舒利苯酮
Sulisobenzone是防晒霜的一种成分, 保护皮肤免受UVB和短波紫外线UVA的伤害。
产品名称
-
中文名2-羟基-4-甲氧基-5-磺酸二苯甲酮
-
英文名Sulisobenzone
-
中文别名舒利苯酮 | 2-羟基-4-甲氧基二苯甲酮-5-磺酸 | 2-羟基-4-甲氧基-5-磺酸二苯酮 | 5-苯甲酰基-4-羟基-2-甲氧基苯磺酸 | 2-羟基-4-甲氧基二苯甲酮-5-磺酸水合物 | 紫外线吸收剂 BP-4 | 紫外线吸收剂UV-284 | 二苯甲酮-4
-
英文别名
Benzenesulfonic acid, 5-benzoyl-4-hydroxy-2-methoxy- Benzophenone-4 5-Benzoyl-4-hydroxy-2-methoxybenzenesulfonic acid 2-Hydroxy-4-methoxybenzophenone-5-sulfonic acid 2-Hydroxy-4-methoxybenzophenone-5-sulfonic Acid Hydrate EINECS 223-772-2 Sulisobenzona sulisobenzone Sulisobenzone Hydrate 2-Hydroxy-4-Methoxy-5-sulfonylbenzophenone(BP-4) Sulisobenzonum 5-Benzoyl-4-hydroxy-2-methoxybenzenesulfonic Acid Hydrate 5-Benzoyl-4-hydroxy-2-methoxybenzenesulfonic acid,HMBS,Sulisobenzone MFCD00024962 -
常用名舒利苯酮
-
C A S号4065-45-6
物理性质
-
密度1.4±0.1 g/cm3
-
沸点0°C
-
熔点170 °C
-
化学式C14H12O6S
-
结构式
-
闪点0°C
-
分子量308.306
-
精确质量308.035461
-
P S A109.28000
-
外观形状
-
储存条件
避光,通风干燥处,密封保存
-
稳定性
-
水溶解性
-
形态
-
H L B值
-
粘度
-
PH值
作用/用途
Sulisobenzone是防晒霜的一种成分, 保护皮肤免受UVB和短波紫外线UVA的伤害。
制备方法
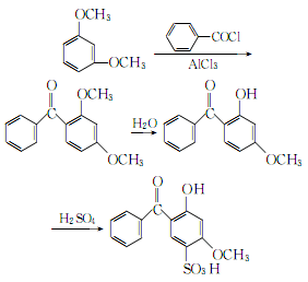
(1).苯二甲醚的合成 将350 kg水加至反应釜中,在搅拌下加入150 kg NaOH。溶解后降温至10 ℃,加入间苯二酚110 kg,搅拌溶解。然后缓缓加入126 kg硫酸二甲酯,在26~30 ℃下反应2 h。加水稀释,分出油层,将油层用水洗至中性。除去低佛点物,蒸馏收集215~220 ℃的馏分,即为间苯二甲醚。
(2)2-羟基-4-甲氧基二苯甲酮的合成 首先将300 kg氯苯加入缩合釜中,在搅拌下加入催化剂AlCl3 350 kg,间苯二醚120 kg。加热至80 ℃左右,缓缓加入苯甲酰氯320 kg。回流4~6 h,冷却,水解,蒸出溶剂,冷却,结晶,干燥,得2-羟基-4-甲氧基二苯甲酮。
(3).2-羟基-4-甲氧基-5-磺酸基二苯丙酮的合成 首先往磺化釜中加入93%的硫酸,在搅拌下慢慢加入2-羟基-4-甲氧基二苯甲酮,在110 ℃左右反应4~6 h,冷却,结晶,甩干,重结晶即为成品。反应式如下:
安全提醒
MSDS
|
2-羟基-4-甲氧基二苯甲酮-5-磺酸水合物(含5-10%的异丙醇 修改号码:6
