邻二氯苯
用途二:用作特殊溶剂及防锈剂、脱脂剂,也用于制防疫药剂、杀虫剂、消毒剂等,还可制备染料还原蓝CLB和CLG等
用途四:有机合成。溶剂。染料中间体。照明气中除硫。杀虫剂。热传递介质。金属去油。
-
中文名邻二氯苯
-
英文名1,2-dichlorobenzene
-
中文别名1,2-二氯苯
-
英文别名
Chloroden DCB o-dichlorobenzene MFCD00000535 1,2-Dichlorobenzene 1,2-dichloro-benzene dilatindb Dizene Chloroben 2-dichlorobenzene ODCB EINECS 202-425-9 ortho-dichlorobenzene Termitkil dowtherme Cloroben -
常用名邻二氯苯
-
C A S号95-50-1
-
密度1.3±0.1 g/cm3
-
沸点180.5±0.0 °C at 760 mmHg
-
熔点-15 °C
-
化学式C6H4Cl2
-
结构式
1、摩尔折射率:36.04
2、摩尔体积(cm3/mol):113.3
3、等张比容(90.2K):279.0
4、表面张力(dyne/cm):36.7
5、介电常数:
6、偶极距(10-24cm3):
7、极化率:14.28
-
闪点65.6±0.0 °C
-
分子量147.002
-
精确质量145.969009
-
P S A
-
外观形状无色至淡黄色液体带有芳香气味
-
储存条件
1.储存注意事项 储存于阴凉、通风的库房。远离火种、热源。保持容器密封。应与氧化剂、铝、食用化学品分开存放,切忌混储。配备相应品种和数量的消防器材。储区应备有泄露应急处理设备和合适的收容材料。
2.用铁桶包装,每桶200kg。贮运时防震,防晒,防火,防潮,注意安全。按有毒物品规定贮运。
-
稳定性
-
水溶解性
-
形态
-
H L B值
-
粘度
-
PH值
用途二:用作特殊溶剂及防锈剂、脱脂剂,也用于制防疫药剂、杀虫剂、消毒剂等,还可制备染料还原蓝CLB和CLG等
用途四:有机合成。溶剂。染料中间体。照明气中除硫。杀虫剂。热传递介质。金属去油。
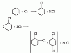
由氯苯副产和用合成方法制得。
1.氯苯副产回收 无论是采用苯液相氯化法还是采用苯气相氧氯化法制造氯苯,都联产二氯苯。根据实际需求量,改变氯化工艺条件,可调节一氯苯和二氯苯的生成比例。按照目前氯苯的工艺控制条件和生产情况,氯苯与二氯苯的比例为30-35:1,工业上分离邻、对位二氯苯的方法主要有精馏法和结晶法。
2.由邻氯苯胺经重氮化、置换而得将邻氯苯胺及盐酸加入反应锅,于25℃以下混匀。冷却至0℃,滴入亚硝酸钠溶液,温度维持在0~5℃,至碘化钾淀粉液变蓝色时停止加料,得重氮盐溶液。在0~5℃下加入氯化亚铜的盐酸溶液中,充分搅拌、混匀,升温至60~70℃℃,反应1h,冷却、静置分层,油层用5%氢氧化钠和水反复洗涤,以无水氯化钙脱水、分馏,收集177~183℃馏分,即得成品。
2.对环境的影响 一、健康危害 侵入途径:吸入食入、经皮吸收。健康危害:吸入本品后,出现呼吸道刺激、头痛、头晕、焦虑、麻醉作用,以致意识不清。液体及高浓度蒸气对眼有刺激性。可经皮肤吸收引起中毒,表现类似吸入。口服引起胃肠道反应。慢性影响:长期吸入引起肝肾损害。皮肤长期反复接触,可致皮肤损害。 二、毒理学资料及环境行为 急性毒性:LD50500mg/kg(大鼠经口) 刺激性:家兔经眼:100mg(30秒)轻微刺激 污染来源:1,2-二氯苯可用作硝基喷漆、清漆的添加剂及蜡和焦油的溶剂。还用作金属、皮革、汽车、飞机工业的脱脂剂;与少量高级醇的混合物作防锈剂。其它还用于制造冷冻剂、杀虫剂、熏蒸剂、防腐剂、染料、医药等的中间体和有机载热体。