2,4-二氟苯胺
【用途一】
用作合成医药、农药、染料的中间体
用作合成医药、农药、染料的中间体
【用途二】
2,4-二氟苯胺是有机合成的中间体。医药上用于二氟苯水杨酸和多氟啶酸的合成。氟苯水杨酸是羧酸类非甾抗炎药,国际非专有药名(INN)为Diflunisal。这个水杨酸的新衍生物结构中不含有阿司匹林的乙酰基而含有二氟苯基,所以抗血小板的副作用小,且胃肠道反应轻微,作用时间可维持8-12h,可能是水杨酸类药物中最有发展前途的品种。也是农药的重要中间体。
2,4-二氟苯胺是有机合成的中间体。医药上用于二氟苯水杨酸和多氟啶酸的合成。氟苯水杨酸是羧酸类非甾抗炎药,国际非专有药名(INN)为Diflunisal。这个水杨酸的新衍生物结构中不含有阿司匹林的乙酰基而含有二氟苯基,所以抗血小板的副作用小,且胃肠道反应轻微,作用时间可维持8-12h,可能是水杨酸类药物中最有发展前途的品种。也是农药的重要中间体。
产品名称
-
中文名2,4-二氟苯胺
-
英文名2,4-Difluoroaniline
-
中文别名2.4-二氟苯胺
-
英文别名
2,4-difluorophenylamine 2,4-DIFLOUROANILINE Benzenamine, 2,4-difluoro- Difluoroaniline 4-Difluoroaniline 2,4-Difluoranilin 2,4-difluoro-anilin 2,4-difluorobenzenamine 2,4-difluorobenzeneamine Aniline,2,4-difluoro EINECS 206-687-5 2,4-Difluoroaniline 4-fluoro-2-fluoroaniline MFCD00007648 2,4-Difluoro-aniline 2,4-DIFLUROANILINE 2,4,6-TRIFLUOROPHENYL ISOCYANATE 2,4-fluoroaniline -
常用名2,4-二氟苯胺
-
C A S号367-25-9
物理性质
-
密度1.3±0.1 g/cm3
-
沸点168.4±20.0 °C at 760 mmHg
-
熔点−7.5 °C(lit.)
-
化学式C6H5F2N
-
结构式
1、 摩尔折射率:30.47
2、 摩尔体积(cm3/mol):100.1
3、 等张比容(90.2K):247.3
4、 表面张力(dyne/cm):37.2
5、 极化率(10-24cm3):12.08
-
闪点62.8±0.0 °C
-
分子量129.107
-
精确质量129.039001
-
P S A26.02000
-
外观形状透明液体
-
储存条件
包装采用250kg内塑外铁桶。
-
稳定性
-
水溶解性
-
形态无色或淡黄色透明液体
-
H L B值
-
粘度
-
PH值
作用/用途
【用途一】
用作合成医药、农药、染料的中间体
用作合成医药、农药、染料的中间体
【用途二】
2,4-二氟苯胺是有机合成的中间体。医药上用于二氟苯水杨酸和多氟啶酸的合成。氟苯水杨酸是羧酸类非甾抗炎药,国际非专有药名(INN)为Diflunisal。这个水杨酸的新衍生物结构中不含有阿司匹林的乙酰基而含有二氟苯基,所以抗血小板的副作用小,且胃肠道反应轻微,作用时间可维持8-12h,可能是水杨酸类药物中最有发展前途的品种。也是农药的重要中间体。
2,4-二氟苯胺是有机合成的中间体。医药上用于二氟苯水杨酸和多氟啶酸的合成。氟苯水杨酸是羧酸类非甾抗炎药,国际非专有药名(INN)为Diflunisal。这个水杨酸的新衍生物结构中不含有阿司匹林的乙酰基而含有二氟苯基,所以抗血小板的副作用小,且胃肠道反应轻微,作用时间可维持8-12h,可能是水杨酸类药物中最有发展前途的品种。也是农药的重要中间体。
