【用途一】
酸碱指示剂,变色范围pH8.2(无色)-9.8(红色)。

| 3,3-bis(4-hydroxy-3-methylphenyl)-2-benzofuran-1-one |
| 3,3'-DIMETHYLPHENOLPHTHALEIN |
| o-cresolphthalein |
| MFCD00005912 |
| 1(3H)-Isobenzofuranone, 3,3-bis(4-hydroxy-3-methylphenyl)- |
| 3,3-Bis(4-hydroxy-3-methylphenyl)-1(3H)-isobenzofuranone |
| 3,3-Bis(4-hydroxy-3-methylphenyl)-2-benzofuran-1(3H)-one |
| EINECS 209-881-8 |
五、分子性质数据:
1、 摩尔折射率:97.75
2、 摩尔体积(cm3/mol):262.2
3、 等张比容(90.2K):728.9
4、 表面张力(dyne/cm):59.6
5、 极化率(10-24cm3):38.75
储存于阴凉干燥处。
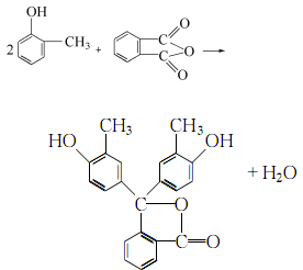
1.由苯酐与邻甲苯缩合而得。将苯酐和邻甲酚混合加热熔化,在110℃加入无水氯化锌,并在110-115℃搅拌反应12-18h,通入蒸汽赶出剩余的邻甲酚。将所得粗品氢氧化钠溶液溶解,过滤。滤液用稀盐酸中和,得白色结晶即为成品。
2.将邻甲苯酚与邻苯二甲酸酐混合,在搅拌下慢慢加热至熔化后迅速加入新鲜无水氯化锌,加热至105~110℃,保温5~6h,进行缩合反应:
反应结束后,加入少量水,搅拌使沉淀溶解,然后加到稀盐酸中,待沉淀完全后,过滤,用少量蒸馏水洗涤沉淀数次,将沉淀研碎后再加稀盐酸,过滤。向过滤后的结晶中加入10%的氢氧化钠溶液,搅拌并加热溶解,之后,加入冷蒸馏水,冷却结晶,过滤,用水洗涤结晶至合格。将洗涤液与滤液合并,并加入浓盐酸,冷却结晶,过滤,水洗至合格,并入上述结晶干燥即得邻甲酚酞。
|
1.1 产品标识符
: 邻甲酚酞 产品名称 1.2 鉴别的其他方法 无数据资料 1.3 有关的确定了的物质或混合物的用途和建议不适合的用途 仅供科研用途,不作为药物、家庭备用药或其它用途。
模块2. 危险性概述 2.1 GHS分类 根据化学品全球统一分类与标签制度(GHS)的规定,不是危险物质或混合物。 2.3 其它危害物 - 无 模块3. 成分/组成信息 3.1 物 质 : C22H18O4 分子式 : 346.38 g/mol 分子量 无 模块4. 急救措施 4.1 必要的急救措施描述 吸入 如果吸入,请将患者移到新鲜空气处。 如果停止了呼吸,给于人工呼吸。 皮肤接触 用肥皂和大量的水冲洗。 眼睛接触 用水冲洗眼睛作为预防措施。 食入 切勿给失去知觉者从嘴里喂食任何东西。 用水漱口。 4.2 主要症状和影响,急性和迟发效应 4.3 及时的医疗处理和所需的特殊处理的说明和指示 无数据资料 模块5. 消防措施 5.1 灭火介质 灭火方法及灭火剂 用水雾,耐醇泡沫,干粉或二氧化碳灭火。 5.2 源于此物质或混合物的特别的危害 碳氧化物 5.3 给消防员的建议 如必要的话,戴自给式呼吸器去救火。 5.4 进一步信息 无数据资料 模块6. 泄露应急处理 6.1 人员的预防,防护设备和紧急处理程序 防止粉尘的生成。 防止吸入蒸汽、气雾或气体。 6.2 环境保护措施 不要让产物进入下水道。 6.3 抑制和清除溢出物的方法和材料 扫掉和铲掉。 存放进适当的闭口容器中待处理。 6.4 参考其他部分 丢弃处理请参阅第13节。 模块7. 操作处置与储存 7.1 安全操作的注意事项 在有粉尘生成的地方,提供合适的排风设备。一般性的防火保护措施。 7.2 安全储存的条件,包括任何不兼容性 贮存在阴凉处。 容器保持紧闭,储存在干燥通风处。 7.3 特定用途 无数据资料 模块8. 接触控制和个体防护 8.1 容许浓度 最高容许浓度 没有已知的国家规定的暴露极限。 8.2 暴露控制 适当的技术控制 常规的工业卫生操作。 个体防护设备 眼/面保护 请使用经官方标准如NIOSH (美国) 或 EN 166(欧盟) 检测与批准的设备防护眼部。 皮肤保护 戴手套取 手套在使用前必须受检查。 