丙烯酸正丁酯
用途二:丙烯酸及其酯类在工业上得到广泛应用。在使用过程中,往往将丙烯酸酯类聚合成聚合物或共聚物。丙烯酸丁酯(以及甲酯、乙酯、2-乙基己酯)属于软单体,可以与各种硬单体如甲基丙烯酸甲酯、苯乙烯、丙烯腈、乙酸乙烯等,及官能性单体如(甲基)丙烯酸羟乙酯、羟丙酯、缩水甘油酯、(甲基)丙烯酰胺及基衍生物等进行共聚、交联、接枝等,作成200-700多种丙烯酸类树脂产品(主要是乳液型,溶剂型及水溶型的),广泛用作涂料、胶粘剂、腈纶纤维改性、塑料改性、纤维及织物加工、纸张处理剂、皮革加工以及丙烯酸类橡胶等许多方面。
-
中文名丙烯酸丁酯
-
英文名butyl acrylate
-
中文别名丙烯酸正丁酯 | 正丁基丙烯酸酯 | 丙烯酸叔丁酯 | 2-丙烯酸丁酯 | 丙烯酸丁酯(BA)
-
英文别名
Butyl 2-propenoate Acrylic acid butyl ester (8CI) n-butyl propenoate Butyl acrylate,stabilized MFCD00008809 butyl prop-2-enoate 1-butylacrylate Acrylic acid n-butyl ester Butyl propenoate acrylic acid butyl ester Acrylic acid, butyl ester butyl acrylate n-butyl acrylate EINECS 216-768-7 4-02-00-01463 2-Propenoic acid, butyl ester Acrylic acid, n-butyl ester UNII-705NM8U35V butyl-2-propenoate 2-Propenoic acid butyl ester 4-02-00-01463 (Beilstein Handbook Reference) MFCD00009446 acrylatedebutyle -
常用名丙烯酸正丁酯
-
C A S号141-32-2
-
密度0.9±0.1 g/cm3
-
沸点145.9±9.0 °C at 760 mmHg
-
熔点-69 °C
-
化学式C7H12O2
-
结构式
1、摩尔折射率:35.97
2、摩尔体积(cm3/mol):142.6
3、等张比容(90.2K):324.3
4、表面张力(dyne/cm):26.7
5、极化率(10-24cm3):14.26
-
闪点39.4±0.0 °C
-
分子量128.169
-
精确质量128.083725
-
P S A26.30000
-
外观形状透明无色液体
-
储存条件
储存注意事项储存于阴凉、通风的库房。远离火种、热源。库温不宜超过37℃。包装要求密封,不可与空气接触。应与氧化剂、酸类、碱类分开存放,切忌混储。不宜大量储存或久存。采用防爆型照明、通风设施。禁止使用易产生火花的机械设备和工具。储区应备有泄漏应急处理设备和合适的收容材料。
-
稳定性
-
水溶解性
-
形态
-
H L B值
-
粘度
-
PH值
用途二:丙烯酸及其酯类在工业上得到广泛应用。在使用过程中,往往将丙烯酸酯类聚合成聚合物或共聚物。丙烯酸丁酯(以及甲酯、乙酯、2-乙基己酯)属于软单体,可以与各种硬单体如甲基丙烯酸甲酯、苯乙烯、丙烯腈、乙酸乙烯等,及官能性单体如(甲基)丙烯酸羟乙酯、羟丙酯、缩水甘油酯、(甲基)丙烯酰胺及基衍生物等进行共聚、交联、接枝等,作成200-700多种丙烯酸类树脂产品(主要是乳液型,溶剂型及水溶型的),广泛用作涂料、胶粘剂、腈纶纤维改性、塑料改性、纤维及织物加工、纸张处理剂、皮革加工以及丙烯酸类橡胶等许多方面。
