过氧化苯甲酸叔丁酯
【用途一】
用作高压聚乙烯的引发剂、硅橡胶硫化剂、不饱和聚酯固化剂
用作高压聚乙烯的引发剂、硅橡胶硫化剂、不饱和聚酯固化剂
【用途二】
该品可作不饱和聚酯树脂加热成型的固化引发剂,以及高压聚乙烯、聚苯乙烯、邻苯二甲酸二烯丙酯(DAP)等各种树脂的聚合催化剂。大鼠经口LD50为4160mg/kg,小鼠经口LD50为2500mg/kg。
【用途三】
该品可作不饱和聚酯树脂加热成型的固化引发剂,以及高压聚乙烯、聚苯乙烯、邻苯二甲酸二烯丙酯(DAP)等各种树脂的聚合催化剂。
该品可作不饱和聚酯树脂加热成型的固化引发剂,以及高压聚乙烯、聚苯乙烯、邻苯二甲酸二烯丙酯(DAP)等各种树脂的聚合催化剂。大鼠经口LD50为4160mg/kg,小鼠经口LD50为2500mg/kg。
【用途三】
该品可作不饱和聚酯树脂加热成型的固化引发剂,以及高压聚乙烯、聚苯乙烯、邻苯二甲酸二烯丙酯(DAP)等各种树脂的聚合催化剂。
产品名称
-
中文名过氧化苯甲酸叔丁酯
-
英文名tert-Butyl peroxybenzoate
-
中文别名过氧化叔丁基苯甲酸酯 | 过氧化苯甲酸特丁酯 | 叔丁基过苯甲酸酯
-
英文别名
esperox10 Luperox P TBPB 2-Methyl-2-propanyl benzenecarboperoxoate chaloxydtbpb UNII:54E39145KT perbutylz EINECS 210-382-2 Benzoyl tert-butyl peroxide t-Bu peroxybenzoate tert-Butyl benzenecarboperoxoate Benzenecarboperoxoic acid, 1,1-dimethylethyl ester MFCD00008802 trigonoxc tert-butylperoxy benzoate tert-Butyl peroxybenzoate tertiary butyl peroxybenzenoate tertiary butyl perbenzoate novox VAROX TBPB VAROX TBPB-50 -
常用名过氧化苯甲酸叔丁酯
-
C A S号614-45-9
物理性质
-
密度1.1±0.1 g/cm3
-
沸点282.4±9.0 °C at 760 mmHg
-
熔点8 °C
-
化学式C11H14O3
-
结构式
1、 摩尔折射率:53.63
2、 摩尔体积(cm3/mol):183.2
3、 等张比容(90.2K):446.2
4、 表面张力(dyne/cm):35.1
5、 极化率(10-24cm3):21.26
-
闪点109.7±12.8 °C
-
分子量194.227
-
精确质量194.094299
-
P S A35.53000
-
外观形状淡黄色液体
-
储存条件
储存于阴凉、通风的库房内。远离火种、热源,防止阳光直射。库温不宜超过30℃。包装密封。应与还原剂、碱类分开存放,切忌混储。配备相应品种和数量的消防器材。储区应备有合适的材料收容泄漏物。禁止震动、撞击和摩擦。
-
稳定性
-
水溶解性
-
形态不挥发具有芳香味的无色或淡黄色透明液体。
-
H L B值
-
粘度
-
PH值
作用/用途
【用途一】
用作高压聚乙烯的引发剂、硅橡胶硫化剂、不饱和聚酯固化剂
用作高压聚乙烯的引发剂、硅橡胶硫化剂、不饱和聚酯固化剂
【用途二】
该品可作不饱和聚酯树脂加热成型的固化引发剂,以及高压聚乙烯、聚苯乙烯、邻苯二甲酸二烯丙酯(DAP)等各种树脂的聚合催化剂。大鼠经口LD50为4160mg/kg,小鼠经口LD50为2500mg/kg。
【用途三】
该品可作不饱和聚酯树脂加热成型的固化引发剂,以及高压聚乙烯、聚苯乙烯、邻苯二甲酸二烯丙酯(DAP)等各种树脂的聚合催化剂。