) 模块1. 化学品 产品名称: 2-Hydroxy-4-methoxybenzophenone-5-sulfonic Acid Hydrate (contains 5-10% Isopropyl Alcohol) 修改号码: 6 模块2. 危险性概述 GHS分类 物理性危害未分类 健康危害 急性毒性(经口) 第5级 急性毒性(经皮) 第5级 严重损伤/刺激眼睛 2A类 生殖毒性 第2级 环境危害未分类 GHS标签元素 图标或危害标志 信号词警告 危险描述皮肤接触或吞咽可能有害。 造成严重眼刺激 怀疑会损害生育能力或胎儿 防范说明 [预防]使用前获取特定手册。 处理前必须阅读并理解所有安全措施。 穿戴防护手套/护目镜/防护面具。 [急救措施]眼睛接触:用水小心清洗几分钟。如果方便,易操作,摘除隐形眼镜。继续冲洗。 眼睛接触:求医/就诊 处理后要彻底清洗双手。 如接触到或相关接触:求医/就诊。 [储存]存放处须加锁。 [废弃处置] 根据当地政府规定把物品/容器交与工业废弃处理机构。 2-羟基-4-甲氧基二苯甲酮-5-磺酸水合物(含5- 修改号码:6 10%的异丙醇) 模块3. 成分/组成信息 单一物质/混和物单一物质 化学名(中文名): 2-羟基-4-甲氧基二苯甲酮-5-磺酸水合物(含5-10%的异丙醇) 百分比: >98.0%(T) CAS编码: 4065-45-6 俗名: 5-Benzoyl-4-hydroxy-2-methoxybenzenesulfonic Acid Hydrate (contains 5-10% Isopropyl Alcohol) , Sulisobenzone Hydrate (contains 5-10% Isopropyl Alcohol) 分子式: C14H12O6S·xH2O 模块4. 急救措施 吸入: 将受害者移到新鲜空气处,保持呼吸通畅,休息。求医/就诊。 皮肤接触: 立即去除/脱掉所有被污染的衣物。用大量肥皂和水轻轻洗。 求医/就诊。 眼睛接触:用水小心清洗几分钟。如果方便,易操作,摘除隐形眼镜。 求医/就诊。 食入: 求医/就诊。漱口。 危害迹象: 头痛, 眩晕, 呕吐 紧急救助者的防护:救援者需要穿戴个人防护用品,比如橡胶手套和气密性护目镜。 模块5. 消防措施 合适的灭火剂:干粉,泡沫,雾状水,二氧化碳 特殊危险性:小心,燃烧或高温下可能分解产生毒烟。 特定方法:从上风处灭火,根据周围环境选择合适的灭火方法。 非相关人员应该撤离至安全地方。 周围一旦着火:如果安全,移去可移动容器。 消防员的特殊防护用具:灭火时,一定要穿戴个人防护用品。 模块6. 泄漏应急处理 个人防护措施,防护用具, 使用特殊的个人防护用品(针对有毒颗粒的P3过滤式空气呼吸器)。远离溢出物/泄露 紧急措施:处并处在上风处。 泄露区应该用安全带等圈起来,控制非相关人员进入。 环保措施:防止进入下水道。 控制和清洗的方法和材料:清扫收集粉尘,封入密闭容器。注意切勿分散。附着物或收集物应该立即根据合适的 法律法规处置。 模块7. 操作处置与储存 处理 技术措施:在通风良好处进行处理。穿戴合适的防护用具。防止粉尘扩散。处理后彻底清洗双手 和脸。 注意事项:如果可能,使用封闭系统。如果粉尘或浮质产生,使用局部排气。 操作处置注意事项:避免所有部位的接触! 贮存 储存条件:保持容器密闭。存放于凉爽、阴暗处。 存放处须加锁。 远离不相容的材料比如氧化剂存放。 包装材料:依据法律。 2-羟基-4-甲氧基二苯甲酮-5-磺酸水合物(含5- 修改号码:6 10%的异丙醇) 模块8. 接触控制和个体防护 工程控制:尽可能安装封闭体系或局部排风系统。同时安装淋浴器和洗眼器。 接触极限: (IPA) ACGIH TLV(TWA):200 ppm ACGIH TLV(STEL):400 ppm OSHA PEL(TWA):400 ppm 个人防护用品 呼吸系统防护: 半面罩或全面罩呼吸器,自携式呼吸器(SCBA),供气呼吸器等。依据当地和政府法 规,使用通过政府标准的呼吸器。 手部防护:防渗手套。 