糠酸莫美他松
Mometasone糠酸盐是游离形式mometasone的原药,与糖皮质素受体有较高亲和力。
产品名称
-
中文名糠酸莫米松
-
英文名Mometasone furoate
-
中文别名(11β,16α)-9,21-二氯-17-[(2-呋喃羰基)氧代]-11-羟基-16-甲基孕-1,4-二烯-3,20-二酮 | 糠酸莫美他松 | 糠酸莫米他松 | 9,21-二氯-11Β,17二羟基-16Α-甲基-1,4-二烯-3,20-二酮17-2-呋喃羧酸酯 | 糖酸莫米松
-
英文别名
Mometasone furoate (11β,16α)-9,21-Dichloro-11-hydroxy-16-methyl-3,20-dioxopregna-1,4-dien-17-yl 2-furoate 9,21-Dichloro-11β,17-dihydroxy-16α-methylpregna-1,4-diene-3,20-dione 17-(2-furoate) (8S,9R,10S,11S,13S,14S,16R,17R)-9-Chloro-17-(chloroacetyl)-11-hydroxy-10,13,16-trimethyl-3-oxo-6,7,8,9,10,11,12,13,14,15,16,17-dodecahydro-3H-cyclopenta[a]phenanthren-17-yl 2-furoate Rimelon 2-furancarboxylic acid, (11b,16a)-9,21-dichloro-11-hydroxy-16-methyl-3,20-dioxopregna-1,4-dien-17-yl ester Danitin Mometasone furoate (JAN/USP) Ecural Mometasone Furoate Nosorex Pregna-1,4-diene-3,20-dione, 9,21-dichloro-17-((2-furanylcarbonyl)oxy)-11-hydroxy-16-methyl-, (11β,16α)- (11b,16a)-9,21-Dichloro-17-[(2-furanylcarbonyl)oxy]-11-hydroxy-16-methylpregna-1,4-diene-3,20-dione (11β,16α)-9,21-Dichlor-11-hydroxy-16-methyl-3,20-dioxopregna-1,4-dien-17-ylfuran-2-carboxylat (8S,9R,10S,11S,13S,14S,16R,17R)-9-Chlor-17-(chloracetyl)-11-hydroxy-10,13,16-trimethyl-3-oxo-6,7,8,9,10,11,12,13,14,15,16,17-dodecahydro-3H-cyclopenta[a]phenanthren-17-ylfuran-2-carboxylat 9,21-Dichloro-11b,17-dihydroxy-16a-methylpregna-1,4-diene-3,20-dione17-(2-Furoate) furane-2-carboxylate de (8S,9R,10S,11S,13S,14S,16R,17R)-9-chloro-17-(chloroacétyl)-11-hydroxy-10,13,16-triméthyl-3-oxo-6,7,8,9,10,11,12,13,14,15,16,17-dodécahydro-3H-cyclopenta[a]phénanthrén-17-yle Flumeta [(8S,9R,10S,11S,13S,14S,16R,17R)-9-chloro-17-(2-chloroacetyl)-11-hydroxy-10,13,16-trimethyl-3-oxo-6,7,8,11,12,14,15,16-octahydrocyclopenta[a]phenanthren-17-yl] furan-2-carboxylate