三氯异氰尿酸
【用途一】
用于饮用水、游泳池水、工业循环水、污水等各种水质的杀菌消毒处理
用于饮用水、游泳池水、工业循环水、污水等各种水质的杀菌消毒处理
【用途二】
该品具有极强的杀菌、漂白作用,广泛用于民用卫生,畜牧养殖业以及植保等作高效杀菌消毒剂,棉、麻化纤织物的洗涤漂白剂,羊毛防缩剂,也可用于橡胶氯化,电池材料,有机合成工业以及衣物的干法漂白等。
该品具有极强的杀菌、漂白作用,广泛用于民用卫生,畜牧养殖业以及植保等作高效杀菌消毒剂,棉、麻化纤织物的洗涤漂白剂,羊毛防缩剂,也可用于橡胶氯化,电池材料,有机合成工业以及衣物的干法漂白等。
产品名称
-
中文名三氯异氰尿酸
-
英文名symclosene
-
中文别名三氯氰尿酸 | 三氯异三聚氰酸 | 三氯三嗪三酮 | 三氯异氰脲酸 | 强氯精 | 氯氧三嗪
-
英文别名
MFCD00006553 symclosene EINECS 201-782-8 Trichloroisocyanuric Acid -
常用名三氯异氰尿酸
-
C A S号87-90-1
物理性质
-
密度2.2±0.1 g/cm3
-
沸点272.3±23.0 °C at 760 mmHg
-
熔点249-251 °C(lit.)
-
化学式C3Cl3N3O3
-
结构式
1、 摩尔折射率:40.38
2、 摩尔体积(cm3/mol):106.0
3、 等张比容(90.2K):331.7
4、 表面张力(dyne/cm):95.6
5、 极化率(10-24cm3):16.00
-
闪点118.5±22.6 °C
-
分子量232.409
-
精确质量230.900528
-
P S A66.00000
-
外观形状白色结晶粉末或片状
-
储存条件
1.本品应充氩气密封于0℃以下干燥避光保存。
2.贮运时,防止潮湿、日晒,不与酸、碱、易氧化的有机物接触,以免分解失效和爆炸。
-
稳定性
-
水溶解性
-
形态白色结晶性粉末。对光敏感。
-
H L B值
-
粘度
-
PH值
作用/用途
【用途一】
用于饮用水、游泳池水、工业循环水、污水等各种水质的杀菌消毒处理
用于饮用水、游泳池水、工业循环水、污水等各种水质的杀菌消毒处理
【用途二】
该品具有极强的杀菌、漂白作用,广泛用于民用卫生,畜牧养殖业以及植保等作高效杀菌消毒剂,棉、麻化纤织物的洗涤漂白剂,羊毛防缩剂,也可用于橡胶氯化,电池材料,有机合成工业以及衣物的干法漂白等。
该品具有极强的杀菌、漂白作用,广泛用于民用卫生,畜牧养殖业以及植保等作高效杀菌消毒剂,棉、麻化纤织物的洗涤漂白剂,羊毛防缩剂,也可用于橡胶氯化,电池材料,有机合成工业以及衣物的干法漂白等。
制备方法
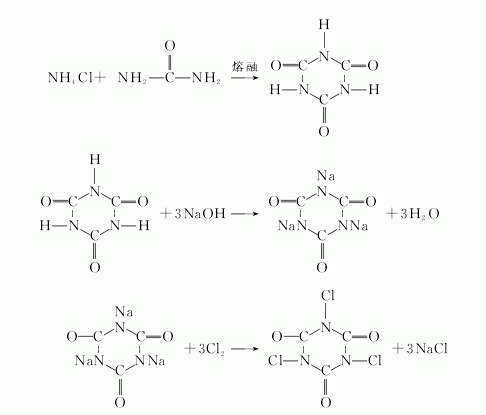
1.以尿素与氯化铵为主要原料,经热裂解制得三聚氰酸,再经氯化制取。三氯异氰尿酸生产工艺有固相法和液相法。固相法技术落后,成本高,环境条件恶劣,副产品不易处理,生产规模小。液相法生产工艺是在环丁砜、二甲基甲酰胺等高沸点溶剂中进行反应,产品随反应的进行而逐渐析出,冷却分离生成品,溶剂再生后循环使用。该法可连续生产,收率高,无废水排放。但是该法工艺复杂,投资较高。氯化方法主要有两种:一种是碱土金属法,Ca(OH)2水溶液与三聚氰酸水溶液混合,通氯反应,反应物经冷却过滤、水洗、干燥后得产品;另一种为次氯酸法,次氯酸水溶液与三聚氰酸浆液在低温下反应,沉淀过滤,水洗干燥后得产品。
异氰尿酸溶于氢氧化钠溶液中,再在低温下缓慢通入氯气,进行氯化反应,则沉淀出三氯异氰尿酸。经过滤、水洗、干燥后即为产品,其反应式如下:
安全提醒
MSDS
|
|||||||||||||||||||||||||||||||||||||||||||||||||||||||||||||||||||||||||||||||||||||||||||||||||||||||||||||||||||||||||||||||||||||||||||||||||||||||||||||||||||||||||||||||||||||||||||||||||||||||||||||||||||||||||||||||||||||||||||||||||||||||
原料简介
应用范围
毒性和生态
安全信息
| 符号 |
GHS03, GHS07, GHS09 |
|---|---|
| 信号词 | Danger |
| 危害声明 | H272-H302-H315-H319-H335-H410 |
| 补充危害声明 | Contact with acids liberates toxic gas. |
| 警示性声明 | P210-P273-P280-P305 + P351 + P338-P370 + P378-P501 |
| 个人防护装备 | Eyeshields;Faceshields;full-face particle respirator type N100 (US);Gloves;respirator cartridge type N100 (US);type P1 (EN143) respirator filter;type P3 (EN 143) respirator cartridges |
| 危害码 (欧洲) | Xn:Harmful |
| 风险声明 (欧洲) | R22;R31;R36/37;R50/53;R8 |
| 安全声明 (欧洲) | S8-S26-S41-S60-S61 |
| 危险品运输编码 | UN 2468 5.1/PG 2 |
| WGK德国 | 2 |
| RTECS号 | XZ1925000 |
| 包装等级 | II |
| 危险类别 | 5.1 |
| 海关编码 | 2933692200 |
是否危险品
危险性
危险类别码
危险等级
触发危险方式
安全技术说明书
环境影响程度
包装与储运
相关供应商

搜索