与上述产品有关的企业,均有可能排放1,2-二氯苯,引发污染事故。 由于1,2-二氯苯具有很强的挥发作用,通常在水和土壤中的1,2-二氯苯会很快的挥发到空气中,1,2-二氯苯在河水中的挥发速率经6个小时下降50%,1,2-二氯苯在空气中的光解速度在20小时之内会降低一半,在水中的1,2-二氯苯将产生水解作用。因此,受1,2-二氯苯污染的水和土壤能较快地得到恢复。该物质对环境的危害,对水体和大气可造成污染,在对人类重要食物链中,特别是在水生生物中可发生生物蓄积。 危险特性:遇明火、高热可燃。与强氧化剂可发生反应。受高热分解产生有毒的腐蚀性 烟气。与活性金属粉末(如镁、铝等)能发生反应,引起分解。 燃烧(分解)产物:一氧化碳、二氧化碳、氯化氢。 3.现场应急监测方法便携式气相色谱-光离子检测器法《突发性环境污染事故应急监测与处理处置技术》万本太主编 4.实验室监测方法气相色谱法(GB/T17131-1997,水质)气相色谱法《固体废弃物试验与分析评价手册》中国环境监测总站等译色谱/质谱法 美国EPA524.2方法 5.环境标准
6.应急处理处置方法 一、泄漏应急处理 迅速撤离泄漏污染区人员至安全区,并进行隔离,严格限制出入。切断火源。建议应急处理人员戴自给正压式呼吸器,穿防毒服。从上风处进入现场。尽可能切断泄漏源。防止进入下水道、排洪沟等限制性空间。正在泄漏的1,2-二氯苯可用玻璃品或镀锌金属桶盛装,或筑防护堤。泄漏在水中的1,2-二氯苯,将沉于水底,并聚积在水底低洼处,可用泵抽出,放入玻璃品或金属桶内,泄漏的1,2-二氯苯要尽量避开水道和饮用水源;泄漏在土壤或地面上的1,2-二氯苯可用干砂土混合,将污染的土壤全部装入可密封的袋中后,或倒到空旷地方掩埋,或作为废弃物进行焚烧;泄漏在空旷地方的1,2-二氯苯可就地掩埋。 二、防护措施 呼吸系统防护:可能接触其蒸气时,应该佩戴自吸过滤式防毒面具(半面罩)。 眼睛防护:戴安全防护眼镜。 身体防护:穿防毒物渗透工作服。 手防护:戴橡胶手套。 其它;工作现场禁止吸烟、进食和饮水。工作毕,沐浴更衣。单独存放被毒物污染的衣服,洗后备用。保持良好的卫生习惯。 三、急救措施 皮肤接触:立即脱去被污染的衣着,用肥皂水和清水彻底冲洗皮肤。 眼睛接触:提起眼睑,用流动清水或生理盐水冲洗。就医。 吸入:迅速脱离现场至空气新鲜处。保持呼吸道通畅。如呼吸困难,给输氧。如呼吸停止,立即进行人工呼吸。就医。 食入:饮足量温水,催吐,就医。 灭火方法:雾状水、泡沫、二氧化碳、砂土、干粉。 |
| 符号 |
GHS02, GHS06, GHS08 |
|---|---|
| 信号词 | Danger |
| 危害声明 | H225-H301 + H311 + H331-H370-H412 |
| 补充危害声明 | Repeated exposure may cause skin dryness or cracking. |
| 警示性声明 | P210-P260-P280-P301 + P310 + P330-P308 + P311-P403 + P233 |
| 个人防护装备 | Eyeshields;Faceshields;full-face respirator (US);Gloves;multi-purpose combination respirator cartridge (US) |
| 危害码 (欧洲) | Xn:Harmful |
| 风险声明 (欧洲) | R22;R36/37/38;R50/53 |
| 安全声明 (欧洲) | S9-S16-S26-S60-S61-S23-S45-S36/37 |
| 危险品运输编码 | UN 1993 3/PG 2 |
| WGK德国 | 3 |
| RTECS号 | CZ4500000 |
| 包装等级 | III |
| 危险类别 | 6.1 |
| 海关编码 | 29036100 |

搜索