MFCD00866003 (11β,16α)-9,21-dichloro-11-hydroxy-16-methyl-3,20-dioxopregna-1,4-dien-17-yl furan-2-carboxylate 2-Furancarboxylic acid, (11β,16α)-9,21-dichloro-11-hydroxy-16-methyl-3,20-dioxopregna-1,4-dien-17-yl ester (11b,16a)-9,21-dichloro-11-hydroxy-16-methyl-3,20-dioxopregna-1,4-dien-17-yl furan-2-carboxylate (8S,9R,10S,11S,13S,14S,16R,17R)-9-chloro-17-(chloroacetyl)-11-hydroxy-10,13,16-trimethyl-3-oxo-6,7,8,9,10,11,12,13,14,15,16,17-dodecahydro-3H-cyclopenta[a]phenanthren-17-yl furan-2-carboxylate -
常用名糠酸莫美他松
-
C A S号83919-23-7
物理性质
-
密度1.4±0.1 g/cm3
-
沸点655.5±55.0 °C at 760 mmHg
-
熔点218-220°C
-
化学式C27H30Cl2O6
-
结构式
-
闪点350.2±31.5 °C
-
分子量521.43
-
精确质量
-
P S A113.02000
-
外观形状
-
储存条件Store at -20°C
-
稳定性
-
水溶解性
-
形态
-
H L B值
-
粘度
-
PH值
作用/用途
Mometasone糠酸盐是游离形式mometasone的原药,与糖皮质素受体有较高亲和力。
制备方法
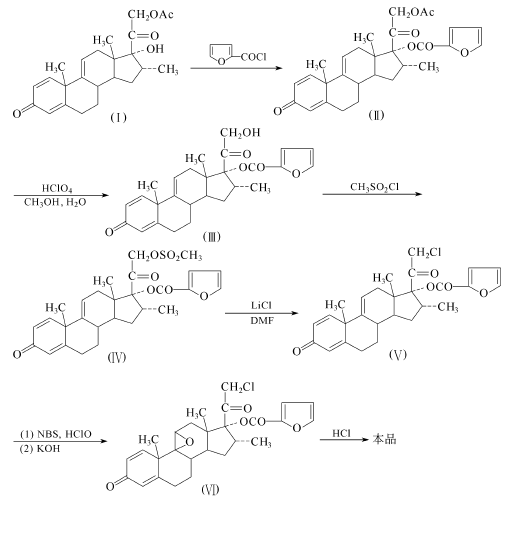
21-乙酰氧基-17-羟基-16α-甲基孕甾-1,4,9(11)-三烯-3,20-二酮(Ⅰ)用糠酰氯酰化后,再在含水甲醇中,在高氯酸作用下脱去乙酰基,得化合物(Ⅲ)。 (Ⅲ)甲磺酰后,在二甲基甲酰胺中,用氯化锂进行氯化,得化合物(Ⅳ)。然后对9,1l位双键环氧化,再和盐酸作用开环,得到糠酸莫米松。
安全提醒
MSDS
|
糠酸莫米他松
修改号码:5
模块1. 化学品 产品名称: Mometasone Furoate 修改号码: 5 模块2. 危险性概述 GHS分类 物理性危害未分类
健康危害 生殖毒性 第2级 环境危害未分类 GHS标签元素 图标或危害标志 信号词警告 危险描述怀疑会损害生育能力或胎儿 防范说明 [预防]使用前获取特定手册。 处理前必须阅读并理解所有安全措施。 使用个人所需的防护用具。 [急救措施] 如接触到或相关接触:求医/就诊。 [储存]存放处须加锁。 [废弃处置] 根据当地政府规定把物品/容器交与工业废弃处理机构。 模块3. 成分/组成信息 单一物质/混和物单一物质 化学名(中文名):糠酸莫米他松 百分比: >98.0%(LC) CAS编码: 83919-23-7 俗名: (11β,16α)-9,21-Dichloro-17-[(2-furanylcarbonyl)oxy]-11-hydroxy-16- methylpregna-1,4-diene-3,20-dione 分子式: C27H30Cl2O6 糠酸莫米他松 修改号码:5 模块4. 急救措施 吸入: 将受害者移到新鲜空气处,保持呼吸通畅,休息。求医/就诊。 皮肤接触: 立即去除/脱掉所有被污染的衣物。用大量肥皂和水轻轻洗。 求医/就诊。 眼睛接触:用水小心清洗几分钟。如果方便,易操作,摘除隐形眼镜。 求医/就诊。 食入: 求医/就诊。漱口。 