吐温 60
1.本品作为乳化剂用于食品、医药、塑料及化妆品工业,亦可作聚丙烯腈纤维纺丝油剂的组分,作为纤维后加工柔软剂能消除纤维静电并提高柔软性。作为O/W型食品乳化剂,单独使用或与司盘-60、司盘-65、司盘-80混合使用。我国规定可用于面包,最大使用量为2.5g/kg;在乳化香精中最大使用量为1.5g/kg。本品作为乳化剂、分散剂、稳定剂、扩散剂、柔软剂、抗静电剂、防锈剂,整理剂用于医药、化妆品、油漆颜料、纺织、食品、农药、洗涤剂生产和金属表面防锈清洗工业,作为降粘剂用以石油开采和输送方面。
2.用作非离子型乳化剂。特别适宜与S-60混合使用。还是优良的水包油型乳化剂,并具有润湿、扩散、发泡等性能。用于聚合乳化剂及合成纤维纺丝油剂的组分之一,也可用作纤维后加工的柔软剂。对人体无害,广泛用于食品、医药、塑料及化妆品等工业。
-
中文名吐温 60
-
英文名Tween 60
-
中文别名聚氧乙烯失水山梨醇醚硬脂酸酯 | 聚氧乙烯山梨醇酐硬脂酸酯 | 乳化剂 T-60
-
英文别名
D-Glucitol, 1,4-anhydro-2,3-bis-O-(2-hydroxyethyl)-6-O-(1-oxododecyl)- MFCD01780110 1,4-Anhydro-6-O-dodecanoyl-2,3-bis-O-(2-hydroxyethyl)-D-glucitol Polyoxyethylene sorbitan monostearate 5'-O-[Bis(4-methoxyphenyl)(phenyl)methyl]-3'-O-[(2-cyanoethoxy)(diisopropylamino)phosphino]thymidine Polyethylene glycol sorbitan monostearate polysorbate 60 Thymidine, 5'-O-[bis(4-methoxyphenyl)phenylmethyl]-3'-O-[[bis(1-methylethyl)amino](2-cyanoethoxy)phosphino]- -
常用名吐温 60
-
C A S号9005-67-8
-
密度1.1±0.1 g/cm3
-
沸点583.8±50.0 °C at 760 mmHg
-
熔点N/A
-
化学式C40H49N4O8P
-
结构式
-
闪点190.4±23.6 °C
-
分子量744.813
-
精确质量744.328796
-
P S A133.14000
-
外观形状
-
储存条件
常温密闭避光,通风干燥处
-
稳定性
-
水溶解性
-
形态黄色蜡状固体
-
H L B值
-
粘度
-
PH值
1.本品作为乳化剂用于食品、医药、塑料及化妆品工业,亦可作聚丙烯腈纤维纺丝油剂的组分,作为纤维后加工柔软剂能消除纤维静电并提高柔软性。作为O/W型食品乳化剂,单独使用或与司盘-60、司盘-65、司盘-80混合使用。我国规定可用于面包,最大使用量为2.5g/kg;在乳化香精中最大使用量为1.5g/kg。本品作为乳化剂、分散剂、稳定剂、扩散剂、柔软剂、抗静电剂、防锈剂,整理剂用于医药、化妆品、油漆颜料、纺织、食品、农药、洗涤剂生产和金属表面防锈清洗工业,作为降粘剂用以石油开采和输送方面。
2.用作非离子型乳化剂。特别适宜与S-60混合使用。还是优良的水包油型乳化剂,并具有润湿、扩散、发泡等性能。用于聚合乳化剂及合成纤维纺丝油剂的组分之一,也可用作纤维后加工的柔软剂。对人体无害,广泛用于食品、医药、塑料及化妆品等工业。
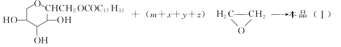
1.将1 mol斯盘60投入反应釜中,加热熔化后开搅拌,加入催化剂量的氢氧化钠溶液。抽真空减压脱水,脱水完毕后用氮气置换釜中的空气,升温至140℃开始通入环氧乙烷4 mol进行缩合反应,缩合温度维持在160~180℃。通环氧乙烷到配比量后冷却,出料液打入中和釜,用冰醋酸中和至酸值2左右,然后用双氧水脱色,脱水,出料包装即为成品。
2.在甲醇钠(或乙醇钠)的催化下、130~170℃时,Span-60中通入一定量的环氧乙烷发生加成反应得产品。将330 kg乳化剂S-60加入反应釜中,加热熔化后,开搅拌加入催化剂量的氢氧化钠溶液。抽真空减压脱水,用氮气置换釜中的空气,升温至140℃后开始通环氧乙烷700 kg,控制反应温度在160~180℃。环氧乙烷通至配比量后,将料液打入中和釜,用冰醋酸调pH值至酸值2左右,最后用适量的双氧水脱色,冷却包装即为成品。
| 个人防护装备 | Eyeshields;Gloves |
|---|---|
| 安全声明 (欧洲) | 24/25 |
| 危险品运输编码 | NONH for all modes of transport |
| WGK德国 | 1 |
| RTECS号 | WG2934000 |
| 海关编码 | 34021300 |








