提示
提示
完成工程师认证,即可发布配方
非PLUS会员您暂未开通PLUS会员,请选择您的会员套餐
套餐选择:
特权
支付方式:
支付金额:
说豆
支付金额:
说币
扫码购买使用支付宝APP扫码完成支付
支付剩余时间:
支付金额
¥
硫普罗宁

硫普罗宁

Tiopronin可控制胱氨酸尿中胱氨酸的分泌和沉积。
产品名称
  • 中文名
    硫普罗宁
  • 英文名
    Tiopronin
  • 中文别名
    N-(2-巯基丙酰)-甘氨酸 | N-(2-巯基丙酰基)-甘氨酸 | N-(2-巯基丙酰)甘氨酸 | (±)-N-(2-巯基-1-氧代丙基)甘氨酸 | 硫普羅 | 巯基丙酰甘氨酸
  • 英文别名
    N-(2-Mercaptopropionyl)glycine
    Sutilan
    Thiopronine
    EINECS 217-778-4
    Capen
    SF-572
    UNII:C5W04GO61S
    Thiosol
    Thiora
    Glycine, N-(2-mercapto-1-oxopropyl)-
    Thiola
    Tioglis
    N-(2-mercaptopropanoyl)glycine
    Epatiol
    N-(2-Sulfanylpropanoyl)glycine
    Tiopronin
    N-2-Mercaptopropionyl-glycine
    Vincol
    2-MPG
    MFCD00004861
  • 常用名
    硫普罗宁
  • C A S号
    1953-02-2
物理性质
  • 密度
    1.3±0.1 g/cm3
  • 沸点
    418.3±30.0 °C at 760 mmHg
  • 熔点
    93-98 °C
  • 化学式
    C5H9NO3S
  • 结构式

    1、 摩尔折射率:38.25

    2、 摩尔体积(cm3/mol):126.0

    3、 等张比容(90.2K):335.1

    4、 表面张力(dyne/cm):49.9

    5、 极化率(10-24cm3):15.16

  • 闪点
    206.8±24.6 °C
  • 分子量
    163.195
  • 精确质量
    163.030319
  • P S A
    105.20000
  • 外观形状
    白色结晶粉末
  • 储存条件
    -20°C Freezer, Under Inert Atmosphere
  • 稳定性
  • 水溶解性
  • 形态
  • H L B值
  • 粘度
  • PH值
作用/用途
Tiopronin可控制胱氨酸尿中胱氨酸的分泌和沉积。
制备方法

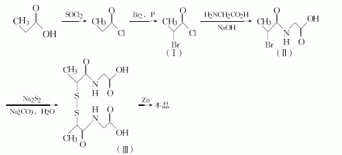
1.丙酸先用氯化亚砜氯化,再溴化,得α-溴丙酰氯。甘氨酸溶于2mol/L氢氧化钠,同时滴加α-溴丙酰氯和氢氧化钠溶液,得到N-(α-溴丙酰基)甘氨酸。与二硫化钠作用后,再用锌粉还原,即得硫普罗宁。

1953-02-2 preparation

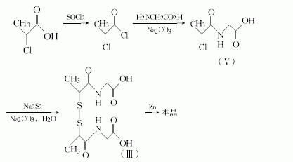
2.或者将甘氨酸和水混合,一定条件下滴加2-溴丙酰氯和碳酸钠溶液,加毕,搅拌。加入硫代苯甲酸,并滴加氢氧化钠溶液,反应后过滤,滤除少量不溶物,滤液酸化。得到的固体经洗涤、干燥,然后在碳酸钠水溶液中,加入浓氨水,搅拌,经洗涤、过滤、盐酸酸化、减压浓缩,加入热的乙酸乙酯和乙醇(1:1)混合液溶解。再经处理得硫普罗宁.

1953-02-2 preparation

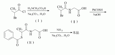
3.也可以将2-氯丙酸和氯化亚砜一起回流,得2-氯丙酰氯。将甘氨酸、碳酸钠和适量水混合,在冰盐浴冷却和剧烈搅拌下,滴加2-氯丙酰氯和碳酸钠的水溶液,搅拌。用盐酸酸化,用乙酸乙酯提取,将处理得到的物质溶于碳酸钠水溶液,滴加到二硫化钠溶液中反应,经硫酸酸化、过滤、滤液中加入锌粉处理后也得硫普罗宁。

1953-02-2 preparation

安全提醒
MSDS

模块1. 化学品
1.1 产品标识符
: N-(2-巯基丙酰)-甘氨酸
产品名称
1.2 鉴别的其他方法
Tiopronin
1.3 有关的确定了的物质或混合物的用途和建议不适合的用途
仅用于研发。不作为药品、家庭或其它用途。