丙烯酸酯的生产方法有丙烯腈水解法,β-丙内酯法、雷佩法和改良雷佩法、氰乙醇法和丙烯直接氧化法。
1.氰乙醇法 以氯乙醇和氰化钠为原料,反应生成氰乙醇、氰乙醇在硫酸存在下水解生成丙烯酸。
2.丙烯腈水解法 由于丙烯腈来源丰富,便发展了用丙烯腈作原料生产丙烯酸酯的方法。现已工业化的方法有Societe Ugine法和Standard Oil Co(O-hio)法。将丙烯腈与硫酸一起加热到90℃,使丙烯腈水解成丙烯酰胺的硫酸盐,硫酸盐进一步酯化生成丙烯酸酯。近年有专利报道,以丙烯腈为原料,采用一步法生产,酯的收率可达95%。
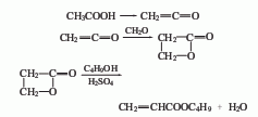
3.β-丙内酯法 以乙酸(或丙酮)为原料,磷酸三乙酯为催化剂,在625-730℃下裂解生成乙烯酮。然后与无水甲醋在AICI3或BF3催化剂存在下,在25℃进行气相反应,生成β-丙内酯:如目的产物是丙烯酸,则将丙内酯与热的100%磷酸接触,便异构成丙烯酸;若目的产物是丙烯酸酯,则粗丙内酯可不经提纯,直接与相应的醇及硫酸反应。
4.雷佩法和改良雷佩法 第二次世界大战期间,Reppe在研究工作中发现了两种方法使乙炔、一氧化碳与水或醇反应合成丙烯酸或丙烯酯。即“化学计量法”和“催化法”,后来经过发展成为Rohm&Hass公司在生产中采用的改进的雷佩法和Dow-Badiche公司采用的高压雷佩法。
(1)化学计量法 此方法是使乙炔、羰基镍(提供一氧化碳)与水或醇在比较温和条件下(40℃,0.101MPa)反应,生成丙烯酸或丙烯酸酯:
(2)催化法 乙炔、一氧化碳、醇在羰基镍催化剂存在下,于150℃、1.50-3MPa下进行反应制得丙烯酸酯:
(3)改良雷佩法 此法是上述两法的结合,在化学计量法反应开始后,通入一氧化碳和乙炔,反应即可连续进行,反应所需的一氧化碳有80%可用气体一氧化碳,而羰基镍只需提供20%。(4)高压雷佩法 此法的特点是用四氢呋喃为溶剂,将反应所需的乙炔先溶解在四氢呋喃中,这样可减少高压处理乙炔的危险,同时不用羰基镍,只需用镍盐作催化剂,在200-225℃和8.11-10.13MPa下进行反应。(5)丙烯直接氧化法 丙烯气相空气催化氧化法是生产丙烯酸及其酯类的最新方法。原料消耗定额:丙烯酸770kg/t、正丁醇610kg/t。
5.制法:
于装有韦氏分馏柱(带蒸馏装置)、搅拌器、通气导管的反应瓶中,加入正丁醇371g(5.0mol),丙烯酸甲酯(2)861g(10.0mol),对苯二酚20g和对甲苯磺酸10g,通入二氧化碳气体,搅拌下油浴加热回流。首先蒸出的是甲醇-丙烯酸甲酯的共沸物(62~63℃),控制蒸馏头温度不超过65℃。约8~10h当甲醇的产生很缓慢时,减压蒸出过量的丙烯酸甲酯,而后减压收集39℃/1.33kPa的馏分,得丙烯酸正丁酯①(1)500~600g,收率78%~94%。注:①该方法采用了酯过量的方法进行酯交换反应,酯回收后可循环使用。利用该方法可以合成如下各种酯(表I-9-1 参考书485页)。
2.对环境的影响: 一、健康危害 侵入途径:吸入、食入、经皮吸收。 健康危害:吸入、口服或经皮肤吸收对身体有害。其蒸气或雾对眼睛、粘膜和呼吸道有刺激作用。中毒表现有烧灼感、咳嗽、喘息、喉炎、气短、头痛、恶心和呕吐。 二、毒理学资料及环境行为 毒性:属低毒类。
