洛哌丁胺
【用途一】
为一极强的长效抗腹泻药。其化学结构类似氟哌啶醇和哌替啶,但治疗量对中枢神经系统无任何作用。适用于急性腹泻以及各种病因引起的慢性腹泻,如溃疡性结肠炎、非特异性结肠炎、肠道易激综合征以及对胃、肠部分切除术后和甲亢引起的慢性腹泻的治疗。
为一极强的长效抗腹泻药。其化学结构类似氟哌啶醇和哌替啶,但治疗量对中枢神经系统无任何作用。适用于急性腹泻以及各种病因引起的慢性腹泻,如溃疡性结肠炎、非特异性结肠炎、肠道易激综合征以及对胃、肠部分切除术后和甲亢引起的慢性腹泻的治疗。
【用途二】
洛哌丁胺为苯基哌啶类止泻药,具有长效作用,用于治疗功能性腹泻以及因胃肠切除或肠器质性损害等引起腹泻,疗效甚佳。小鼠口服LD50为105mg/kg,大鼠(7d)为185mg/kg。
洛哌丁胺为苯基哌啶类止泻药,具有长效作用,用于治疗功能性腹泻以及因胃肠切除或肠器质性损害等引起腹泻,疗效甚佳。小鼠口服LD50为105mg/kg,大鼠(7d)为185mg/kg。
产品名称
-
中文名洛哌丁胺
-
英文名Loperamide
-
中文别名4-对氯苯-4-羟基-N,N-二甲基-α,α-二苯-1-对哌啶基丁酰胺 | 4-[4-(4-氯苯基)-4-羟基哌啶-1-基]-N,N-二甲基-2,2-二苯基丁酰胺 | 4-(4-氯苯基)-4-羟基-N,N-二甲基-Α,Α-二苯基-1-哌啶丁酰胺 | 氯苯哌丁胺
-
英文别名
Loperamida 4-(4-(4-chlorophenyl)-4-hydroxypiperidin-1-yl)-N,N-dimethyl-2,2-diphenylbutanamide Maalox Anti-Diarrheal [3H]-Loperamide Ioperamide Loperacap 4-[4-(4-chlorophenyl)-4-hydroxypiperidin-1-yl]-N,N-dimethyl-2,2-diphenylbutanamide Apo-Loperamide Kaopectate II MFCD00600388 Imodium Loperamidum EINECS 258-416-5 Nu-Loperamide -
常用名洛哌丁胺
-
C A S号53179-11-6
物理性质
-
密度1.187g/cm3
-
沸点647.2ºC at 760 mmHg
-
熔点N/A
-
化学式C29H33ClN2O2
-
结构式
1、 摩尔折射率:137.52
2、 摩尔体积(cm3/mol):401.6
3、 等张比容(90.2K):1067.1
4、 表面张力(dyne/cm):49.8
5、 极化率(10-24cm3):54.51
-
闪点345.2ºC
-
分子量477.03800
-
精确质量476.22300
-
P S A43.78000
-
外观形状
-
储存条件
-
稳定性
-
水溶解性
-
形态
-
H L B值
-
粘度
-
PH值
作用/用途
【用途一】
为一极强的长效抗腹泻药。其化学结构类似氟哌啶醇和哌替啶,但治疗量对中枢神经系统无任何作用。适用于急性腹泻以及各种病因引起的慢性腹泻,如溃疡性结肠炎、非特异性结肠炎、肠道易激综合征以及对胃、肠部分切除术后和甲亢引起的慢性腹泻的治疗。
为一极强的长效抗腹泻药。其化学结构类似氟哌啶醇和哌替啶,但治疗量对中枢神经系统无任何作用。适用于急性腹泻以及各种病因引起的慢性腹泻,如溃疡性结肠炎、非特异性结肠炎、肠道易激综合征以及对胃、肠部分切除术后和甲亢引起的慢性腹泻的治疗。
【用途二】
洛哌丁胺为苯基哌啶类止泻药,具有长效作用,用于治疗功能性腹泻以及因胃肠切除或肠器质性损害等引起腹泻,疗效甚佳。小鼠口服LD50为105mg/kg,大鼠(7d)为185mg/kg。
洛哌丁胺为苯基哌啶类止泻药,具有长效作用,用于治疗功能性腹泻以及因胃肠切除或肠器质性损害等引起腹泻,疗效甚佳。小鼠口服LD50为105mg/kg,大鼠(7d)为185mg/kg。
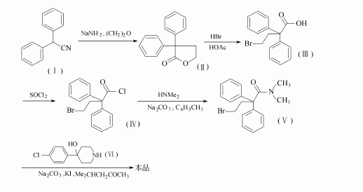
制备方法
二苯乙腈和氨基钠作用后,再通入环氧乙烷反应。在反应得到产物中,加入36%溴化氢的冰乙酸溶液,得4-溴-2,2-二苯基丁酸。接着用氧化亚砜氯化酰氯,再在甲苯和水中,通入二甲胺进行酰化,最后和4-羟基-4-对氯苯基哌啶反应,即得洛哌丁胺。
安全提醒
MSDS
原料简介
应用范围
毒性和生态
安全信息
| 危害码 (欧洲) | C,Xi |
|---|---|
| 风险声明 (欧洲) | R34:Causes burns. R36/37/38:Irritating to eyes, respiratory system and skin . R41:Risk of serious damage to eyes. R37/38:Irritating to respiratory system and skin . R20/21/22:Harmful by inhalation, in contact with skin and if swallowed . |
| 安全声明 (欧洲) | S26-S36/37/39-S45-S37/39 |
| 危险品运输编码 | UN 2735 8/PG 3 |
| WGK德国 | 3 |
| RTECS号 | FF2200000 |
| 海关编码 | 29252000 |
是否危险品
危险性
危险类别码
危险等级
触发危险方式
安全技术说明书
环境影响程度
包装与储运
相关供应商

搜索







