福美司坦
雄性激素,同化蛋白类。
芳香化酶抑制剂。用于进行性乳腺癌。
【用途三】
芳酶抑制药。
【用途四】
芳香酶抑制剂,用作抗肿瘤载体,抵抗雌激素类肿瘤。
-
中文名福美司坦
-
英文名Formestane
-
中文别名4-雄烯-4-醇-3,17-二酮 | 福美斯坦 | 4-羟基雄甾烷-4-烯-3,17-二酮
-
英文别名
Androst-4-ene-3,17-dione, 4-hydroxy- 4-Hydroxyandrost-4-ene-3,17-dione 4-Hydroxy-4-androstene-3,17-dione Formestane B,Aromatase inhibitor Lentaron 4-androsten-4-ol-3,17-dione 4-Hydroxyandrostenedione 4-OH-A MFCD00057814 (8R,9S,10R,13S,14S)-4-hydroxy-10,13-dimethyl-2,6,7,8,9,11,12,14,15,16-decahydro-1H-cyclopenta[a]phenanthrene-3,17-dione -
常用名福美司坦
-
C A S号566-48-3
-
密度1.2±0.1 g/cm3
-
沸点475.4±45.0 °C at 760 mmHg
-
熔点199-202°C
-
化学式C19H26O3
-
结构式
1、 摩尔折射率:83.02
2、 摩尔体积(cm3/mol):253.1
3、 等张比容(90.2K):667.1
4、 表面张力(dyne/cm):48.2
5、 极化率(10-24cm3):32.91
-
闪点255.4±25.2 °C
-
分子量302.408
-
精确质量302.188202
-
P S A54.37000
-
外观形状白色粉末
-
储存条件2-8°C
-
稳定性
-
水溶解性
-
形态
-
H L B值
-
粘度
-
PH值
雄性激素,同化蛋白类。
芳香化酶抑制剂。用于进行性乳腺癌。
【用途三】
芳酶抑制药。
【用途四】
芳香酶抑制剂,用作抗肿瘤载体,抵抗雌激素类肿瘤。
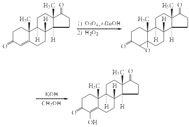
1. 雄甾-4-烯-3,17-二酮(Ⅰ)(1.432g,5mmo1)溶于50ml叔丁醇,在室温下加入38mg(0.15mmo1)四氧化锇在2ml叔丁醇的溶液,然后加入5ml 35%双氧水,在室温下搅拌3天。加100ml盐水稀释后,用二氯甲烷(2×100m1)提取。提取液依次用100ml盐水、50ml 10%亚硫酸氢钠溶液、50ml 10%碳酸钠溶液和100ml盐水洗,无水硫酸钠干燥,浓缩。剩余物(1.824g)为化合物(Ⅱ),溶于10ml甲醇,加入氢氧化钾(393mg,7mmo1)在3ml甲醇的溶液。加毕,在55℃搅拌10min。加入0.3ml乙酸和100ml盐水,用二氯甲烷(2×100ml)提取。期复液,合并,用100ml盐水洗,无水硫酸钠干燥,浓缩。剩余物(1.727g)经硅胶柱层析,己烷-乙酸乙酯(7:3)洗脱,得715mg福美坦,收率47%,熔点200~202℃(丙酮)。
2. 5-环氧-5α-雄(甾)烷-3,17-二酮的制备
在反应瓶中加入雄甾-4-烯-3,17-二酮1.432g(5mmol)和叔丁醇50ml,搅拌溶解,于室温下加入四氧化锇38g(0.15mmol)至叔丁醇2ml的溶液,然后加入35%H2O2 5ml,于室温下搅拌反应3天. 加入盐水100ml稀释.用二氯甲烷(100×2) 提取.有机相依次用盐水100ml、10%NaHSO3溶液50ml、10%NaCO3 50ml、和盐水100ml洗涤,无水NaSO4干燥,过滤,滤液浓缩,剩余物为5-环氧-5α-雄(甾)烷-3,17-二酮1.824,直接用于下步反应.
3. 福美坦的合成
在反应瓶中加入5-环氧-5α-雄(甾)烷-3,17-二酮1.824g(6mmol)和甲醇10ml,搅拌,加入KOH[0.393g(7mmol)] 的甲醇(3ml)溶液.加毕,于55 ºC搅拌反应10min.加入乙酸0.3mol和盐水100ml,用二氯甲烷(100ml×2)提取.合并有机相,用盐水100ml洗涤,无水NaSO4干燥,过滤,滤液浓缩.剩余物为粗品福美坦(1.727g),经硅胶柱色谱分离纯化,用己烷/乙酸乙酯(7:3)洗脱,经后处理,得福美坦0.715g,mp200~202 ºC (丙酮结晶),收率47%.
| 符号 |
GHS08 |
|---|---|
| 信号词 | Danger |
| 危害声明 | H360 |
| 警示性声明 | P201-P308 + P313 |
| 个人防护装备 | Eyeshields;full-face particle respirator type N100 (US);Gloves;respirator cartridge type N100 (US);type P1 (EN143) respirator filter;type P3 (EN 143) respirator cartridges |
| 危害码 (欧洲) | T:Toxic |
| 风险声明 (欧洲) | R60 |
| 安全声明 (欧洲) | S53-S36/37/39-S45 |
| 危险品运输编码 | NONH for all modes of transport |
| WGK德国 | 3 |
| RTECS号 | BV8152500 |

搜索








