在洗涤剂中,增溶剂的作用是增进表面活性与助剂的互溶性,降低浊点,使配方稳定。常用的增溶剂有乙醇、尿素、短链苯磺酸盐、烷基磷酸酯等。很多溶剂也有一定的增溶作用如乙二醇醚、丙二醇醚。本次介绍几种常用的增溶剂:
 
外观:淡黄色油状至乳白色膏状物
特性:
1. 是一种优良的非离子型增溶剂及乳化剂;具有较宽的pH值稳定性,低泡沫,在高温下可与脂肪酸及脂肪醇形成澄清的混合物。
2. 可用于水或醇溶液中来增溶精油及合成香料,在使用时可将本产品与需增溶物质按1:1-3的比例混合并搅拌均匀直至透明。
3. 高效增溶剂氢化蓖麻油能使好多天然和化学合成的有机油溶性成分在水中溶解形成稳定溶液,且不改变物质的性质和气味,改善产品和功能、性能和感观。在化妆品生产制造领域中特别是在透明产品中,氢化蓖麻油有其独特的吸引力。它可以减少或消除产品中的有机溶剂,代之的廉价的水。既安全又减少了有机溶剂的不利作用和影响,同时使产品的香味更纯正、感觉更自然。
优点:
1、量少、效率高、增溶量大、绝对透明,增溶液后能够以上任意比例稀释;
2、与丙烯酸类增稠剂相容性;
3、对皮肤的感觉柔顺、平滑、无粘腻感;
4、可在室温下方便使用;
5、配伍性好,可与大多数原料配伍,配制成基质、中间体、半成品等产品。
应用领域:
油溶性香精、杀菌剂、清凉剂、避蚊剂、杀虫剂、防晒剂、各种动植物提取物等水不溶物质。生产、制造各类透明水性的洗涤、化妆品、日用品。
使用方法:
氢化蓖麻油与被增溶物质的加入量比例为(0.5~3):1,两者在一起充分混合物均匀,再加入水搅拌混合溶解均匀即可。对于香精一般氢化蓖麻油的使用量为2.0份。
注意事项:
1、氢化蓖麻油被增溶物质一定要混合均匀后再加入水中分散。
2、如果温度过低,增溶物质已固化,可加热促其融化,再按正常的使用方法增溶;
3、氢化蓖麻油在水和水醇溶液中很稳定,但避免加入强酸强碱;
 4、氢化蓖麻油对终产品的泡沫相关性影响不大,只起协同作用,如果希望泡沫更增强或更进一步消除,可加入少量起泡沫或消泡剂;
5、存在有利于混合体系的分散(醇加入氢化蓖麻油)和水性物质的混合液中。且含醇的水基体系中,氢化蓖麻油的用量通常可有所减少。

为白色结晶粉末,类似石油气味。
为无色透明液体
二甲苯磺酸钠、二甲苯磺酸铵广泛用于日用洗涤用品的制造,是一种新型高效的低毒性洗涤用品增溶调理剂,使用该产品的洗涤用品与使用传统增溶剂的产品相比。其不同点是使用二甲苯磺酸盐的产品具有手感好、刺激性低、产品品质纯度高的特点。因此该产品越来越引起业内有识之士的关注和青睐。是广泛用于日用洗涤用品制造中的助剂。
用途 
1.广泛用于日用洗涤用品的制造,是一种新型高效的低毒性洗涤用品增溶调理剂。
2.用于洗涤剂中作增溶剂,也用作干洗剂的组分,杀菌剂、金属加工清洗剂等。二甲苯磺酸盐用于液体洗涤剂中,可用作偶合剂、水溶助长剂、均化剂、分散剂,并使浊点、黏度下降。
3.有效的增溶剂、降黏剂、一般分散和萃取助剂.

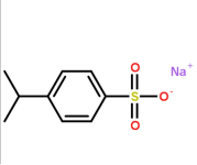
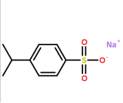
别称:枯烯磺酸钠,4-异丙苯磺酸钠,异丙基苯磺酸钠 ; 异丙苯磺酸钠
商品有透明至浅黄色流动液体和白色粉状供应。
可溶解于水的异丙苯磺酸钠,铺展及润湿性优良,低泡,可生物降解。对表面活性剂具有良好的增溶、助溶、降粘性,并可有效提高产品的浊点,在各类清洁剂中可以提供多性能表现;易溶于水,使用方便。
产品性能
 (1)增加表面活性剂在体系中的溶解度
(2)可增加表面活性剂在强碱体系中的溶解度,有效提高体系稳定性
(3)降低高浓缩配方体系的粘稠度,增加产品流动性
(4)能明显提高浊点,使产品在更高的温度下保持透明
(5)适量添加可提高液体洗涤剂的低温稳定性
(6)提升液体洗涤剂的均匀性,并增强其耐盐、耐碱、耐酸性
(7)有助于提升配方的清洗能力
作为增溶剂,应用领域在各类清洁剂可以提供多性能表现。
在浓缩型产品中,提高整体溶解度及稳定性,适用于各类高浓缩配方,如浓缩洗车液、浓缩玻璃水、超浓缩洗衣液、浓缩型金属除油剂等;
在碱性体系中,可有效提高体系的稳定性和溶解度;
在洗碗机催干剂中,提高产品浊点,可有效解决成品一定温度下浑浊、分层等问题;
推荐应用:
还可做偶合剂、粘度控制剂、抗结块剂、防黏剂,应用在香波、家用洗涤剂、餐具洗涤剂、锅炉去水垢剂、金属加工清洁剂中。