制备方法
1.2,4-二氟硝基苯还原法将铁粉和氯化铵水溶液加入还原釜中,加热升温至回流后,滴加2,4-二氟硝基苯,加完回流2h,反应完毕,用水蒸气蒸馏,馏出液分离后,用氯化钙干燥,即可得合格产品,收率87%。
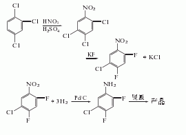
2.由1,2,4-三氯苯经硝化、氟代及还原脱氯而得;或由间苯二胺经重氮化、置换、硝化、还原而得。
安全提醒
MSDS
|
1.1 产品标识符
: 2,4-Difluoroaniline 化学品俗名或商品名 1.2 鉴别的其他方法 无数据资料 1.3 有关的确定了的物质或混合物的用途和建议不适合的用途 仅供科研用途,不作为药物、家庭备用药或其它用途。
模块2. 危险性概述 2.1 GHS分类 易燃液体 (类别4) 急性毒性, 经口 (类别4) 急性毒性, 吸入 (类别3) 急性毒性, 经皮 (类别3) 2.2 GHS 标记要素,包括预防性的陈述 危害类型象形图 信号词危险 危险申明 H227可燃液体 H302吞咽有害。 H311皮肤接触会中毒 H331吸入会中毒。 警告申明 预防 P210远离热源/火花/明火/热表面。- 禁止吸烟。 P261避免吸入粉尘/ 烟/ 气体/ 烟雾/ 蒸汽/ 喷雾。 P264操作后彻底清洁皮肤。 P270使用本产品时不要进食、饮水或吸烟。 P271只能在室外或通风良好之处使用。 P280戴防护手套/ 穿防护服/ 戴防护眼罩/ 戴防护面具。 措施 P302 + P352如果在皮肤上: 用大量肥皂和水淋洗。 P304 + P340如果吸入: 将患者移到新鲜空气处休息,并保持呼吸舒畅的姿势。 P311呼救解毒中心或医生。 P322具体措施(见本标签上提供的急救指导)。 P330漱口。 P361立即去除/脱掉所有沾染的衣服。 P363沾染的衣服清洗后方可重新使用。 P370 + P378火灾时: 用干的砂子,干的化学品或耐醇性的泡沫来灭火。 储存 P403 + P233存放于通风良的地方。 保持容器密闭。 P403 + P235存放在通风良好的地方。保持低温。 P405存放处须加锁。 处理 P501将内容物/ 容器处理到得到批准的废物处理厂。 2.3 其它危害物 - 无 模块3. 成分/组成信息 3.1 物 质 : C6H5F2N 分子式 : 129.11 g/mol 分子量 成分浓度 2,4-Difluoroaniline - 化学文摘编号(CAS No.)367-25-9 EC-编号206-687-5 模块4. 急救措施 4.1 必要的急救措施描述 一般的建议 请教医生。 出示此安全技术说明书给到现场的医生看。 如果吸入 如果吸入,请将患者移到新鲜空气处。 如果停止了呼吸,给于人工呼吸。 请教医生。 在皮肤接触的情况下 用肥皂和大量的水冲洗。 立即将患者送往医院。 请教医生。 在眼睛接触的情况下 用水冲洗眼睛作为预防措施。 如果误服 禁止催吐。 切勿给失去知觉者从嘴里喂食任何东西。 用水漱口。 请教医生。 4.2 最重要的症状和影响,急性的和滞后的 人体吸入引起高铁血红蛋白形成,一定浓度后引起苍白病。一般2~4小时或更长时间后发作, 据我们所知,此化学,物理和毒性性质尚未经完整的研究。 4.3 及时的医疗处理和所需的特殊处理的说明和指示 无数据资料 模块5. 消防措施 5.1 灭火介质 灭火方法及灭火剂 小(起始)火时,使用媒介物如“乙醇”泡沫、干化学品或二氧化碳。大火时,尽可能使用水灭火。使用大量( 洪水般的)水以喷雾状应用;水柱可能是无效的。用大量水降温所有受影响的容器。 5.2 源于此物质或混合物的特别的危害 碳氧化物, 氮氧化物, 氟化氢 5.3 救火人员的预防 如必要的话,戴自给式呼吸器去救火。 5.4 进一步的信息 水喷雾可用来冷却未打开的容器。 