拉扎贝胺
Lazabemide(Ro 19-6327/000)是MAO-B选择性可逆性抑制剂,IC50值为30nM,对MAO-A无活性(IC50>100uM)。
产品名称
-
中文名拉扎贝胺
-
英文名Lazabemide
-
中文别名N-(2-氨基乙基)-5-氯-2-吡啶羧酰胺
-
英文别名
N-(2-Aminoethyl)-5-chloro-2-pyridinecarboxamide 2-Pyridinecarboxamide, N-(2-aminoethyl)-5-chloro- N-(2-Aminoethyl)-5-chloropyridine-2-carboxamide Lazabemide -
常用名拉扎贝胺
-
C A S号103878-84-8
物理性质
-
密度1.3±0.1 g/cm3
-
沸点397.4±37.0 °C at 760 mmHg
-
熔点N/A
-
化学式C8H10ClN3O
-
结构式
1、 摩尔折射率:51.03
2、 摩尔体积(cm3/mol):155.1
3、 等张比容(90.2K):419.2
4、 表面张力(dyne/cm):53.3
5、 极化率(10-24cm3):20.22
-
闪点194.2±26.5 °C
-
分子量199.637
-
精确质量199.051239
-
P S A68.01000
-
外观形状
-
储存条件
-
稳定性
-
水溶解性
-
形态
-
H L B值
-
粘度
-
PH值
作用/用途
Lazabemide(Ro 19-6327/000)是MAO-B选择性可逆性抑制剂,IC50值为30nM,对MAO-A无活性(IC50>100uM)。
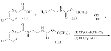
制备方法
5-氯吡啶2-羧酸(I)和N-(2-氨基乙基)氨基甲酸叔丁酯(Ⅱ),在羰二咪唑(CDI)存在下,在四氢呋喃中回流,得到化合物(II)。再和三氟乙酸在二氯甲烷中回流水解,然后用乙醇盐酸处理,得到单盐酸拉扎贝胺。
安全提醒
MSDS
原料简介
应用范围
毒性和生态
安全信息
是否危险品
危险性
危险类别码
危险等级
触发危险方式
安全技术说明书
环境影响程度
包装与储运
相关供应商

搜索






