇胺。采用减压蒸馏将一乙醇胺、二乙醇胺和三乙醇胺分别蒸出,纯度可达到98%~99%,环氧乙烷的转化率接近100%,乙醇胺的收率为95%左右。另外,尚有少量副产物聚醚生成,在原料中配入少量的二氧化碳可以减少副产物的生成。
3.由环氧乙烷和氨水在30~40℃下、70.1~304kPa下缩合而成,其为单、二、三乙醇胺的混合液,在90~120℃下脱水、浓缩,然后于精馏塔中减压蒸馏,截取168~174℃馏分而得。
精制方法:易含杂质有水、乙二醇、二乙醇胺、三乙醇胺等。常压下蒸馏时部分发生分解,可在减压下(约0.667KPa)反复分馏精制。分馏时注意防止吸收二氧化碳。馏出物用乙醚洗涤,乙醇重结晶后可得纯品。
4.乙醇胺的制备采用环氧乙烷氨化工艺,可分为连续和间歇两种方法,同时可得到一乙醇胺、二乙醇胺和三乙醇胺三种产品。通常采用改变氨与环氧乙烷的物质的量的比来调整三种产品的产出量。在连续生产过程中,原料氨和环氧乙烷经管式反应器反应后,再经脱氨塔、脱水塔和蒸馏塔进行脱氨、脱水和减压精馏处理,即可分别得到一乙醇胺、二乙醇胺和三乙醇胺成品。
|
|||||||||||||||||||||||||||||||||||||||||||||||||||||||||||||||||||||||||||||||||||||||||||||||||||||||||||||||||||||||||||||||||||||||||||||||||||||||||||||||||||||||||||||||||||||||||||||||||||||||||||||||||||||||||||||||||||||||||||||||||||||||
| 符号 |
GHS05, GHS07 |
|---|---|
| 信号词 | Danger |
| 危害声明 | H302 + H312 + H332-H314-H335-H412 |
| 警示性声明 | P261-P273-P301 + P312 + P330-P303 + P361 + P353-P304 + P340 + P310-P305 + P351 + P338 |
| 个人防护装备 | Faceshields;full-face respirator (US);Gloves;Goggles;multi-purpose combination respirator cartridge (US);type ABEK (EN14387) respirator filter |
| 危害码 (欧洲) | C:Corrosive |
| 风险声明 (欧洲) | R20/21/22;R34 |
| 安全声明 (欧洲) | S26-S36/37/39-S45 |
| 危险品运输编码 | UN 2924 3/PG 3 |
| WGK德国 | 1 |
| RTECS号 | KJ5775000 |
| 包装等级 | III |
| 危险类别 | 8 |
-
新葳集团(原料事业部)主营:工业表面活性剂 生物益生菌 扩散剂NNF 精油乳化剂 油酸酯 有机胺酯 -
广东省洁氏化学有限公司主营:表面活性剂,除油原料,除蜡水原料,除油粉原料,中高温电解除油粉原料,除灰原料,金属,玻璃等工业清洗剂并给用户提供性价比高,效果显著且绿色环保的除油除蜡等表面清洗剂配方及原料 -
广东省洁氏化学有限公司主营:表面活性剂 -
南京大泽贸易有限公司主营:二乙醇胺,三乙醇胺,二甲基乙醇胺 -
东营市鑫旺化工有限责任公司主营:十二烷基苯磺酸钠,重烷基苯磺酸钠,石油磺酸钠,三乙醇胺硼酸酯,十二烷基二甲基甜菜碱BS-12,椰油酰胺丙基甜菜碱CAB-35,椰子油二乙醇酰胺6501,聚丙烯酸钠,甲基硅酸钠,甲基硅酸钾,有机硅消泡剂









