尼鲁米特
-
中文名里奴内酰胺
-
英文名Nilutamide
-
中文别名5,5-二甲基-3-[4-硝基-3-(三氟甲基)苯基]-2,4-咪唑烷二酮 | 尼鲁他胺 | 尼鲁米特 | 尼鲁米特
-
英文别名
MFCD00864670 2,4-Imidazolidinedione, 5,5-dimethyl-3-[4-nitro-3-(trifluoromethyl)phenyl]- Nilandron Nilandrone 5,5-Dimethyl-3-[4-nitro-3-(trifluormethyl)phenyl]imidazolidin-2,4-dion 5,5-diméthyl-3-[4-nitro-3-(trifluorométhyl)phényl]imidazolidine-2,4-dione Nilutamide Anandron 5,5-dimethyl-3-[4-nitro-3-(trifluoromethyl)phenyl]imidazolidine-2,4-dione Nilutamida 5,5-Dimethyl-3-[4-nitro-3-(trifluoromethyl)phenyl]-2,4-imidazolidinedione Nilutamidum -
常用名尼鲁米特
-
C A S号63612-50-0
-
密度1.5±0.1 g/cm3
-
沸点N/A
-
熔点1490C
-
化学式C12H10F3N3O4
-
结构式
1、 摩尔折射率:66.30
2、 摩尔体积(cm3/mol):216.7
3、 等张比容(90.2K):554.7
4、 表面张力(dyne/cm):42.8
5、 极化率(10-24cm3):26.28
-
闪点N/A
-
分子量317.221
-
精确质量317.062347
-
P S A95.23000
-
外观形状结晶固体
-
储存条件Store at RT
-
稳定性
-
水溶解性
-
形态
-
H L B值
-
粘度
-
PH值
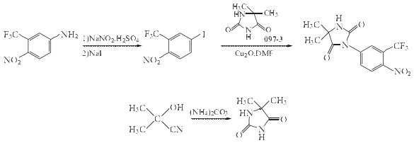
1. 49.6g 3-三氟甲基-4-硝基苯基异氰酸酯和18gα-氰基异丙胺反应,得到27g化合物(Ⅰ)。接着酸性水解,得到尼鲁米特。
2. 4-硝基-3-三氟甲基碘苯的制备
在反应瓶中加入4-硝基-3-(三氟甲基)苯胺10g(47mmol)和6mol/LH2SO4300ml.搅拌下于0ºC缓慢滴加亚硝酸钠4.2g(61mmol)的水溶液20ml,滴加完毕,同温下搅拌反应1h.加入尿素破坏过量的亚硝酸.过滤,滤液缓慢滴至18.7%的碘化钠水溶液150ml(0.17mol)中,有固体生成,加入二氯甲烷100ml,搅拌15min.有机层依次用饱和硫代硫酸钠溶液和水洗涤,用无水MgSO4干燥,过滤,滤液蒸除溶剂,得黄色固体4-硝基-3-三氟甲基碘苯12.7,收率85%.
3. 5,5-二甲基乙内酰脲的制备
在反应瓶中加入0/甲基羟丙腈85g(1mol)和新粉碎的碳酸铵150g(1.31mol),缓慢升温(搅拌下)至50ºC,在此温度反应一段时间后,在68~80ºC继续搅拌反应3h.为了使反应完全并使过量的碳酸铵分解,最后将温度升到90ºC,并维持在此温度直至液体混合物平静(30min).反应液是无色或淡黄色,冷却时固化.将其溶解在100ml热水中,并用活性炭脱色,用预热过的漏斗趁热迅速过滤,滤液减压浓缩至瓶壁出现晶体,浓缩液置于冰浴(或冰箱中)冷冻析晶.过滤,抽干,用少量乙醚(7ml×2)洗涤滤饼,每次洗涤时一定要使乙醚和晶体混匀后再抽滤.母液浓缩至25ml或以下,重复上述操作,可再得到一些晶体.得5,5-二甲基乙内酰脲65~72g,收率51%~56%.第一批产品5,5-二甲基乙内酰脲为纯品mp173ºC,第二批5,5-二甲基乙内酰脲mp164ºC应重结晶处理,重结晶用沸水,重结晶收率为80%~85%,mp174~175ºC.
