加替沙星
-
中文名加替沙星
-
英文名Gatifloxacin
-
中文别名加替沙星 | 1-环丙基-6-氟-7-(3-甲基哌嗪-1-基)-8-甲氧基-1,4-二氢-4-氧-喹啉-3-羧酸 | 1-环丙基-6-氟-1,4-二氢-8-甲氧基-7-(3-甲基-1-哌嗪基)-4-氧代-3-喹啉羧酸
-
英文别名
Tequin Zymar 1-Cyclopropyl-6-fluoro-8-methoxy-7-(3-methyl-1-piperazinyl)-4-oxo-1,4-dihydro-3-quinolinecarboxylic acid Gatifloxacin MFCD00895399 1-cyclopropyl-6-fluoro-8-methoxy-7-(3-methylpiperazin-1-yl)-4-oxo-1,4-dihydroquinoline-3-carboxylic acid 3-Quinolinecarboxylic acid, 1-cyclopropyl-6-fluoro-1,4-dihydro-8-methoxy-7-(3-methyl-1-piperazinyl)-4-oxo- Zymaxid Gatiflo 1-Cyclopropyl-6-fluoro-1,4-dihydro-8-methoxy-7-(3-methyl-1-piperazinyl)-4-oxo-3-quinolinecarboxylic acid -
常用名加替沙星
-
C A S号112811-59-3
-
密度1.4±0.1 g/cm3
-
沸点607.8±55.0 °C at 760 mmHg
-
熔点162°C
-
化学式C19H22FN3O4
-
结构式
1、摩尔折射率:94.64
2、摩尔体积(cm3/mol):270.7
3、等张比容(90.2K):746.4
4、表面张力(dyne/cm):57.7
5、介电常数:无可用的
6、极化率(10-24cm3):37.51
7、单一同位素质量:375.159434 Da
8、标称质量:375 Da
9、平均质量:375.3941 Da
-
闪点321.4±31.5 °C
-
分子量375.394
-
精确质量375.159424
-
P S A83.80000
-
外观形状白色粉末
-
储存条件Store at 0-5°C
-
稳定性
-
水溶解性
-
形态类白色或浅黄色结晶性粉末
-
H L B值
-
粘度
-
PH值
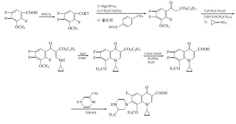
推荐文献[5,6]的合成路线和方法.
(1).3-甲氧基-2,4,5-三氟苯甲酸的制备
依据文献[14]将1,2,3,4-四氟苯50g进行溴化和甲氧基化,得1-溴代-3-甲氧基-2,4,5-三氟苯22.2g,为无色油状物.
在一密封管中装入上述油状物22g(0.09mol)、氰化亚铜10gN-甲基-2-吡咯烷37ml,振摇混合好,在140~150 ºC下加热反应4.5h.冷却,将氯化铁溶液(60ml水中含有六水合氯化铁44g)和浓盐酸(1ml)加到反应混合物中,再倾入反应瓶中,然后在50~60 ºC搅拌反应20min,冷却至室温,用乙醚提取,有机层用稀盐酸洗涤,再用水和饱和盐水洗涤,用无水Na2SO4干燥,过滤,滤液浓缩回收溶剂,剩余物减压蒸馏,收集94 ºC/1.666kPa馏分,得3-甲氧基-2,4,5-三氟苯基氰14.25g,收率84.7%,为无色油状物.
在反应瓶中加入上述油状物14.2g(0.07mol)、浓H2SO4 8.5ml和水40ml,将混合物加热至110 ºC,在110 ºC搅拌反应1h.冷却,反应混合物倾倒入冰水50ml中,过滤,滤饼用水洗,抽干,滤饼用二氯甲烷/正己烷重结晶,得3-甲氧基2,4,5-三氟苯甲酰胺11.59g,收率74.7%,mp130~133 ºC ,为白色针状结晶.
在反应瓶中加入上述产物白色针状结晶11.59g(0.0565mol)和9mol/L硫酸150ml,搅拌加热至100 ºC ,保温搅拌反应3.5h.冷却,加入水400ml,出结晶,过滤,滤饼用正己烷重结晶,得3-甲氧基-2,4,5-三氟苯甲酸 无色针状结晶9.31g,收率80%,mp98~101 ºC
(2).3-甲氧基-2,4,5-三氟苯甲酰氯的制备
在反应瓶中加入3-甲氧基-2,4,5-三氟苯甲酸9.4g(45.63mmol)和亚硫酰氯50ml(688.41mmol),搅拌下加热至回流,搅拌回流反应3h.减压浓缩蒸除过量的亚硫酰氯,剩余物进行真空蒸馏,收集108~112 ºC /2.666kPa馏分,得黄色油状物3-甲氧基-2,4,5-三氟苯甲酰氯 8.86g,收率86.5%.
