罗沙前列醇
用于胃溃疡,十二指肠溃疡,胃炎,十二指肠炎,医原性胃、十二指肠病变。
产品名称
-
中文名罗沙前列醇
-
英文名rosaprostol
-
中文别名9-羟基-19,20-二去甲前列腺烷酸
-
英文别名
Cyclopentaneheptanoic acid,2-hexyl-5-hydroxy 7-(2-hexyl-5-hydroxy-cyclopentyl)-heptanoic acid Rosaprostol C-83 Ibi-C83 9-hydroxy-19,20-bisnorprostanoic acid 2-hexyl-5-hydroxycyclopentaneheptanoic acid -
常用名罗沙前列醇
-
C A S号56695-65-9
物理性质
-
密度0.981g/cm3
-
沸点442.1ºC at 760 mmHg
-
熔点N/A
-
化学式C18H34O3
-
结构式
1、 摩尔折射率:86.56
2、 摩尔体积(cm3/mol):304.0
3、 等张比容(90.2K):755.0
4、 表面张力(dyne/cm):38.0
5、 极化率(10-24cm3):34.31
-
闪点235.3ºC
-
分子量298.46100
-
精确质量298.25100
-
P S A57.53000
-
外观形状
-
储存条件
-
稳定性
-
水溶解性
-
形态
-
H L B值
-
粘度
-
PH值
作用/用途
用于胃溃疡,十二指肠溃疡,胃炎,十二指肠炎,医原性胃、十二指肠病变。
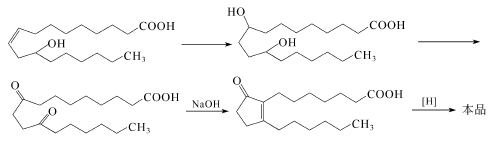
制备方法
顺式-12-羟基十八碳-9-烯酸氧汞化得到9,12-二羟基十八碳酸。再氧化得二酮化物,在氢氧化钠作用下环合,得到7-(2-己基-5-氧环戊烯基)庚酸。最后还原得到罗沙前列醇。
安全提醒
MSDS
原料简介
应用范围
毒性和生态
安全信息
| 海关编码 | 2918199090 |
|---|
是否危险品
危险性
危险类别码
危险等级
触发危险方式
安全技术说明书
环境影响程度
包装与储运
相关供应商

搜索