模块2. 危险性概述
2.1 GHS-分类
急性毒性, 经口 (类别 4)
2.2 GHS 标记要素,包括预防性的陈述
象形图
警示词警告
危险申明
H302吞咽有害。
警告申明
预防措施
P264操作后彻底清洁皮肤。
P270使用本产品时不要进食、饮水或吸烟。
事故响应
P301 + P312如果吞咽并觉不适: 立即呼叫解毒中心或就医。
P330漱口。
废弃处置
P501将内容物/ 容器处理到得到批准的废物处理厂。
2.3 其它危害物 - 无

模块3. 成分/组成信息
3.1 物 质
: Tiopronin
别名
: C5H9NO3S
分子式
: 163.19 g/mol
分子量
组分浓度或浓度范围
Tiopronin
-
化学文摘登记号(CAS1953-02-2
No.)217-778-4
EC-编号

模块4. 急救措施
4.1 必要的急救措施描述
一般的建议
请教医生。 向到现场的医生出示此安全技术说明书。
吸入
如果吸入,请将患者移到新鲜空气处。 如呼吸停止,进行人工呼吸。 请教医生。
皮肤接触
用肥皂和大量的水冲洗。 请教医生。
眼睛接触
用水冲洗眼睛作为预防措施。
食入
切勿给失去知觉者通过口喂任何东西。 用水漱口。 请教医生。
4.2 主要症状和影响,急性和迟发效应
据我们所知,此化学,物理和毒性性质尚未经完整的研究。
4.3 及时的医疗处理和所需的特殊处理的说明和指示
无数据资料

模块5. 消防措施
5.1 灭火介质
灭火方法及灭火剂
用水雾,抗乙醇泡沫,干粉或二氧化碳灭火。
5.2 源于此物质或混合物的特别的危害
碳氧化物, 氮氧化物, 硫氧化物
5.3 给消防员的建议
如必要的话,戴自给式呼吸器去救火。
5.4 进一步信息
无数据资料

模块6. 泄露应急处理
6.1 作业人员防护措施、防护装备和应急处置程序
使用个人防护用品。 避免粉尘生成。 避免吸入蒸气、烟雾或气体。 保证充分的通风。 避免吸入粉尘。
6.2 环境保护措施
不要让产品进入下水道。
6.3 泄漏化学品的收容、清除方法及所使用的处置材料
收集和处置时不要产生粉尘。 扫掉和铲掉。 放入合适的封闭的容器中待处理。
6.4 参考其他部分
丢弃处理请参阅第13节。

模块7. 操作处置与储存
7.1 安全操作的注意事项
避免接触皮肤和眼睛。 避免形成粉尘和气溶胶。
在有粉尘生成的地方,提供合适的排风设备。一般性的防火保护措施。
7.2 安全储存的条件,包括任何不兼容性
贮存在阴凉处。 使容器保持密闭,储存在干燥通风处。
7.3 特定用途
无数据资料

模块8. 接触控制和个体防护
8.1 容许浓度
最高容许浓度
没有已知的国家规定的暴露极限。
8.2 暴露控制
适当的技术控制
根据良好的工业卫生和安全规范进行操作。 休息前和工作结束时洗手。
个体防护设备
眼/面保护
带有防护边罩的安全眼镜符合 EN166要求请使用经官方标准如NIOSH (美国) 或 EN 166(欧盟)
检测与批准的设备防护眼部。
皮肤保护
戴手套取 手套在使用前必须受检查。
请使用合适的方法脱除手套(不要接触手套外部表面),避免任何皮肤部位接触此产品.
使用后请将被污染过的手套根据相关法律法规和有效的实验室规章程序谨慎处理. 请清洗并吹干双手
所选择的保护手套必须符合EU的89/686/EEC规定和从它衍生出来的EN 376标准。
身体保护
全套防化学试剂工作服, 防护设备的类型必须根据特定工作场所中的危险物的浓度和数量来选择。
呼吸系统防护
如须暴露于有害环境中,请使用P95型(美国)或P1型(欧盟 英国
143)防微粒呼吸器。如需更高级别防护,请使用OV/AG/P99型(美国)或ABEK-P2型 (欧盟 英国 143)
防毒罐。
呼吸器使用经过测试并通过政府标准如NIOSH(US)或CEN(EU)的呼吸器和零件。