(3)3-甲氧基-2,4-5-三氟苯甲酰基乙酸乙酯的制备
在反应瓶中加入乙氧基镁5.9g(51.75mmol),然后滴加丙二酸二乙酯[7g(43.75mmol)]的无水甲苯(10ml)溶液,滴毕,将混合物搅拌加热至50~60 ºC ,在该温度搅拌反应2h.冷却至-10 ºC .搅拌滴加酰基氯[8.86g(39.46mmol)]的无水甲苯(10ml)溶液,于15min内滴加完.合物于-5~0 ºC 下搅拌反应1h.将含浓H2SO4 8ml的冰水30ml加到反应混合物中,分取有机层.有机层用饱和食盐水洗涤,无水Na2SO4干燥,过滤,滤液浓缩,得3-甲氧基-2,4,5-三氟苯甲酰基丙二酸二乙酯13.64g,该产物呈棕色油状物,收率99.3%.
在反应瓶中加入上述油状物13.55g(38.94mmol)、水20ml和对甲苯磺酸14mg(催化量),搅拌加热至回流,搅拌回流反应9h.冷却至室温,反应混合物用二氯甲烷提取,有机层用7%NaHCO3水溶液洗涤,再用饱和食盐水洗涤,无水
Na2SO4干燥,过滤,滤液浓缩,得3-甲氧基-2,4-5-三氟苯甲酰基乙酸乙酯10.29g,收率95.7%.
(4). 2-(3-甲氧基-2,4,5-三氟苯甲酰基)-3-环丙基-氨基丙烯酸乙酯的制备
在反应瓶中加入上步产物苯甲酰基乙酸酯 9.79g(35.47mmol),搅拌,加入乙酸酐9.6g(94.12mmol)和原甲酸三乙酯8.4g(56.68mmol),搅拌加热至回流,搅拌回流反应3h.再加入乙酸酐3.2g(31.37mmol)和原甲酸三乙酯8.8g (59.38mmol),将混合物再搅拌回流8h.反应液浓缩蒸除溶剂,得剩余物为棕色油状物,该产物为2-(3-甲氧基-2,4,5-三氟苯甲酰基)-3-乙氧基丙烯酸乙酯9.73g,收率82.6%,不需进一步纯化,直接用于下步反应.
在反应瓶中加入上述制备的棕色油状物(丙烯酸酯化合物)9.73g(29.31 mmol)、乙醇20ml,搅拌溶解,在冷却下搅拌滴加环丙基胺2.0g(35.08mmol),滴毕,在室温下搅拌反应2h.反应混合物浓缩,剩余物经硅胶柱色谱纯化[洗脱剂为正己烷/乙酸乙酯(5:1)],得淡黄色白晶体 7.52g,收率71.6%,mp56~58 ºC .
(5). 1-环丙基-6,7-二氟-1,4-二氢-8-甲氧基-4-氧代-3-喹啉羧酸乙酯的制备
在反应瓶中加入上步产物(氨基丙烯酸酯) 6.68g(19.48mmol)、氟化钠1.31个(31.19mmol)和无水二甲基甲酰胺(DMF)26ml,搅拌加热至回流,回流反应5h.冷至室温,将反应混合物倾入冰水100ml中,过滤析出的沉淀,滤饼用水洗,抽干,滤饼用乙酸乙酯重结晶,得1-环丙基-6,7-二氟-1,4-二氢-8-甲氧基-4-氧代-3-喹啉羧酸乙酯 4.53g,收率72%,mp178~180 ºC ,呈无色针状结晶.
(6).1-环丙基-6-7-二氟-1,4-二氢-8-甲氧基-4-氧代-3-喹啉羧酸的制备
在反应瓶中加入上步产物1-环丙基-6,7-二氟-1,4-二氢-8-甲氧基-4-氧代-3-喹啉羧酸乙酯4.5g(13.93mmol)、乙酸30麻辣、浓H2SO4 4ml和水22ml,搅拌升温至回流,搅拌回流反应1h.冷却至室温,加入冰水100ml,过滤收集沉淀,滤饼用水洗涤,抽干,干燥,得1-环丙基-6-7-二氟-1,4-二氢-8-甲氧基-4-氧代-3-喹啉羧酸 4g,收率97.3%,为无色结晶性粉末,mp185~186 ºC
(7).1-环丙基-6-氟-1,4-二氢-8-甲氧基-7-(3-甲基-1-哌嗪基)-4-氧代-3-喹啉羧酸(加替沙星)的合成
在反应瓶中加入上步产物1-环丙基-6-7-二氟-1,4-二氢-8-甲氧基-4-氧代-3-喹啉羧酸 200mg(0.678mmol)、2-甲基哌嗪140mg(1.40mmol)和无水DMSO 3mg,搅拌混合,在油浴上加热(70~95 ºC)搅拌反应2h.将反应混合物浓缩,剩余物经硅胶柱色谱纯化[洗脱剂为氯仿/甲醇/浓氨水(20:6:1)],洗下液经浓缩,剩余物(溶剂脱净)用甲醇重结晶,得纯品3-甲氧基-2,4,5-三氟苯甲酸 50mg,收率19.65%,该品为白色粉状晶体,mp162 ºC
| 危害码 (欧洲) | Xn |
|---|---|
| 风险声明 (欧洲) | R20/21/22:Harmful by inhalation, in contact with skin and if swallowed . R36/37/38:Irritating to eyes, respiratory system and skin . |
| 安全声明 (欧洲) | S26-S36/37/39 |
| RTECS号 | BT1750000 |
| 海关编码 | 2933990090 |

搜索