4. 5,5-二甲基-3-[4-硝基-3-(三氟甲基)苯基]-2,4-咪唑烷二酮(尼鲁米特)的合成
在反应瓶中加入上第一步制备的4-硝基-3-三氟甲基碘苯2.0g(6.3mmol)和第二步制备的5,5-二甲基乙内酰脲1.1g(8.3mmol),再加入DMF20ml搅拌溶解,加入Cu2O 0.6g(3.2mol),搅拌加热至回流,搅拌回流反应10h.稍冷却,过滤,滤液转至浓氨水20ml和水20ml混合液中,有固体析出,冰浴冷却下搅拌1h.过滤,滤饼用乙酸乙酯溶解,依次用10%的氨水和饱和食盐水洗涤,用无水MgSO4干燥,过滤,滤液浓缩至固体析出,冷却,过滤,得黄色固体5,5-二甲基-3-[4-硝基-3-(三氟甲基)苯基]-2,4-咪唑烷二酮(尼鲁米特)1.6g,收率81%,mp147~148ºC.
|
模块1. 化学品 1.1 产品标识符 : Nilutamide 产品名称 1.2 鉴别的其他方法 5,5-Dimethyl-3-[4-nitro-3-(trifluoromethyl)phenyl]-2,4-imidazolidinedione RU-23908
Anandron 1.3 有关的确定了的物质或混合物的用途和建议不适合的用途 仅用于研发。不作为药品、家庭或其它用途。 模块2. 危险性概述 2.1 GHS-分类 急性毒性, 经口 (类别 3) 生殖毒性 (类别 1B) 2.2 GHS 标记要素,包括预防性的陈述 象形图 警示词危险 危险申明 H301吞咽会中毒 H360可能对生育能力或胎儿造成伤害。 警告申明 预防 P201在使用前获取特别指示。 P202在读懂所有安全防范措施之前切勿操作。 P264操作后彻底清洁皮肤。 P270使用本产品时不要进食、饮水或吸烟。 P281使用所需的个人防护设备。 响应 P301 + P310如果吞下去了: 立即呼救解毒中心或医生。 P308 + P313如接触到或有疑虑:求医/ 就诊。 P321具体治疗(见本标签上提供的急救指导)。 P330漱口。 储存 P405存放处须加锁。 处置 P501将内容物/ 容器处理到得到批准的废物处理厂。 只限于专业使用者。 2.3 其它危害物 - 无 模块3. 成分/组成信息 3.1 物 质 : 5,5-Dimethyl-3-[4-nitro-3-(trifluoromethyl)phenyl]-2,4-imidazolidinedione 别名 RU-23908 Anandron : C12H10F3N3O4 C12H10F3N3O4 分子式 : 317.22 g/mol 分子量 组分浓度或浓度范围 Nilutamide - 化学文摘登记号(CAS63612-50-0 No.) 模块4. 急救措施 4.1 必要的急救措施描述 一般的建议 请教医生。 向到现场的医生出示此安全技术说明书。 吸入 如果吸入,请将患者移到新鲜空气处。 如呼吸停止,进行人工呼吸。 请教医生。 皮肤接触 用肥皂和大量的水冲洗。 立即将患者送往医院。 请教医生。 眼睛接触 用水冲洗眼睛作为预防措施。 食入 切勿给失去知觉者通过口喂任何东西。 用水漱口。 请教医生。 4.2 主要症状和影响,急性和迟发效应 恶心, 呕吐, 虚弱, 头晕, 头痛, 出汗 4.3 及时的医疗处理和所需的特殊处理的说明和指示 无数据资料 模块5. 消防措施 5.1 灭火介质 灭火方法及灭火剂 用水雾,抗乙醇泡沫,干粉或二氧化碳灭火。 5.2 源于此物质或混合物的特别的危害 碳氧化物, 氮氧化物, 氟化氢 5.3 给消防员的建议 如必要的话,戴自给式呼吸器去救火。 5.4 进一步信息 无数据资料 模块6. 