模块6. 泄露应急处理 6.1 人员的预防,防护设备和紧急处理程序 戴呼吸罩。 防止吸入蒸汽、气雾或气体。 保证充分的通风。 移去所有火源。 将人员撤离到安全区域。 防范蒸汽积累达到可爆炸的浓度,蒸汽能在低洼处积聚。 6.2 环境预防措施 在确保安全的条件下,采取措施防止进一步的泄漏或溢出。 不要让产物进入下水道。 6.3 抑制和清除溢出物的方法和材料 用防电真空清洁器或湿的刷子将溢出物收集起来并放置到容器中去,根据当地规定处理(见第13部分)。 存放在合适的封闭的处理容器内。 6.4 参考其他部分 丢弃处理请参阅第13节。 模块7. 操作处置与储存 7.1 安全操作的注意事项 避免接触皮肤和眼睛。 防止吸入蒸汽和烟雾。 切勿靠近火源。-严禁烟火。采取防静电生成的措施。 7.2 安全储存的条件,包括任何不兼容性 贮存在阴凉处。 容器保持紧闭,储存在干燥通风处。 打开了的容器必须仔细重新封口并保持竖放位置以防止泄漏。 7.3 特定用途 无数据资料 模块8. 接触控制/个体防护 8.1 控制参数 最高容许浓度 没有已知的国家规定的暴露极限。 8.2 暴露控制 适当的技术控制 避免与皮肤、眼睛和衣服接触。 休息以前和操作过此产品之后立即洗手。 人身保护设备 眼/面保护 面罩與安全眼鏡请使用经官方标准如NIOSH (美国) 或 EN 166(欧盟) 检测与批准的设备防护眼部。 皮肤保护 戴手套取 手套在使用前必须受检查。 请使用合适的方法脱除手套(不要接触手套外部表面),避免任何皮肤部位接触此产品. 使用后请将被污染过的手套根据相关法律法规和有效的实验室规章程序谨慎处理. 请清洗并吹干双手 所选择的保护手套必须符合EU的89/686/EEC规定和从它衍生出来的EN 376标准。 身体保护 全套防化学试剂工作服, 防护设备的类型必须根据特定工作场所中的危险物的浓度和含量来选择。 呼吸系统防护 如危险性评测显示需要使用空气净化的防毒面具,请使用全面罩式多功能防毒面具(US)或ABEK型 (EN 14387)防毒面具筒作为工程控制的候补。如果防毒面具是保护的唯一方式,则使用全面罩式送风防 毒面具。 呼吸器使用经过测试并通过政府标准如NIOSH(US)或CEN(EU)的呼吸器和零件。 模块9. 理化特性 9.1 基本的理化特性的信息 a) 外观与性状 形状: 透明, 液体 颜色: 深红 b) 气味 无数据资料 c) 气味临界值 无数据资料 d) pH值 无数据资料 e) 熔点/凝固点 熔点/熔点范围: -7.5 °C - lit. f) 起始沸点和沸程 170 °C 在 1,004 hPa - lit. g) 闪点 62 °C - 闭杯 h) 蒸发速率 无数据资料 i) 可燃性(固体,气体) 无数据资料 j) 高的/低的燃烧性或爆炸性限度 无数据资料 k) 蒸气压 无数据资料 l) 相对蒸气密度 无数据资料 m) 相对密度 1.268 g/mL 在 25 °C n) 水溶性 无数据资料 o) 辛醇/水分配系数的对数值 无数据资料 p) 自燃温度 无数据资料 q) 分解温度 无数据资料 r) 粘度 无数据资料 模块10. 稳定性和反应活性 10.1 反应性 无数据资料 10.2 化学稳定性 无数据资料 10.3 危险反应的可能性 无数据资料 10.4 避免接触的条件 热,火焰和火花。 10.5 不兼容的材料 酸, 酰氯, 酸酐, 氧化剂 10.6 危险的分解产物 其它分解产物 - 无数据资料 模块11. 毒理学资料 11.1 毒理学影响的信息 急性毒性 半致死剂量(LD50) 经口 - 大鼠 - 820 mg/kg 半致死浓度(LC50) 吸入 - 大鼠 - 4 h - 6,210 mg/m3 半致死剂量(LD50) 经皮 - 大鼠 - 672 mg/kg 皮肤腐蚀/刺激 无数据资料 严重眼损伤 / 眼刺激 无数据资料 呼吸道或皮肤过敏 无数据资料 生殖细胞诱变 无数据资料 致癌性 IARC: 此产品中没有大于或等于 0。