托瑞米芬
Toremifene (NK 622; FC 1157a)是第二代选择性雌激素受体调节剂,对雌激素受体的IC50为1μM。
产品名称
-
中文名托瑞米芬
-
英文名Toremifene
-
中文别名(Z)-2-[4-(4-氯-1,2-二苯基-1-丁烯基)苯氧基]-N,N-二甲基乙胺 | 2[4-(4-氯-1,2-二苯基-1-丁烯基)苯氧基-N,N-二甲基乙胺 | 涛瑞米芬
-
英文别名
Ethanamine, 2-(4-(4-chloro-1,2-diphenyl-1-butenyl)phenoxy)-N,N-dimethyl-, (Z)- (Z)-Toremifene 2-{4-[(1Z)-4-chloro-1,2-diphenylbut-1-en-1-yl]phenoxy}-N,N-dimethylethanamine MFCD00801070 2-{4-[(1Z)-4-Chloro-1,2-diphenyl-1-buten-1-yl]phenoxy}-N,N-dimethylethanamine ethanamine, 2-[4-[(1Z)-4-chloro-1,2-diphenyl-1-butenyl]phenoxy]-N,N-dimethyl- 2-({4-[(1Z)-4-chloro-1,2-diphenylbut-1-en-1-yl]phenyl}oxy)-N,N-dimethylethanamine Toremifene Base 2-(4-(4-Chloro-1,2-diphenylbut-1-en-1-yl)phenoxy)-N,N-dimethylethanamine Toremifene 2-[4-[(Z)-4-chloro-1,2-diphenylbut-1-enyl]phenoxy]-N,N-dimethylethanamine (Z)-4-Chloro-1,2-diphenyl-1-[4-[2-(N,N-dimethylamino)ethoxy]phenyl]-1-butene Ethanamine, 2-[4-[(1Z)-4-chloro-1,2-diphenyl-1-buten-1-yl]phenoxy]-N,N-dimethyl- (Z)-2-[4-(4-Chloro-1,2-diphenyl-1-butenyl)phenoxy]-N,N-dimethylethanamine -
常用名托瑞米芬
-
C A S号89778-26-7
物理性质
-
密度1.1±0.1 g/cm3
-
沸点535.1±50.0 °C at 760 mmHg
-
熔点108-110°C
-
化学式C26H28ClNO
-
结构式
1、 摩尔折射率:123.74
2、 摩尔体积(cm3/mol):367.6
3、 等张比容(90.2K):936.5
4、 表面张力(dyne/cm):42.1
5、 极化率(10-24cm3):49.05
-
闪点277.4±30.1 °C
-
分子量405.960
-
精确质量405.185944
-
P S A12.47000
-
外观形状
-
储存条件
-
稳定性
-
水溶解性
-
形态
-
H L B值
-
粘度
-
PH值
作用/用途
Toremifene (NK 622; FC 1157a)是第二代选择性雌激素受体调节剂,对雌激素受体的IC50为1μM。
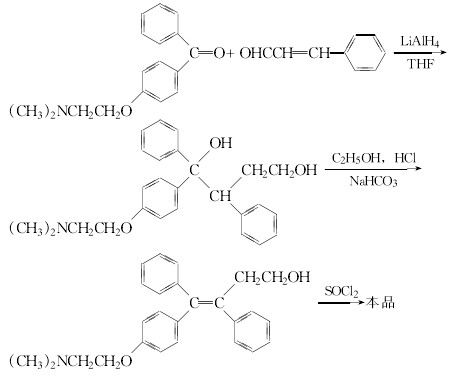
制备方法
4-(2-二甲基氨基乙氧基)二苯甲酮和3-苯基丙烯醛,在氢化铝锂存在下缩合,在含氯化氢的乙醇溶液中回流脱水,生成烯键,最后氯化得到托瑞米芬。
安全提醒
MSDS
原料简介
应用范围
毒性和生态
安全信息
| 危害码 (欧洲) | Xi |
|---|---|
| 风险声明 (欧洲) | R37:Irritating to the respiratory system. R43:May cause sensitization by skin contact. |
| 安全声明 (欧洲) | S8-S24/25-S46 |
| 危险品运输编码 | UN 2210 |
| RTECS号 | ZB3200000 |
| 包装等级 | III |
| 危险类别 | 9 |
| 海关编码 | 2922299090 |
是否危险品
危险性
危险类别码
危险等级
触发危险方式
安全技术说明书
环境影响程度
包装与储运
相关供应商

搜索