泄露应急处理 6.1 作业人员防护措施、防护装备和应急处置程序 戴呼吸罩。 避免粉尘生成。 避免吸入蒸气、烟雾或气体。 保证充分的通风。 人员疏散到安全区域。 避免吸入粉尘。 6.2 环境保护措施 如能确保安全,可采取措施防止进一步的泄漏或溢出。 不要让产品进入下水道。 6.3 泄漏化学品的收容、清除方法及所使用的处置材料 收集和处置时不要产生粉尘。 扫掉和铲掉。 放入合适的封闭的容器中待处理。 6.4 参考其他部分 丢弃处理请参阅第13节。 模块7. 操作处置与储存 7.1 安全操作的注意事项 避免接触皮肤和眼睛。 避免形成粉尘和气溶胶。避免曝露:使用前需要获得专门的指导。 在有粉尘生成的地方,提供合适的排风设备。一般性的防火保护措施。 7.2 安全储存的条件,包括任何不兼容性 贮存在阴凉处。 使容器保持密闭,储存在干燥通风处。 7.3 特定用途 无数据资料 模块8. 接触控制和个体防护 8.1 容许浓度 最高容许浓度 没有已知的国家规定的暴露极限。 8.2 暴露控制 适当的技术控制 避免与皮肤、眼睛和衣服接触。 休息前和操作本品后立即洗手。 个体防护设备 眼/面保护 面罩與安全眼鏡请使用经官方标准如NIOSH (美国) 或 EN 166(欧盟) 检测与批准的设备防护眼部。 皮肤保护 戴手套取 手套在使用前必须受检查。 请使用合适的方法脱除手套(不要接触手套外部表面),避免任何皮肤部位接触此产品. 使用后请将被污染过的手套根据相关法律法规和有效的实验室规章程序谨慎处理. 请清洗并吹干双手 所选择的保护手套必须符合EU的89/686/EEC规定和从它衍生出来的EN 376标准。 身体保护 全套防化学试剂工作服, 防护设备的类型必须根据特定工作场所中的危险物的浓度和数量来选择。 呼吸系统防护 如危险性评测显示需要使用空气净化的防毒面具,请使用全面罩式多功能微粒防毒面具N100型(US )或P3型(EN 143)防毒面具筒作为工程控制的候补。如果防毒面具是保护的唯一方式,则使用全面罩式送风防毒 面具。 呼吸器使用经过测试并通过政府标准如NIOSH(US)或CEN(EU)的呼吸器和零件。 模块9. 理化特性 9.1 基本的理化特性的信息 a) 外观与性状 形状: 固体 b) 气味 无数据资料 c) 气味阈值 无数据资料 d) pH值 无数据资料 e) 熔点/凝固点 熔点/凝固点: 149 °C f) 沸点、初沸点和沸程 无数据资料 g) 闪点 无数据资料 h) 蒸发速率 无数据资料 i) 易燃性(固体,气体) 无数据资料 j) 高的/低的燃烧性或爆炸性限度 无数据资料 k) 蒸气压 无数据资料 l) 蒸汽密度 无数据资料 m) 密度/相对密度 无数据资料 n) 水溶性 无数据资料 o) n-辛醇/水分配系数 无数据资料 p) 自燃温度 无数据资料 q) 分解温度 无数据资料 r) 粘度 无数据资料 模块10. 稳定性和反应活性 10.1 反应性 无数据资料 10.2 稳定性 无数据资料 10.3 危险反应 无数据资料 10.4 应避免的条件 无数据资料 10.5 不相容的物质 强氧化剂 10.6 危险的分解产物 其它分解产物 - 无数据资料 模块11. 毒理学资料 11.1 毒理学影响的信息 急性毒性 半数致死剂量 (LD50) 经口 - 大鼠 - 195 mg/kg 皮肤刺激或腐蚀 无数据资料 眼睛刺激或腐蚀 无数据资料 呼吸道或皮肤过敏 无数据资料 生殖细胞突变性 无数据资料 致癌性 IARC: 此产品中没有大于或等于 0。1%含量的组分被 IARC鉴别为可能的或肯定的人类致癌物。 生殖毒性 假设的人类生殖毒物 生殖毒性 - 大鼠 - 经口 父体效应:精子发生(包括遗传物质、精子形态、活力和数量)。 