提示
✕
确 定
取 消
提示
✕
完成工程师认证,即可发布配方
前往认证
公告:
1.关于短信提醒与关注公众号的公告
站内
站内
论坛
搜索
×
搜索
登录
注册
发布
订单
历史
首页
在线咨询
专家配方
知识·技术
资料文库
样品商城
企业联盟
专业视角
行业资讯
市场行情
化学百科
说吧·论坛
温馨提示
根据网络安全管理条例
请登陆后继续浏览
确定
您暂未开通PLUS会员,请选择您的会员套餐
✖
套餐选择:
PLUS半年会员
¥68.00
¥108.00
限时
PLUS年度会员
¥108.00
¥188.00
限时
支付方式:
支付宝
✔
微信
✔
说豆
余额:0
✔
说币
余额:0
✔
支付金额:
说豆
支付金额:
说币
我已阅读并知悉
购买协议
扫码购买
使用支付宝APP扫码完成支付
支付剩余时间:
支付金额
¥
首页
搜索结果
搜索
综合
配方
知识
文库
视角
资讯
市场
百科
十二烷基
硫酸钠
化学百科
癸基
硫酸钠
化学百科
辛基
硫酸钠
化学百科
4-甲基香豆素基-β-D-吡喃半乳糖苷-6-
硫酸钠
盐
化学百科
硫代
硫酸钠
化学百科
十四烷基
硫酸钠
化学百科
淀粉
硫酸钠
化学百科
纤维素
硫酸钠
化学百科
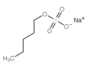
已基
硫酸钠
化学百科
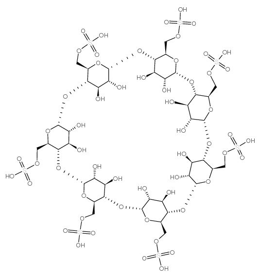
环糊精
硫酸钠
化学百科
上一页
下一页