1%含量的组分被 IARC鉴别为可能的或肯定的人类致癌物。 生殖毒性 无数据资料 特异性靶器官系统毒性(一次接触) 无数据资料 特异性靶器官系统毒性(反复接触) 无数据资料 吸入危险 无数据资料 潜在的健康影响 吸入吸入会中毒。 可能引起呼吸道刺激。 摄入误吞对人体有害。 皮肤如果被皮肤吸收会有毒性 可能引起皮肤刺激。 眼睛可能引起眼睛刺激。 接触后的征兆和症状 人体吸入引起高铁血红蛋白形成,一定浓度后引起苍白病。一般2~4小时或更长时间后发作, 据我们所知,此化学,物理和毒性性质尚未经完整的研究。 附加说明 化学物质毒性作用登记: BX3680000 模块12. 生态学资料 12.1 毒性 无数据资料 12.2 持久存留性和降解性 无数据资料 12.3 生物积累的潜在可能性 无数据资料 12.4 土壤中的迁移 无数据资料 12.5 PBT 和 vPvB的结果评价 无数据资料 12.6 其它不利的影响 无数据资料 模块13. 废弃处置 13.1 废物处理方法 产品 此易爆炸产品可以在备有燃烧后处理和洗刷作用的化学焚化炉中燃烧 将剩余的和未回收的溶液交给处理公司。 联系专业的拥有废弃物处理执照的机构来处理此物质。 污染了的包装物 作为未用过的产品弃置。 模块14. 运输信息 14.1 UN编号 欧洲陆运危规: 2941国际海运危规: 2941国际空运危规: 2941 14.2 联合国(UN)规定的名称 欧洲陆运危规: FLUOROANILINES 国际海运危规: FLUOROANILINES 国际空运危规: Fluoroanilines 14.3 运输危险类别 欧洲陆运危规: 6.1国际海运危规: 6.1国际空运危规: 6.1 14.4 包裹组 欧洲陆运危规: III国际海运危规: III国际空运危规: III 14.5 环境危险 欧洲陆运危规: 否国际海运危规 海运污染物: 否国际空运危规: 否 14.6 对使用者的特别预防 无数据资料 上述信息视为正确,但不包含所有的信息,仅作为指引使用。本文件中的信息是基于我们目前所知,就正 确的安全提示来说适用于本品。该信息不代表保证此产品的性质。 公司对任何操作或者接触上述产品而引起的损害不负有任何责任,。更多使用条款,参见发票或包 装条的反面。 模块 15 - 法规信息 N/A 模块16 - 其他信息 N/A |
原料简介
应用范围
毒性和生态
安全信息
| 符号 |
GHS06 |
|---|---|
| 信号词 | Danger |
| 危害声明 | H302-H311-H331 |
| 警示性声明 | P261-P280-P311 |
| 个人防护装备 | Eyeshields;Faceshields;full-face respirator (US);Gloves;multi-purpose combination respirator cartridge (US);type ABEK (EN14387) respirator filter |
| 危害码 (欧洲) | Xn:Harmful |
| 风险声明 (欧洲) | R20/21/22;R36/37/38 |
| 安全声明 (欧洲) | S28-S36/37/39-S26 |
| 危险品运输编码 | UN 2941 6.1/PG 3 |
| WGK德国 | 1 |
| RTECS号 | BX3680000 |
| 包装等级 | III |
| 危险类别 | 6.1 |
| 海关编码 | 2921420090 |
是否危险品
危险性
危险类别码
危险等级
触发危险方式
安全技术说明书
环境影响程度
包装与储运
相关供应商