该品可作不饱和聚酯树脂加热成型的固化引发剂,以及高压聚乙烯、聚苯乙烯、邻苯二甲酸二烯丙酯(DAP)等各种树脂的聚合催化剂。大鼠经口LD50为4160mg/kg,小鼠经口LD50为2500mg/kg。
【用途三】
该品可作不饱和聚酯树脂加热成型的固化引发剂,以及高压聚乙烯、聚苯乙烯、邻苯二甲酸二烯丙酯(DAP)等各种树脂的聚合催化剂。
制备方法
(1)叔丁醇硫酸酯的合成 将叔丁醇加入反应釜,然后在搅拌下缓缓加入70%的硫酸,保持温度30℃以下,搅拌下进行反应。反应生成的叔丁醇硫酸酯备用。
(2)过氧化叔丁基的合成 将双氧水加入反应釜,搅拌下冷却至10~20℃,然后以较快的速度将已制备的叔丁醇硫酸酯加入,搅拌2h,静置分层。分出水层后,用碳酸镁溶液中和至pH为6~7,经低温洗涤而得过氧化叔丁基。
(3)引发剂C的合成 将30%的氢氧化钾(或氢氧化钠)溶液和苯甲酰氯在激烈地搅拌下加入到已制备的过氧化叔丁基中,进行反应。反应结束后,产物经洗涤、干燥即得成品。
生产过程所产氯化氢用氢氧化钾吸收、浓缩可得副产品氯化钾。
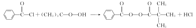
4. 叔丁基过氧化苯甲酸酯的合成 将30%的氢氧化钠投入如已置有叔丁基过氧化氢的反应釜中,加适量清水,并用-5℃以下的冷冻盐水冷却,使之变成25℃以下的糊状物质,开始滴加定量的苯甲酰氯,维持温度在30℃以下,注意控制滴加速度。加完后保温数小时,并维持釜内溶液pH值在10~14之间。反应结束后,停止搅拌,静置分层。放出下层废液;上层油层用10%的碳酸钠洗涤分离,再3%的氢氧化钠洗涤分离,然后继续用清水洗涤三次、硫酸镁溶液洗涤一次,最后将油层放入贮罐内,加无水硫酸镁干燥过夜,所得澄清无色或淡黄色油状液体即为产品。该步反应式
安全提醒
MSDS
|
|||||||||||||||||||||||||||||||||||||||||||||||||||||||||||||||||||||||||||||||||||||||||||||||||||||||||||||||||||||||||||||||||||||||||||||||||||||||||||||||||||||||||||||||||||||||||||||||||||||||||||||||||||||||||||||||||||||||||||||||||||||||
原料简介
应用范围
毒性和生态
安全信息
| 符号 |
GHS02, GHS07, GHS09 |
|---|---|
| 信号词 | Danger |
| 危害声明 | H242-H315-H317-H332-H400 |
| 警示性声明 | P210-P220-P234-P261-P273-P280-P370 + P378-P410-P411 + P235-P420 |
| 个人防护装备 | Eyeshields;Faceshields;full-face respirator (US);Gloves;multi-purpose combination respirator cartridge (US);type ABEK (EN14387) respirator filter |
| 危害码 (欧洲) | E:Explosive |
| 风险声明 (欧洲) | R2;R38;R7 |
| 安全声明 (欧洲) | S7-S14-S36/37/39-S47-S37-S17 |
| 危险品运输编码 | UN 3103 5.2 |
| WGK德国 | 2 |
| RTECS号 | SD9450000 |
| 包装等级 | II |
| 危险类别 | 5.2 |
| 海关编码 | 29163900 |
是否危险品
危险性
危险类别码
危险等级
触发危险方式
安全技术说明书
环境影响程度
包装与储运
相关供应商









