2,3,4-三氟硝基苯
用作药品氧氟沙星、洛美沙星、氟诺沙星中间体
产品名称
-
中文名2,3,4-三氟硝基苯
-
英文名2,3,4-Trifluoronitrobenzene
-
中文别名2,3,4-三氟-1-硝基苯 | 1,2,3-三氟-4-硝基苯 | 三氟硝基苯
-
英文别名
EINECS 212-238-4 4-chloro-2-fluroaniline trifluoronitrobenzene 4-Trifluoronitrobenzene 1,2,3-trifluoro-4-nitro-benzene 2,3,4-TRIFLUORONITROBRNZENE 2,3,4,5,6-PENTAFLUOROPHENYL 2-PROPANESULPHONATE 3,4,5 TRIFLUORONITROBENZEN 2,3,4-Trifluoronitrobenzene 1,2,3-Trifluoro-4-nitrobenzene Benzene, 1,2,3-trifluoro-4-nitro- 1,2,3-Trifluor-4-nitro-benzol 2,3,4-Trifluornitrobenzene MFCD00041546 4-NITRO-1,2,3-TRIFLUOROBENZENE 1-nitro-2,3,4-trifluorobenzene 1,2,3-Trifluoronitrobenzene 1,2,3-Trifluoro-4-ni -
常用名2,3,4-三氟硝基苯
-
C A S号771-69-7
物理性质
-
密度1.6±0.1 g/cm3
-
沸点201.8±0.0 °C at 760 mmHg
-
熔点N/A
-
化学式C6H2F3NO2
-
结构式
1、 摩尔折射率:32.77
2、 摩尔体积(cm3/mol):113.9
3、 等张比容(90.2K):284.1
4、 表面张力(dyne/cm):38.7
5、 介电常数:
6、 偶极距(10-24cm3):
7、 极化率:12.99
-
闪点93.3±0.0 °C
-
分子量177.081
-
精确质量177.003769
-
P S A45.82000
-
外观形状透明至淡黄色液体
-
储存条件
储存在冷干燥的条件下 ,通风的地区远离加热和不相容的物质,密封保存
包装采用内衬塑料铁桶,50kg/桶。
-
稳定性
-
水溶解性
-
形态浅黄色液体。
-
H L B值
-
粘度
-
PH值
作用/用途
用作药品氧氟沙星、洛美沙星、氟诺沙星中间体
制备方法
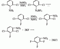
以2,6-二氯苯胺为原料,经Schiemann反应、硝化和氟化制得。
安全提醒
MSDS
|
2,3,4-三氟硝基苯
修改号码:5
模块1. 化学品 产品名称: 2,3,4-Trifluoronitrobenzene 修改号码: 5 模块2. 危险性概述 GHS分类 物理性危害
易燃液体 第4级 健康危害 急性毒性(经口) 第4级 急性毒性(经皮) 第4级 急性毒性(吸入) 第4级 皮肤腐蚀/刺激 第2级 严重损伤/刺激眼睛 2A类 生殖细胞敏感性 第2级 环境危害未分类 GHS标签元素 图标或危害标志 信号词警告 危险描述可燃液体 吸入或皮肤接触或吞咽有害。 造成皮肤刺激 造成严重眼刺激 怀疑会造成遗传缺陷 防范说明 2,3,4-三氟硝基苯 修改号码:5 模块2. 危险性概述 [预防]使用前获取特定手册。 处理前必须阅读并理解所有安全措施。 远离明火/热表面。 避免吸入。 只能在室外或通风良好的环境下使用。 使用本产品时切勿吃东西,喝水或吸烟。 处理后要彻底清洗双手。 穿戴防护手套/护目镜/防护面具。 [急救措施]吸入:将受害者移到新鲜空气处,在呼吸舒适的地方保持休息。若感不适,呼叫解毒 中心/医生。 食入:若感不适,呼叫解毒中心/医生。漱口。 眼睛接触:用水小心清洗几分钟。如果方便,易操作,摘除隐形眼镜。继续冲洗。 眼睛接触:求医/就诊 皮肤接触:用大量肥皂和水轻轻洗。 若皮肤刺激:求医/就诊。 被污染的衣物清洗后方可重新使用。 如接触到或相关接触:求医/就诊。 [储存]存放于通风良好处。保持凉爽。 存放处须加锁。 [废弃处置] 根据当地政府规定把物品/容器交与工业废弃处理机构。 模块3. 成分/组成信息 单一物质/混和物单一物质 化学名(中文名): 2,3,4-三氟硝基苯 百分比: >98.0%(GC) CAS编码: 771-69-7 俗名: 1,2,3-Trifluoro-4-nitrobenzene 分子式: C6H2F3NO2 模块4. 急救措施 吸入: 将受害者移到新鲜空气处,保持呼吸通畅,休息。求医/就诊。 皮肤接触: 立即去除/脱掉所有被污染的衣物。用大量肥皂和水轻轻洗。 求医/就诊。 眼睛接触:用水小心清洗几分钟。如果方便,易操作,摘除隐形眼镜。 求医/就诊。 食入: 求医/就诊。漱口。 