急性毒性:LD 50900mg/kg(大鼠经口);2000mg/kg(兔经皮);LC 5014305mg/m 3,4小时(大鼠吸入) 刺激性:家兔经皮开放性刺激试验:10mg(24小时),轻度刺激。家兔经眼:50mg,轻度刺激。 生殖毒性:大鼠吸入最低中毒浓度(TCL 0):135ppm(6小时)(孕6~15天), 植入后死亡率升高。 致癌性:IARC致癌性评论:动物可疑阳性,人类无可靠数据。 危险特性:易燃,遇明火、高热或与氧化剂接触,有引起燃烧爆炸的危险。容易自聚,聚合反应随着温度的上升而急骤加剧。若遇高热,可能发生聚合反应,出现大量放热现象,引起容器破裂和爆炸事故。 燃烧(分解)产物:一氧化碳、二氧化碳。 3.现场应急监测方法: 4.实验室监测方法: 气相色谱法(WS/T161-1999,作业场所空气) 空气中微量丙烯酸丁酯和甲基丙烯酸丁酯的鉴定(气相色谱法)[刊俄]/Ozhandzhapanyan A.N.;Puzyan E.A .//ГИГ.ca HИT.-1988,(11).-43~45 《分析化学文摘 》1992-1993 5.环境标准:
6.应急处理处置方法: 一、泄漏应急处理 迅速撤离泄漏污染区人员至安全区,并进行隔离,严格限制出入。切断火源。建议应急处理人员戴自给正压式呼吸器,穿消防防护服。尽可能切断泄漏源。防止进入下水道、排洪沟等限制性空间。小量泄漏:用砂土、干燥石灰或苏打灰混合。也可以用不燃性分散剂制成的乳液刷洗,洗液稀释后放入废水系统。大量泄漏:构筑围堤或挖坑收容。用泡沫覆盖,降低蒸气灾害。用防爆泵转移至槽车或专用收集器内,回收或运至废物处理场所处置。 二、防护措施 呼吸系统防护:空气中浓度超标时,应该佩戴直接式防毒面具(半面罩)。必要时,佩戴导管式防毒面具或自给式呼吸器。 眼睛防护:戴化学安全防护眼镜。 身体防护:穿防静电工作服。 手防护:戴防苯耐油手套。 其它:工作现场严禁吸烟。工作毕,淋浴更衣。注意个人清洁卫生。 三、急救措施 皮肤接触:脱去被污染的衣着,用肥皂水和清水彻底冲洗皮肤。 眼睛接触:提起眼睑,用流动清水或生理盐水冲洗。就医。 吸入:迅速脱离现场至空气新鲜处。保持呼吸道通畅。如呼吸困难,给输氧。如呼吸停止,立即进行人工呼吸。就医。 食入:饮足量温水,催吐,就医。 灭火方法:灭火剂:泡沫、干粉、二氧化碳、砂土。用水灭火无效,但可用水保持火场中容器冷却。消防人员必须穿戴全身防火防毒服。遇大火,消防人员须在有防护掩蔽处操作。 |
| 符号 |
GHS02, GHS07 |
|---|---|
| 信号词 | Warning |
| 危害声明 | H226-H302 + H312 + H332-H315-H317-H319-H335-H412 |
| 警示性声明 | P261-P273-P280-P305 + P351 + P338 |
| 个人防护装备 | Eyeshields;Faceshields;full-face respirator (US);Gloves;multi-purpose combination respirator cartridge (US);type ABEK (EN14387) respirator filter |
| 危害码 (欧洲) | Xi:Irritant |
| 风险声明 (欧洲) | R10;R36/37/38;R43 |
| 安全声明 (欧洲) | S16-S25-S37-S61-S9 |
| 危险品运输编码 | UN 1993 3/PG 2 |
| WGK德国 | 2 |
| RTECS号 | UD3150000 |
| 包装等级 | III |
| 危险类别 | 3 |
| 海关编码 | 2916129000 |

搜索