请使用合适的方法脱除手套(不要接触手套外部表面),避免任何皮肤部位接触此产品. 使用后请将被污染过的手套根据相关法律法规和有效的实验室规章程序谨慎处理. 请清洗并吹干双手 所选择的保护手套必须符合EU的89/686/EEC规定和从它衍生出来的EN 376标准。 身体保护 根据危险物质的类型,浓度和量,以及特定的工作场所来选择人体保护措施。, 防护设备的类型必须根据特定工作场所中的危险物的浓度和含量来选择。 呼吸系统防护 不需要保护呼吸。如需防护粉尘损害,请使用N95型(US)或P1型(EN 143)防尘面具。 呼吸器使用经过测试并通过政府标准如NIOSH(US)或CEN(EU)的呼吸器和零件。 模块9. 理化特性 9.1 基本的理化特性的信息 a) 外观与性状 形状: 粉末 颜色: 棕灰色 b) 气味 无数据资料 c) 气味阈值 无数据资料 d) pH值 无数据资料 e) 熔点/凝固点 熔点/凝固点: 219 - 221 °C - lit. f) 起始沸点和沸程 无数据资料 g) 闪点 无数据资料 h) 蒸发速率 无数据资料 i) 易燃性(固体,气体) 无数据资料 j) 高的/低的燃烧性或爆炸性限度 无数据资料 k) 蒸汽压 无数据资料 l) 蒸汽密度 无数据资料 m) 相对密度 无数据资料 n) 水溶性 无数据资料 o) n-辛醇/水分配系数 无数据资料 p) 自燃温度 无数据资料 q) 分解温度 无数据资料 r) 粘度 无数据资料 模块10. 稳定性和反应活性 10.1 反应性 无数据资料 10.2 稳定性 无数据资料 10.3 危险反应的可能性 无数据资料 10.4 应避免的条件 无数据资料 10.5 不兼容的材料 强氧化剂 10.6 危险的分解产物 其它分解产物 - 无数据资料 模块11. 毒理学资料 11.1 毒理学影响的信息 急性毒性 无数据资料 皮肤刺激或腐蚀 无数据资料 眼睛刺激或腐蚀 无数据资料 呼吸道或皮肤过敏 无数据资料 生殖细胞突变性 无数据资料 致癌性 IARC: 此产品中没有大于或等于 0。1%含量的组分被 IARC鉴别为可能的或肯定的人类致癌物。 生殖毒性 无数据资料 特异性靶器官系统毒性(一次接触) 无数据资料 特异性靶器官系统毒性(反复接触) 无数据资料 吸入危险 无数据资料 潜在的健康影响 吸入吸入可能有害。 可能引起呼吸道刺激。 摄入如服入是有害的。 皮肤如果通过皮肤吸收可能是有害的。 可能引起皮肤刺激。 眼睛可能引起眼睛刺激。 附加说明 化学物质毒性作用登记: 无数据资料 模块12. 生态学资料 12.1 生态毒性 无数据资料 12.2 持久存留性和降解性 无数据资料 12.3 潜在的生物蓄积性 无数据资料 12.4 土壤中的迁移性 无数据资料 12.5 PBT 和 vPvB的结果评价 无数据资料 12.6 其它不利的影响 无数据资料 模块13. 废弃处置 13.1 废物处理方法 产品 将剩余的和未回收的溶液交给处理公司。 受污染的容器和包装 作为未用过的产品弃置。 模块14. 运输信息 14.1 联合国危险货物编号 欧洲陆运危规: -国际海运危规: -国际空运危规: - 14.2 联合国(UN)规定的名称 欧洲陆运危规: 非危险货物 国际海运危规: 非危险货物 国际空运危规: 非危险货物 14.3 运输危险类别 欧洲陆运危规: -国际海运危规: -国际空运危规: - 14.4 包裹组 欧洲陆运危规: -国际海运危规: -国际空运危规: - 14.5 环境危险 欧洲陆运危规: 否国际海运危规 海运污染物: 否国际空运危规: 否 14.6 对使用者的特别提醒 无数据资料 模块 15 - 法规信息 N/A 模块16 - 其他信息 N/A |
| 个人防护装备 | Eyeshields;Gloves;type N95 (US);type P1 (EN143) respirator filter |
|---|---|
| 危害码 (欧洲) | Xn:Harmful; |
| 风险声明 (欧洲) | R40 |
| 安全声明 (欧洲) | S36/37 |
| 危险品运输编码 | NONH for all modes of transport |
| RTECS号 | SM8390000 |
| 海关编码 | 2932209090 |