紧急救助者的防护:救援者需要穿戴个人防护用品,比如橡胶手套和气密性护目镜。 模块5. 消防措施 合适的灭火剂:干粉,泡沫,雾状水,二氧化碳 不适用的灭火剂:棒状水 特殊危险性:小心,燃烧或高温下可能分解产生毒烟。 特定方法:从上风处灭火,根据周围环境选择合适的灭火方法。 非相关人员应该撤离至安全地方。 周围一旦着火:如果安全,移去可移动容器。 消防员的特殊防护用具:灭火时,一定要穿戴个人防护用品。 2,3,4-三氟硝基苯 修改号码:5 模块6. 泄漏应急处理 个人防护措施,防护用具, 使用特殊的个人防护用品(自携式呼吸器)。远离溢出物/泄露处并处在上风处。确保 紧急措施:足够通风。 泄露区应该用安全带等圈起来,控制非相关人员进入。 环保措施:防止进入下水道。 控制和清洗的方法和材料:用合适的吸收剂(如:旧布,干砂,土,锯屑)吸收泄漏物。一旦大量泄漏,筑堤控 制。附着物或收集物应该立即根据合适的法律法规废弃处置。 副危险性的防护措施移除所有火源。一旦发生火灾应该准备灭火器。使用防火花工具和防爆设备。 模块7. 操作处置与储存 处理 技术措施:在通风良好处进行处理。穿戴合适的防护用具。防止烟雾产生。远离明火和热表面。 采取措施防止静电积累。使用防爆设备。处理后彻底清洗双手和脸。 注意事项:使用封闭系统,通风。 操作处置注意事项:避免所有部位的接触! 贮存 储存条件:保持容器密闭。存放于凉爽、阴暗、通风良好处。 存放处须加锁。 远离不相容的材料比如氧化剂存放。 包装材料:依据法律。 模块8. 接触控制和个体防护 工程控制:尽可能安装封闭体系或局部排风系统。同时安装淋浴器和洗眼器。 个人防护用品 呼吸系统防护: 半面罩或全面罩呼吸器,自携式呼吸器(SCBA),供气呼吸器等。依据当地和政府法 规,使用通过政府标准的呼吸器。 手部防护:防渗手套。 眼睛防护:护目镜。如果情况需要,佩戴面具。 皮肤和身体防护:防渗防护服。如果情况需要,穿戴防护靴。 模块9. 理化特性 外形(20°C):液体 外观:透明 颜色: 浅黄色-黄色 气味:无资料 pH:无数据资料 熔点:无资料 沸点/沸程 92 °C/2.7kPa 闪点: 93°C 爆炸特性 爆炸下限:无资料 爆炸上限:无资料 密度: 1.55 溶解度: [水]无资料 [其他溶剂]无资料 模块10. 稳定性和反应性 化学稳定性:一般情况下稳定。 危险反应的可能性:未报道特殊反应性。 2,3,4-三氟硝基苯 修改号码:5 模块10. 稳定性和反应性 避免接触的条件:明火 须避免接触的物质氧化剂 危险的分解产物: 一氧化碳, 二氧化碳, 氮氧化物 (NOx), 氟化氢 模块11. 毒理学信息 急性毒性:无资料 对皮肤腐蚀或刺激:无资料 对眼睛严重损害或刺激:无资料 生殖细胞变异原性:无资料 致癌性: IARC =无资料 NTP =无资料 生殖毒性:无资料 模块12. 生态学信息 生态毒性: 鱼类:无资料 甲壳类:无资料 藻类:无资料 残留性 / 降解性:无资料 潜在生物累积 (BCF):无资料 土壤中移动性 log水分配系数:无资料 土壤吸收系数 (Koc):无资料 亨利定律无资料 constant(PaM3/mol): 模块13. 废弃处置 如果可能,回收处理。请咨询当地管理部门。建议在装有后燃和洗涤装置的化学焚烧炉中焚烧。废弃处置时请遵守 国家、地区和当地的所有法规。 模块14. 运输信息 联合国分类:与联合国分类标准不一致 UN编号:未列明 模块15. 法规信息 《危险化学品安全管理条例》(2002年1月26日国务院发布,2011年2月16日修订): 针对危险化学品的安全使用、 生产、储存、运输、装卸等方面均作了相应的规定。 2,3,4-三氟硝基苯 修改号码:5 模块16 - 其他信息 N/A |
原料简介
应用范围
毒性和生态
安全信息
| 符号 |
GHS07 |
|---|---|
| 信号词 | Warning |
| 危害声明 | H302-H312-H315-H319-H332-H335 |
| 警示性声明 | P261-P280-P305 + P351 + P338 |
| 个人防护装备 | Eyeshields;Faceshields;full-face respirator (US);Gloves;multi-purpose combination respirator cartridge (US);type ABEK (EN14387) respirator filter |
| 危害码 (欧洲) | Xi:Irritant |
| 风险声明 (欧洲) | R36/37/38 |
| 安全声明 (欧洲) | S26-S36/37/39-S24/25 |
| 危险品运输编码 | UN2810 |
| WGK德国 | 3 |
| 包装等级 | III |
| 危险类别 | 6.1 |
| 海关编码 | 2904909090 |
是否危险品
危险性
危险类别码
危险等级
触发危险方式
安全技术说明书
环境影响程度
包装与储运
相关供应商