生殖毒性 - 大鼠 - 经口 父体效应:其他对男性的影响。 对生殖的影响:胚胎植入后死亡率(例如总着床胚胎数中死亡和/或被再吸收的胚胎数)。 能引起生殖紊乱 特异性靶器官系统毒性(一次接触) 无数据资料 特异性靶器官系统毒性(反复接触) 无数据资料 吸入危险 无数据资料 潜在的健康影响 吸入吸入可能有害。 可能引起呼吸道刺激。 摄入误吞会中毒。 皮肤通过皮肤吸收可能有害。 可能引起皮肤刺激。 眼睛可能引起眼睛刺激。 接触后的征兆和症状 恶心, 呕吐, 虚弱, 头晕, 头痛, 出汗 附加说明 化学物质毒性作用登记: NI9453300 模块12. 生态学资料 12.1 生态毒性 无数据资料 12.2 持久性和降解性 无数据资料 12.3 潜在的生物累积性 无数据资料 12.4 土壤中的迁移性 无数据资料 12.5 PBT 和 vPvB的结果评价 无数据资料 12.6 其它不良影响 无数据资料 模块13. 废弃处置 13.1 废物处理方法 产品 将剩余的和不可回收的溶液交给有许可证的公司处理。 联系专业的拥有废弃物处理执照的机构来处理此物质。 与易燃溶剂相溶或者相混合,在备有燃烧后处理和洗刷作用的化学焚化炉中燃烧 受污染的容器和包装 按未用产品处置。 模块14. 运输信息 14.1 联合国危险货物编号 欧洲陆运危规: 2811国际海运危规: 2811国际空运危规: 2811 14.2 联合国运输名称 欧洲陆运危规: TOXIC SOLID, ORGANIC, N.O.S. (Nilutamide) 国际海运危规: TOXIC SOLID, ORGANIC, N.O.S. (Nilutamide) 国际空运危规: Toxic solid, organic, n.o.s. (Nilutamide) 14.3 运输危险类别 欧洲陆运危规: 6.1国际海运危规: 6.1国际空运危规: 6.1 14.4 包裹组 欧洲陆运危规: III国际海运危规: III国际空运危规: III 14.5 环境危险 欧洲陆运危规: 否国际海运危规国际空运危规: 否 海洋污染物(是/否): 否 14.6 对使用者的特别提醒 无数据资料 上述信息视为正确,但不包含所有的信息,仅作为指引使用。本文件中的信息是基于我们目前所知,就正 确的安全提示来说适用于本品。该信息不代表对此产品性质的保证。 参见发票或包装条的反面。 模块 15 - 法规信息 N/A 模块16 - 其他信息 N/A |
| 符号 |
GHS06, GHS08 |
|---|---|
| 信号词 | Danger |
| 危害声明 | H301-H360 |
| 警示性声明 | P201-P301 + P310-P308 + P313 |
| 个人防护装备 | Eyeshields;Faceshields;full-face particle respirator type N100 (US);Gloves;respirator cartridge type N100 (US);type P1 (EN143) respirator filter;type P3 (EN 143) respirator cartridges |
| 危害码 (欧洲) | T:Toxic; |
| 风险声明 (欧洲) | R60;R25 |
| 安全声明 (欧洲) | 53-36/37/39-45 |
| 危险品运输编码 | UN 2811 6.1/PG 3 |
| WGK德国 | 3 |
| RTECS号 | NI9453300 |
| 海关编码 | 2933990090 |

搜索








