卤米松
【用途一】
局部用肾上腺皮质激素类药物,有显著且快速的抗炎、抗过敏、抗瘙痒、抗渗出及抗增生的作用。适用于湿疹性皮肤病及各类轻度湿疹性和亚急性皮炎。
局部用肾上腺皮质激素类药物,有显著且快速的抗炎、抗过敏、抗瘙痒、抗渗出及抗增生的作用。适用于湿疹性皮肤病及各类轻度湿疹性和亚急性皮炎。
产品名称
-
中文名卤米松
-
英文名Halometasone
-
中文别名(6Α,11Β,16Α)-2-氯-6,9-二氟-11,17,21-三羟基-16-甲基孕甾-1,4-二烯-3,20-二酮 | 卤甲松
-
英文别名
Pregna-1,4-diene-3,20-dione, 2-chloro-6,9-difluoro-11,17,21-trihydroxy-16-methyl-, (6α,11β,16α)- 2-Chloro-6a,9-difluoro-11b,17,21-trihydroxy-16a-methylpregna-1,4-diene-3,20-dione 2-Chloro-6α,9-difluoro-11β,17,21-trihydroxy-16α-methylpregna-1,4-diene-3,20-dione MFCD00866091 (6a,11b,16a)-2-Chloro-6,9-difluoro-11,17,21-trihydroxy-16-methylpregna-1,4-diene-3,20-dione 2-Chlor-6α,9-difluor-11β,17,21-trihydroxy-16α-methyl-1,4-pregnadien-3,20-dion Halometasone (6α,11β,16α)-2-Chloro-6,9-difluoro-11,17,21-trihydroxy-16-methylpregna-1,4-diene-3,20-dione C 48401-Ba EINECS 256-664-9 (6S,8S,9R,10S,11S,13S,14S,16R,17R)-2-chloro-6,9-difluoro-11,17-dihydroxy-17-(2-hydroxyacetyl)-10,13,16-trimethyl-6,7,8,11,12,14,15,16-octahydrocyclopenta[a]phenanthren-3-one 2-CHLOROFLUMETHASONE Sicorten -
常用名卤米松
-
C A S号50629-82-8
物理性质
-
密度1.4±0.1 g/cm3
-
沸点600.5±55.0 °C at 760 mmHg
-
熔点125-130 °C(lit.)
-
化学式C22H27ClF2O5
-
结构式
1、 摩尔折射率:104.93
2、 摩尔体积(cm3/mol):312.8
3、 等张比容(90.2K):854.6
4、 表面张力(dyne/cm):55.6
5、 极化率(10-24cm3):41.60
-
闪点317.0±31.5 °C
-
分子量444.897
-
精确质量444.151520
-
P S A94.83000
-
外观形状
-
储存条件
-
稳定性
-
水溶解性
-
形态
-
H L B值
-
粘度
-
PH值
作用/用途
【用途一】
局部用肾上腺皮质激素类药物,有显著且快速的抗炎、抗过敏、抗瘙痒、抗渗出及抗增生的作用。适用于湿疹性皮肤病及各类轻度湿疹性和亚急性皮炎。
局部用肾上腺皮质激素类药物,有显著且快速的抗炎、抗过敏、抗瘙痒、抗渗出及抗增生的作用。适用于湿疹性皮肤病及各类轻度湿疹性和亚急性皮炎。
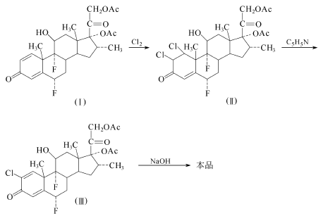
制备方法
化合物(Ⅰ)先和氯气反应,对1、2位双键进行加成,再在吡啶作用下,脱去氯化氢,在1、2位重新形成双键;然后水解,得到卤米松。
安全提醒
MSDS
原料简介
应用范围
毒性和生态
安全信息
| 安全声明 (欧洲) | S22-S24/25 |
|---|---|
| WGK德国 | 3 |
是否危险品
危险性
危险类别码
危险等级
触发危险方式
安全技术说明书
环境影响程度
包装与储运
相关供应商

搜索