眼睛防护:护目镜。如果情况需要,佩戴面具。 皮肤和身体防护:防渗防护服。如果情况需要,穿戴防护靴。 模块9. 理化特性 外形(20°C):固体 外观: 晶体-粉末 颜色: 白色-微浅黄色 气味:无资料 pH:无数据资料 熔点:无资料 (IPA) -90°C 沸点/沸程无资料 (IPA) 82°C 闪点:无资料 (IPA) 15°C 爆炸特性 爆炸下限:无资料 爆炸上限:无资料 密度:无资料 溶解度: [水]溶于 [其他溶剂]无资料 log水分配系数 = 1.72 log 水分配系数 = (IPA) 0.05 模块10. 稳定性和反应性 化学稳定性:一般情况下稳定。 危险反应的可能性:未报道特殊反应性。 须避免接触的物质氧化剂 危险的分解产物: 一氧化碳, 二氧化碳, 硫氧化物 模块11. 毒理学信息 急性毒性: orl-rat LD50:3530 mg/kg (IPA) orl-hmn LDLo:3570 mg/kg orl-rat LD50:5000 mg/kg skn-rbt LD50:12800 mg/kg ihl-rat LC50:72600 mg/m3 对皮肤腐蚀或刺激:无资料 2-羟基-4-甲氧基二苯甲酮-5-磺酸水合物(含5- 修改号码:6 10%的异丙醇) 模块11. 毒理学信息 (IPA) skn-rbt 500 mg MLD 对眼睛严重损害或刺激: eye-rbt 100 mg MOD (IPA) eye-rbt 100 mg/24H MOD 生殖细胞变异原性:无资料 (IPA) cyt-rat-ihl 1030 ug/m3/16W-I 致癌性: IARC =无资料 NTP =无资料 (IPA) IARC = 3 生殖毒性:无资料 RTECS 号码: DB5044300 模块12. 生态学信息 生态毒性: 鱼类:无资料 甲壳类:无资料 藻类:无资料 残留性 / 降解性:无资料 潜在生物累积 (BCF):无资料 土壤中移动性 log水分配系数: 1.72 土壤吸收系数 (Koc):无资料 亨利定律无资料 constant(PaM3/mol): 模块13. 废弃处置 如果可能,回收处理。请咨询当地管理部门。建议在可燃溶剂中溶解混合,在装有后燃和洗涤装置的化学焚烧炉中 焚烧。废弃处置时请遵守国家、地区和当地的所有法规。 模块14. 运输信息 联合国分类:与联合国分类标准不一致 UN编号:未列明 模块15. 法规信息 《危险化学品安全管理条例》(2002年1月26日国务院发布,2011年2月16日修订): 针对危险化学品的安全使用、 生产、储存、运输、装卸等方面均作了相应的规定。 2-羟基-4-甲氧基二苯甲酮-5-磺酸水合物(含5- 修改号码:6 10%的异丙醇) 模块16 - 其他信息 N/A |
原料简介
应用范围
毒性和生态
安全信息
| 符号 |
GHS07 |
|---|---|
| 信号词 | Warning |
| 危害声明 | H315-H319-H335 |
| 警示性声明 | P261-P305 + P351 + P338 |
| 个人防护装备 | dust mask type N95 (US);Eyeshields;Gloves |
| 危害码 (欧洲) | Xi:Irritant |
| 风险声明 (欧洲) | R36/37/38 |
| 安全声明 (欧洲) | S26-S36-S37/39 |
| 危险品运输编码 | NONH for all modes of transport |
| WGK德国 | 1 |
| RTECS号 | DB5044300 |
| 海关编码 | 2914399090 |
是否危险品
危险性
危险类别码
危险等级
触发危险方式
安全技术说明书
环境影响程度
包装与储运
相关供应商

搜索