紧急救助者的防护:救援者需要穿戴个人防护用品,比如橡胶手套和气密性护目镜。 模块5. 消防措施 合适的灭火剂:干粉,泡沫,雾状水,二氧化碳 特殊危险性:小心,燃烧或高温下可能分解产生毒烟。 特定方法:从上风处灭火,根据周围环境选择合适的灭火方法。 非相关人员应该撤离至安全地方。 周围一旦着火:如果安全,移去可移动容器。 消防员的特殊防护用具:灭火时,一定要穿戴个人防护用品。 模块6. 泄漏应急处理 个人防护措施,防护用具, 使用特殊的个人防护用品(针对有毒颗粒的P3过滤式空气呼吸器)。远离溢出物/泄露 紧急措施:处并处在上风处。 泄露区应该用安全带等圈起来,控制非相关人员进入。 环保措施:防止进入下水道。 控制和清洗的方法和材料:清扫收集粉尘,封入密闭容器。注意切勿分散。附着物或收集物应该立即根据合适的 法律法规处置。 模块7. 操作处置与储存 处理 技术措施:在通风良好处进行处理。穿戴合适的防护用具。防止粉尘扩散。处理后彻底清洗双手 和脸。 注意事项:如果可能,使用封闭系统。如果粉尘或浮质产生,使用局部排气。 操作处置注意事项:避免所有部位的接触! 贮存 储存条件:保持容器密闭。冷藏储存。 存放处须加锁。 远离不相容的材料比如氧化剂存放。 热敏 包装材料:依据法律。 模块8. 接触控制和个体防护 工程控制:尽可能安装封闭体系或局部排风系统。同时安装淋浴器和洗眼器。 个人防护用品 呼吸系统防护: 防尘面具,自携式呼吸器(SCBA),供气呼吸器等。使用通过政府标准的呼吸器。依 据当地和政府法规。 手部防护:防渗手套。 眼睛防护:护目镜。如果情况需要,佩戴面具。 皮肤和身体防护:防渗防护服。如果情况需要,穿戴防护靴。 模块9. 理化特性 固体 外形(20°C): 外观: 晶体-粉末 糠酸莫米他松 修改号码:5 模块9. 理化特性 颜色: 白色-微浅黄色 气味:无资料 pH:无数据资料 熔点: 214°C (分解) 沸点/沸程无资料 闪点:无资料 爆炸特性 爆炸下限:无资料 爆炸上限:无资料 密度:无资料 溶解度: [水]无资料 [其他溶剂]无资料 模块10. 稳定性和反应性 化学稳定性:一般情况下稳定。 危险反应的可能性:未报道特殊反应性。 须避免接触的物质氧化剂 危险的分解产物: 一氧化碳, 二氧化碳, 氯化氢 模块11. 毒理学信息 急性毒性: scu-rat LD50:300 mg/kg 对皮肤腐蚀或刺激: skn-wmn 0.01% MLD 对眼睛严重损害或刺激:无资料 生殖细胞变异原性:无资料 致癌性: IARC =无资料 NTP =无资料 生殖毒性:无资料 RTECS 号码: TU3822000 模块12. 生态学信息 生态毒性: 鱼类:无资料 甲壳类:无资料 藻类:无资料 残留性 / 降解性:无资料 潜在生物累积 (BCF):无资料 土壤中移动性 log水分配系数:无资料 土壤吸收系数 (Koc):无资料 亨利定律无资料 constant(PaM3/mol): 模块13. 废弃处置 如果可能,回收处理。请咨询当地管理部门。建议在可燃溶剂中溶解混合,在装有后燃和洗涤装置的化学焚烧炉中 焚烧。废弃处置时请遵守国家、地区和当地的所有法规。 糠酸莫米他松 修改号码:5 模块14. 运输信息 联合国分类:与联合国分类标准不一致 UN编号:未列明 模块15. 法规信息 《危险化学品安全管理条例》(2002年1月26日国务院发布,2011年2月16日修订): 针对危险化学品的安全使用、 生产、储存、运输、装卸等方面均作了相应的规定。 模块16 - 其他信息 N/A |
原料简介
应用范围
毒性和生态
安全信息
| 危险品运输编码 | NONH for all modes of transport |
|---|---|
| WGK德国 | 1 |
| RTECS号 | WW8223000 |
| 海关编码 | 2937229000 |
是否危险品
危险性
危险类别码
危险等级
触发危险方式
安全技术说明书
环境影响程度
包装与储运
相关供应商