模块9. 理化特性
9.1 基本的理化特性的信息
a) 外观与性状
形状: 粉末
颜色: 白色
b) 气味
无数据资料
c) 气味阈值
无数据资料
d) pH值
无数据资料
e) 熔点/凝固点
熔点/凝固点: 98 - 100 °C
f) 沸点、初沸点和沸程
无数据资料
g) 闪点
无数据资料
h) 蒸发速率
无数据资料
i) 易燃性(固体,气体)
无数据资料
j) 高的/低的燃烧性或爆炸性限度 无数据资料
k) 蒸气压
无数据资料
l) 蒸汽密度
无数据资料
m) 密度/相对密度
无数据资料
n) 水溶性
无数据资料
o) n-辛醇/水分配系数
无数据资料
p) 自燃温度
无数据资料
q) 分解温度
无数据资料
r) 粘度
无数据资料

模块10. 稳定性和反应活性
10.1 反应性
无数据资料
10.2 稳定性
无数据资料
10.3 危险反应
无数据资料
10.4 应避免的条件
无数据资料
10.5 不相容的物质
强氧化剂
10.6 危险的分解产物
其它分解产物 - 无数据资料

模块11. 毒理学资料
11.1 毒理学影响的信息
急性毒性
半数致死剂量 (LD50) 经口 - 大鼠 - 1,300 mg/kg
皮肤刺激或腐蚀
无数据资料
眼睛刺激或腐蚀
无数据资料
呼吸道或皮肤过敏
无数据资料
生殖细胞致突变性
无数据资料
致癌性
IARC:
此产品中没有大于或等于 0。1%含量的组分被 IARC鉴别为可能的或肯定的人类致癌物。
生殖毒性
生殖毒性 - 大鼠 - 肌肉内的
父体效应:精子发生(包括遗传物质、精子形态、活力和数量)。
生殖毒性 - 大鼠 - 肌肉内的
父体效应:睾丸、附睾、输精管。 父体效应:前列腺、精囊、库伯氏腺、附腺。
父体效应:其他对男性的影响。
特异性靶器官系统毒性(一次接触)
无数据资料
特异性靶器官系统毒性(反复接触)
无数据资料
吸入危险
无数据资料
潜在的健康影响
吸入吸入可能有害。 可能引起呼吸道刺激。
摄入误吞对人体有害。
皮肤通过皮肤吸收可能有害。 可能引起皮肤刺激。
眼睛可能引起眼睛刺激。
接触后的征兆和症状
据我们所知,此化学,物理和毒性性质尚未经完整的研究。
附加说明
化学物质毒性作用登记: 无数据资料

模块12. 生态学资料
12.1 生态毒性
无数据资料
12.2 持久性和降解性
无数据资料
12.3 潜在的生物累积性
无数据资料
12.4 土壤中的迁移性
无数据资料
12.5 PBT 和 vPvB的结果评价
无数据资料
12.6 其它不良影响
无数据资料

模块13. 废弃处置
13.1 废物处理方法
产品
将剩余的和不可回收的溶液交给有许可证的公司处理。
联系专业的拥有废弃物处理执照的机构来处理此物质。
与易燃溶剂相溶或者相混合,在备有燃烧后处理和洗刷作用的化学焚化炉中燃烧
受污染的容器和包装
按未用产品处置。

模块14. 运输信息
14.1 联合国危险货物编号
欧洲陆运危规: -国际海运危规: -国际空运危规: -
14.2 联合国运输名称
欧洲陆运危规: 非危险货物
国际海运危规: 非危险货物
国际空运危规: 非危险货物
14.3 运输危险类别
欧洲陆运危规: -国际海运危规: -国际空运危规: -
14.4 包裹组
欧洲陆运危规: -国际海运危规: -国际空运危规: -
14.5 环境危险
欧洲陆运危规: 否国际海运危规国际空运危规: 否
海洋污染物(是/否): 否
14.6 对使用者的特别提醒
无数据资料


模块 15 - 法规信息
N/A


模块16 - 其他信息
N/A
原料简介
应用范围
毒性和生态
安全信息
符号 GHS07
GHS07
信号词 Warning
危害声明 H302
个人防护装备 dust mask type N95 (US);Eyeshields;Gloves
危害码 (欧洲) Xn
风险声明 (欧洲) R22:Harmful if swallowed.
安全声明 (欧洲) S36/37
危险品运输编码 NONH for all modes of transport
WGK德国 3
RTECS号 MC0596500
海关编码 2942000000
是否危险品
危险性
危险类别码
危险等级
触发危险方式
安全技术说明书
环境影响程度
包装与储运
相关供应商